Abstract
Saturated bioisosteres of substituted benzenes offer opportunities to fine-tune the properties of drug candidates in development. Bioisosteres of para-benzenes, such as those based on bicyclo[1.1.1]pentane, are now very common and can be used to increase aqueous solubility and improve metabolic stability, among other benefits. Bioisosteres of ortho- and meta-benzenes were for a long time severely underdeveloped by comparison. This has begun to change in recent years, with a number of potential systems being reported that can act as bioisosteres for these important fragments. In this review, we will discuss these recent developments, summarizing the synthetic approaches to the different bioisosteres as well as the impact they have on the physiochemical and biological properties of pharmaceuticals and agrochemicals.
Graphical Abstract
Introduction
The logical and iterative modification of the structure of a drug candidate is a critical part of the early drug discovery process. In many cases, the primary aim is the enhancement of biological activity, but in others, modulation of other critical properties such as aqueous solubility, metabolic stability, polarity, or lipophilicity is the target. In the latter cases, there is often a desire to retain otherwise potent biological activity and here the application of bioisosteric fragments can play a leading role. Bioisosteres are structurally distinct from the groups they replace, leading to changes in the physiochemical properties of the overall compound, but allow for retention of the biological activity, if not an improvement [1]. Often-used bioisosteres include the tetrazole group for a carboxylic acid [2-5] and fluorine atoms in place of hydrogens [6,7]. The inclusion of fluorine can alter the polarity of a molecule and can also be used to prevent epimerisation, as seen in fluorothalidomide [8]. Similarly, the reduction in the number of aromatic groups and increase in the level of saturation have risen to prominence as a way of improving low aqueous solubility, metabolic instability, or low lipophilicity in drug candidates that contain a high number of these functionalities [9,10]. The direct replacement of substituted benzenes in drug candidates with saturated benzene bioisosteres is a popular approach to this task [11-14]. Substitution of a mono-substituted benzene (a phenyl group) is relatively straightforward [11,13,15]. More particular attention must be paid to benzenes that have more than one substituent; for example, the ortho-, meta-, or para- relative substitution of a disubstituted benzene should ideally be replicated in the saturated bioisostere to ensure ligand–protein binding is conserved through the bioisosteric swap. Bioisosteres of para-substituted benzenes are by now relatively well established. Cubanes [16,17], alkynes [18], and bicyclo[2.2.2]octanes [19] can all replicate the linear geometry of the para-substituents, but arguably the most well-investigated para-benzene bioisostere is bicyclo[1.1.1]pentane (BCP) [20-23] (Figure 1). The straightforward synthesis of a wide-range of disubstituted BCPs from [1.1.1]propellane allows them to be easily integrated into drug discovery programmes. The case of Darapladib is one well-known example of a productive para-benzene-to-BCP bioisosteric switch [24]. By comparison, the number of bioisosteres of ortho- and meta-benzenes was for a long time low [14], but recent years have seen a surge in interest in developing such systems. In these cases, replication of the 60° and 120° bond angles of ortho- and meta-benzenes is a key challenge. This review will summarise the progress made so far towards the development of these important bioisosteres. We will highlight both the synthetic routes used to access the proposed bioisosteric scaffolds, as well as any subsequent derivatization thereof which help expand their utility. Our aim is to provide an overview of the types of scaffold that can be prepared with each method, enabling practitioners to quickly find the bioisostere and method that best suits their requirements. Physiochemical and biological data will also be discussed where available.
Figure 1: Scaffolds commonly reported as bioisosteric replacements of para-substituted benzene and examples patented by Merck [19], AbbVie [20] and Bristol-Myers Squibb [16].
Figure 1: Scaffolds commonly reported as bioisosteric replacements of para-substituted benzene and examples p...
Review
Definitions and parameters for determination of (bio)isosterism
We will distinguish between geometric isosteres and bioisosteres. Scaffolds suggested for the replacement of ortho- or meta-benzenes shall be defined as a geometrical isostere if they exhibit similar geometric properties to the parent compound. A scaffold shall be defined as a bioisostere only if both its geometrical properties and its biological activity are similar to the parent compound. For simplicity, geometric isosteres will be simply referred to as isosteres. More densely substituted scaffolds will be briefly discussed at the end of the review.
Geometrical equivalence between disubstituted benzenes and scaffolds will be quantified in exit vector analyses [25]. Here, the geometric relationship between the two substituents is measured and compared to those of the parent benzene.
To compare physicochemical properties, the following indicators will generally be used:
- distribution coefficient (logD, desired range: 1–3 [26]) or partition coefficient (logP) as a measure of compound polarity,
- aqueous solubility (desired value: >200 μM [26]), and
- intrinsic clearance rate (CLint, lower indicates higher metabolic stability) as a measure of metabolic stability. Additional properties will be discussed if comparative values have been reported.
Isosteres of ortho-substituted benzenes
1,2-Disubstituted bicyclo[1.1.1]pentanes
Among the first suggested isosteres for ortho-substituted benzenes were 1,2-disubstituted bicyclo[1.1.1]pentanes (1,2-BCPs). The exit vector analysis of 1,2-BCPs and ortho- or meta-substituted benzenes performed by Baran, Collins and co-workers and Anderson and co-workers showed that the substituent distance d of 3.5–4.0 Å and substituent angle φ1 of 89° inhabit a chemical space between ortho- and meta-substituted benzene (Figure 2) [26,27]. The 67° dihedral angle θ between the substituents differs significantly from both compounds.
Figure 2: 1,2-BCPs as isosteres for ortho-and meta-substituted benzenes: comparison of reported exit vector parameters [26,27].
Figure 2: 1,2-BCPs as isosteres for ortho-and meta-substituted benzenes: comparison of reported exit vector p...
The first investigation of 1,2-BCPs as an isosteric replacement for ortho-benzene was reported by Baran, Collins and co-workers [26]. They prepared a wide variety of 1,2-BCPs from a common 2-substituted [1.1.1]propellane building block, propellane 3a (Scheme 1A). Propellane 3a was itself accessible in good yields from allyl chloride 1 using a route based on that reported by Schlüter [28]. Bifunctional 1,2-BCP (±)-4 bearing orthogonally protected alcohol functionalities was obtained from 3a through a three-step sequence of strain-release radical ring-opening with iodochloromethane, deiodination at the bridgehead position, and nucleophilic substitution at the alkyl chloride.
Scheme 1: 1,2-Disubstituted bicyclo[1.1.1]pentanes as isosteres of ortho-substituted benzenes. A: Baran, Collins and co-workers’ synthesis of [1.1.1]propellane 3a and transformation to BCP (±)-4 [26]. B: Reactions of BCP (±)-4 to differently-substituted BCPs [26]. C: Synthesis of 1-dialkylamino-1,2-BCPs by Bennett and co-workers [29]. D: Lebold, Sarpong and co-workers’ synthesis of 1,2-disubstituted BCPs [32]. DB = Dibenzo, TTMSS = tris(trimethylsilyl)silane, NHPI = N-hydroxyphthalimide, DPPA = diphenylphosphoryl azide, Levin’s reagent = N-(benzyloxy)-1-[4-(trifluoromethyl)phenyl]formamido 2,2-dimethylpropanoate.
Scheme 1: 1,2-Disubstituted bicyclo[1.1.1]pentanes as isosteres of ortho-substituted benzenes. A: Baran, Coll...
From 1,2-BCP (±)-4, a variety of 1,2-BCPs were prepared through basic chemical transformations (Scheme 1B) [26]. Selective deprotection gave access to free alcohol-containing 1,2-BCPs (±)-5 and (±)-8. Oxidation and esterification of alcohol (±)-5 gave redox active ester (±)-6, which was itself shown to be a suitable substrate for nickel-catalysed decarboxylative cross coupling reactions to aryl-substituted BCPs (±)-7. Oxidation of alcohol (±)-8 gave acid (±)-9 which yielded amine (±)-10 after a Curtius rearrangement.
Bennet and co-workers also reported the synthesis of 1-amino-1,2-BCPs (±)-11a–e via a similar strategy (Scheme 1C) [29]. They were able to prepare differently-substituted [1.1.1]propellanes 3b–f and subject these to strain-release amination reactions. The synthesis was shown to tolerate typical alcohol and aldehyde protecting groups.
Recently, Lebold, Sarpong, and co-workers showed that 1,2-BCPs (±)-14a–e are also accessible from 1,5-disubstituted 2-azabicyclo[2.1.1]hexanes 13 (2-aza-1,5-BCHs) through a skeletal editing strategy utilising commercially available Levin’s reagent [30,31] (Scheme 1D) [32]. The synthesis of the corresponding 2-aza-1,5-BCHs 13 was achieved by an intramolecular photochemical [2 + 2] cycloaddition. They were able to employ this synthetic route to synthesise a variety of 1,2-BCPs (±)-14 bearing a protected amine in the bridge position.
In early 2023, MacMillan and co-workers reported a method for the selective bridge bromination of BCPs, giving access to brominated 1,2-BCP (±)-16 (Scheme 2) [33]. By exploiting the homolytic cleavage of the C–Br bond using in situ-generated silyl radicals, they were then able to harness the installed bromide functionality in metallophotoredox coupling reactions to deliver nitrogen- and aryl-functionalised BCPs such as (±)-17 and (±)-18.
Scheme 2: Synthesis of 1,2-BCPs from BCP 15 by bridge C–H bromination as reported by MacMillan and co-workers [33]. DBN = 1,5-Diazabicyclo[4.3.0]non-5-ene.
Scheme 2: Synthesis of 1,2-BCPs from BCP 15 by bridge C–H bromination as reported by MacMillan and co-workers ...
In the reports of Baran, Collins and co-workers and of MacMillan and co-workers, isosteres of compounds including telmisartan (isostere = BCP 21) and lomitapide (isostere = BCP 22) were prepared and their physicochemical properties were compared to those of the parent compounds (Figure 3) [26,33]. The reported distribution coefficients (logD) of enantiomeric 1,2-BCPs (+)-21 and (−)-21 are very similar to telmisartan, while the distribution coefficients of the lomitapide isosteres (+)-22 and (−)-22 are significantly increased compared with the parent compound. The observed aqueous solubilities of BCPs (+)-21 and (−)-21 were much higher than that of telmisartan. For the lomitapide isosteres (+)-22 and (−)-22, the solubility was different for each enantiomer; while 1,2-BCP (+)-22 showed increased solubility, the solubility of 1,2-BCP (–)-22 was decreased compared to lomitapide. Cell permeability, as determined by Ralph Russ canine kidney essay (RRCK), was reduced in all 1,2-BCP isosteres compared to the parent compounds. Metabolic stability, as determined by human hepatocyte stability (HHEP), was generally improved by isosteric replacement, the single exception being telmisartan isostere (−)-21.
Figure 3: Comparative physicochemical data of telmisartan, lomitapide and their BCP isosteres [26,33]. Shake flask distribution coefficient (SF logD), kinetic aqueous solubility (KS), Ralph Russ canine kidney (RRCK), human hepatocyte stability (HHEP). aReported by Baran, Collins and co-workers, bReported by MacMillan and co-workers.
Figure 3: Comparative physicochemical data of telmisartan, lomitapide and their BCP isosteres [26,33]. Shake flask d...
1,2-Disubstituted bicyclo[2.1.1]hexanes
1,2-Disubstituted bicyclo[2.1.1]hexanes (1,2-BCHs) have been proposed as isosteres for ortho-substituted benzenes [14,34,35]. Comparison of exit vector parameters of 1,2-BCH (+)-23 and ortho-benzene telmisartan has been reported by Walker and co-workers (Figure 4) [34]. They found that both the substituent distance d and scaffold carbon distance r of 1,2-BCH (+)-23 closely resemble the ones found in telmisartan. While this agreement extends to the substituent scaffold angles φ2 and φ3, the 58° dihedral angle of 1,2-BCH (+)-23 is significantly larger than the 0° found in telmisartan. An exit vector analysis of 1,2-BCHs and ortho-benzene independently reported by Mykhailiuk and co-workers confirms these geometrical trends [36].
Figure 4: 1,2-Disubstituted bicyclo[2.1.1]hexanes as isosteres of ortho-benzenes: Exit vector parameters of telmisartan and 1,2-BCH (+)-23 obtained through X-ray crystallography reported by Walker and co-workers [34].
Figure 4: 1,2-Disubstituted bicyclo[2.1.1]hexanes as isosteres of ortho-benzenes: Exit vector parameters of t...
For a long time, routes to 1,2-BCHs were rare, but a number of practical approaches have been disclosed in recent years. Many of these utilise the ability of bicyclo[1.1.0]butanes (BCBs) to undergo [2σ-2π]-type cycloadditions with alkene reaction partners [37]. Brown and co-workers used this approach to synthesise a variety of 1,2-BCHs in moderate to good yields, employing 2,7-dimethoxythioxanthone (2,2’-OMeTX) as a triplet sensitizer for BCB excitation (Scheme 3A) [38]. Starting from BCB 24, alkenes including styrene derivatives, enol ethers, and vinyl boronates could be incorporated to give 1,2-BCHs (±)-25a–d. Brown and co-workers also reported the modification of these 1,2-BCHs to increase the number of derivatives accessible using this approach (Scheme 3B) [38]. Transformation of the naphthyl ketone moiety of BCH (±)-25d by Baeyer–Villiger oxidation followed by hydrolysis gave carboxylic acid (±)-26. Through Curtius rearrangement, amine (±)-27 was then accessible in one additional step. Formation of redox active ester (±)-28 from acid (±)-26 allowed photochemical Minisci reaction to 1,2-BCH (±)-29 and borylation to boronic ester (±)-30. Synthesis of phenol isostere (±)-31 was possible through oxidation of boronic ester (±)-30.
Scheme 3: Synthesis of 1,2-disubstituted bicyclo[2.1.1]hexanes via alkene insertion into bicyclo[1.1.0]butanes. A: Brown and co-workers’ synthesis and representative substrate scope of 1,2-disubstituted BCHs [38]. B: Brown and co-workers’ synthesis of bifunctional 1,2-BCHs [38]. C: Procter and co-workers’ synthesis of 1,2-disubstituted BCHs [35]. D: Procter and co-workers’ derivatization of BCHs [35]. 2,2’-OMeTX = 2,7-dimethoxythioxanthone, cat = catechol, pin = pinacol, NHPI = N-hydroxyphthalimide, DPPA = diphenylphosphoryl azide, mCPBA = meta-chloroperbenzoic acid, TFA = trifluoroacetic acid.
Scheme 3: Synthesis of 1,2-disubstituted bicyclo[2.1.1]hexanes via alkene insertion into bicyclo[1.1.0]butane...
In a related strategy, Procter and co-workers prepared 1,2-BCHs (±)-33a–e from BCBs 32 via a SmI2-catalysed radical relay alkene insertion (Scheme 3C) [35]. This approach relied on single-electron reduction of the ketone moiety and ring-expansion from the ketyl radical anion. Electron-deficient alkenes including acrylates, vinyl sulfones, and acrylamides could all be incorporated and the number of accessible bifunctional 1,2-BCHs was increased further by chemical transformation (Scheme 3D) [35]. Among the reported transformations were reduction of the ketone (to (±)-34), hydrolysis of the nitrile group (to (±)-35 and (±)-37), Baeyer–Villiger oxidation (to (±)-38 and (±)-39), reduction of the nitrile group (to (±)-36) and Beckman rearrangement (to (±)-40).
A mechanistically related synthesis of 1,2-BCHs was published recently by Wang and co-workers (not shown) [39]. They employed a catalytic system of B2cat2 and 4-phenylpyridine to form pyridine-boryl radicals which initiated ring expansion. The method was shown to be similarly tolerable of functional groups as Procter’s synthesis.
Intramolecular crossed [2 + 2] cycloadditions offer an alternative approach to 1,2-disubstituted BCHs. Fessard, Salomé and co-workers used this approach to synthesise a small collection of 2-oxo-BCHs including 42 and 44 (Scheme 4A) [40]. These could then be used as precursors for ortho-benzene isosteric 1,2-BCHs (Scheme 4B) [40]. Carbonyl reduction of 42a yielded alcohol (±)-45a. From 42b, Wittig homologation and hydrolysis led to aldehyde (±)-46 which could then be oxidised to acid (±)-47 using a Pinnick oxidation. BCH 42b also led to ester (±)-48 via a Horner–Wadsworth–Emmons reaction followed by hydrogenation of the formed alkene. 1,2-BCH 44 could be turned into amine (±)-49 by oxime formation and reduction. Deprotection of the alcohol followed by two-step oxidation to the carboxylic acid yielded the non-natural β-amino acid (±)-50, which could then be transformed into diamine (±)-51 by Curtius rearrangement.
Scheme 4: Synthesis of 1,2-disubstituted bicyclo[2.1.1]hexanes via intramolecular crossed [2 + 2] cycloaddition. A: Fessard, Salomé and co-workers’ synthesis of 1,2-BCHs as precursors for ortho-substituted benzene isosteres [40]. B: Fessard, Salomé and co-workers’ derivatization of 1,2-BCHs [40]. C: Mykhailiuk and co-workers’ synthesis of 1,2-BCHs as ortho-substituted benzene isosteres [36]. TBS = tert-Butyldimethylsilyl, ITX = 2-isopropylthioxanthone, DMP = Dess–Martin periodinane, DPPA = diphenylphosphoryl azide.
Scheme 4: Synthesis of 1,2-disubstituted bicyclo[2.1.1]hexanes via intramolecular crossed [2 + 2] cycloadditi...
Recently, Mykhailiuk and co-workers also reported the synthesis of 1,2-BCHs using an intramolecular crossed [2 + 2] cycloaddition strategy (Scheme 4C) [36]. They were able to avoid purification by column chromatography by transformation of BCH ester (±)-53 into BCH acid (±)-54, allowing isolation of pure 1,2-BCH (±)-54 by crystallisation. Through their synthesis they were able to access both aryl ((±)-54a) and heteroaryl ((±)-54b) substituted 1,2-BCHs.
As an alternative synthesis of 1,2-BCHs, and importantly also enantioenriched examples, Qin and co-workers developed an intramolecular coupling of cyclobutane-tethered sulfonylhydrazones and boronic esters (not shown) [41]. They also employed their method for the synthesis of 1,2,3-trisubsituted BCPs and a number of other bridged bicyclic scaffolds.
Comparison of physicochemical data of 1,2-BCHs and ortho-benzenes was reported by Mykhailiuk and co-workers (Figure 5) [36]. Lipophilicity of 1,2-BCHs was measured by experimental distribution coefficient (SF logD) and calculated partition coefficient (clogP). This analysis showed while the calculated partition coefficient was reduced by bioisosteric replacement of ortho-benzene the experimental distribution coefficient did not change significantly. However, while aqueous solubility increased by bioisosteric replacement of ortho-benzene with 1,2-BCHs, the metabolic stability as determined by intrinsic clearance rate in human liver microsomes (Clint) and half-time of metabolic decomposition (t1/2) decreased.
Figure 5: Comparison of physicochemical data of fluxapyroxad and boscalid and their 1,2-BCH bioisosteres [36]. Shake flask distribution coefficient (SF logD), calculated partition coefficient (clogP), kinetic solubility in saline (KS), intrinsic clearance in human liver microsomes (CLint), metabolic decomposition half-time (t1/2).
Figure 5: Comparison of physicochemical data of fluxapyroxad and boscalid and their 1,2-BCH bioisosteres [36]. Sh...
Mykhailiuk and co-workers also reported the antifungal activity of fluxapyroxad and boscalid biosisosteres (±)-55 and (±)-56 (Figure 6) [36]. The comparison of the antifungal activity over a wide range of concentrations showed that while biological activity is preserved upon incorporation of the 1,2-BCH scaffold, it is significantly reduced. This was also the case for the fungicide bixafen and its 1,2-BCH-based bioisostere, as reported in the same publication (not shown).
Figure 6: Antifungal activity of fluxapyroxad, its 1,5-BCH bioisostere (±)-55, boscalid and its bioisostere 1,5-BCH (±)-56 against Aspergillus niger in dependence on the concentration of the fungicide [36].
Figure 6: Antifungal activity of fluxapyroxad, its 1,5-BCH bioisostere (±)-55, boscalid and its bioisostere 1...
1,5-Disubstituted bicyclo[2.1.1]hexanes
The isomeric 1,5-disubstituted bicyclo[2.1.1]hexanes (1,5-BCHs) have also been suggested as ortho-benzene isosteres [42]. Exit vector analysis reveals that the distance between the ortho substituents d is slightly larger in 1,5-BCH than in ortho-benzene (Figure 7) [42]. The substituent–arene angles φ2 and φ3 are similar, but the dihedral angle θ between substituents is necessarily larger in 1,5-BCHs than the near 0° angle for ortho-benzenes.
Figure 7: 1,5-Disubstituted bicyclo[2.1.1]hexanes as isosteres of ortho-substituted benzenes. Comparison of exit vector parameters for ortho-benzene (valsartan) and 1,5-BCH isosteres (57a, 57b) obtained from X-ray structures as reported by Mykhailiuk and co-workers [42].
Figure 7: 1,5-Disubstituted bicyclo[2.1.1]hexanes as isosteres of ortho-substituted benzenes. Comparison of e...
Mykhailiuk and co-workers adopted a similar intramolecular [2 + 2] cycloaddition using benzophenone as a triplet sensitizer to access 1,5-BCHs (±)-59a–e as racemic mixtures of endo:exo diastereomers (Scheme 5A) [42]. Basic hydrolysis of the ester moiety followed by recrystallisation gave the diasteromerically pure acid-substituted endo-1,5-BCHs (±)-57a–e. Substrate modification was also possible, with oxidative transformation of a bridgehead furan leading to 1,5-BCH acid (±)-60 and pyridine reduction to secondary amine (±)-61 (Scheme 5B) [42]. Furthermore, 1,5-BCH (±)-64 was synthesised as a bioisostere of the fungicide fluxapyroxad from amine (±)-63, which was itself accessed via Curtius rearrangement of the corresponding 1,5-BCH (Scheme 5C) [42]. In 2023, Yoo and co-workers reported the synthesis of 1,5-BCHs by derivatization of 5-oxo-BCHs (±)-67 (Scheme 5D) [43]. They accessed the 5-oxo-BCHs by Simmons–Smith cyclopropanation [44] (to (±)-66) of α-hydroxy silyl enol ethers (±)-65 followed by an acid-catalysed pinacol rearrangement to (±)-67. As exemplary derivatizations of 5-oxo-BCH (±)-67, 1,5-BCHs (±)-68, (±)-69 and (±)-70 were accessed by reductive amination, ketone reduction, and Horner–Wadsworth–Emmons olefination with subsequent reduction of the olefin motif respectively. In contrast to the approach of Mykhailiuk, this route yields the exo-1,5-BCHs as the major diastereomer.
Scheme 5: Synthesis of 1,5-disubstituted bicyclo[2.1.1]hexanes as isosteres of ortho-benzenes via intramolecular [2 + 2] cycloaddition A: Reaction sequence developed by Mykhailiuk and co-workers for the synthesis of 1,5-BCHs and selected examples of the reported substrate scope [42]. B: Transformations of 1,5-BCHs to bifunctional scaffolds reported by Mykhailiuk and co-workers [42]. C: Application of the Mykhailiuk and co-workers’ synthesis for the synthesis of a fluxapyroxad bioisostere [42]. D: Yoo and co-workers’ synthesis of 1,5-BCHs [43].
Scheme 5: Synthesis of 1,5-disubstituted bicyclo[2.1.1]hexanes as isosteres of ortho-benzenes via intramolecu...
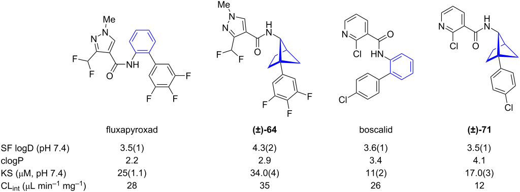
1,5-BCH (±)-64 and 1,5-BCH (±)-71 were prepared as bioisosteres of the fungicides fluxapyroxad and boscalid, respectively [45]. Comparison of physicochemical data showed that the experimentally determined distribution coefficient (logD) and calculated partition coefficient (clogP) are slightly higher for the bioisosteres and the aqueous solubility at pH 7.4 was also increased (Figure 8) [45]. Fluxapyroxad bioisostere (±)-64 had a higher clearance rate in human liver microsomes (CLint) than fluxapyroxad (lower metabolic stability) but boscalid bioisostere (±)-71 had a lower CLint and was more metabolically stable than boscalid.
Figure 8: Comparison of physicochemical data of fluxapyroxad and boscalid and their 1,5-BCH bioisosteres [45]. Shake flask distribution coefficient (SF logD), calculated partition coefficient (clogP), kinetic solubility in saline (KS), intrinsic clearance in human liver microsomes (CLint).
Figure 8: Comparison of physicochemical data of fluxapyroxad and boscalid and their 1,5-BCH bioisosteres [45]. Sh...
Importantly, Mykhailiuk and co-workers also compared the antifungal activity of fluxapyroxad, boscalid and the racemic mixtures of bioisosteres 1,5-BCHs (±)-64 and (±)-71. Their analysis showed that all compounds display similar antifungal activity over a wide range of concentrations, validating the proposition that 1,5-BCHs can function as bioisosteres of ortho-benzenes (Figure 9) [45].
Figure 9: Antifungal activity of fluxapyroxad, its 1,5-BCH bioisostere (±)-64, boscalid and its bioisostere 1,5-BCH (±)-71 against Fusarium oxysporum in dependence on the concentration of the fungicide [45].
Figure 9: Antifungal activity of fluxapyroxad, its 1,5-BCH bioisostere (±)-64, boscalid and its bioisostere 1...
1,5-Disubstituted 3-oxabicyclo[2.1.1]hexanes
To further increase the water solubility of 1,5-BCHs, Mykhailiuk and co-workers proposed 1,5-disubsituted-3-oxabicyclo[2.1.1]hexanes (3-oxa-1,5-BCHs) as isosteres for ortho-benzenes, introducing an oxygen atom into the hydrocarbon scaffold (Figure 10) [45]. Exit vector analysis reveals that the substituent distance d and distance between scaffold carbons r is slightly larger in 3-oxa-1,5-BCHs than in both ortho-benzenes and 1,5-BCHs [42]. The substituent scaffold angles φ2 and φ3 are on average actually closer to those of ortho-benzenes than for 1,5-BCHs. However, the dihedral angle θ of 3-oxa-1,5-BCHs of roughly 80° is even larger than in 1,5-BCHs and is a significant deviation from ortho-benzenes.
Figure 10: 1,5-Disubstituted 3-oxabicylco[2.1.1]hexanes as isosteres for ortho-benzenes: Comparison of exit vector parameters for valsartan and 3-oxa-1,5-BCH (±)-72a and 1,5-BCH (±)-57a obtained from X-ray crystallography as reported by Mykhailiuk and co-workers [42,45].
Figure 10: 1,5-Disubstituted 3-oxabicylco[2.1.1]hexanes as isosteres for ortho-benzenes: Comparison of exit ve...
Like their hydrocarbon 1,5-BCH analogues, 3-oxa-1,5-BCHs (±)-74 can be accessed via an intramolecular [2 + 2] cycloaddition, and saponified to acids (±)-72 (Scheme 6A) [45]. Chemical transformation of (±)-72c and (±)-72d led to bioisosteres (±)-75 and (±)-76 of fluxapyroxad and boscalid (Scheme 6B) [45].
Scheme 6: Synthesis of 1,5-disubstituted 3-oxabicyclo[2.1.1]hexanes as isosteres for ortho-benzenes via intramolecular crossed cycloaddition. A: Mykhailiuk and co-workers’ synthesis and representative substrate scope of 3-oxa-1,5-BCHs [45]. B: Mykhailiuk and co-workers’ synthesis of fluxapyroxad and boscalid bioisosteres as exemplary 3-oxa-1,5-BCH derivatizations [45].
Scheme 6: Synthesis of 1,5-disubstituted 3-oxabicyclo[2.1.1]hexanes as isosteres for ortho-benzenes via intra...
Comparison of the physicochemical data measured for fluxapyroxad and boscalid and their 3-oxa-1,5-BCH bioisosteres showed that bioisosteric replacement generally reduced the experimental distribution coefficient (SF logD) and the calculated partition coefficient (clogP) as well as increased the aqueous solubility (KS) (Figure 11) [45]. The intrinsic clearance in human liver microsomes (CLint) decreased upon bioisosteric replacement indicating increased metabolic stability.
Figure 11: Comparison of physicochemical data of fluxapyroxad and boscalid and their 3-oxa-1,5-BCH bioisosteres (±)-75 and (±)-76 as reported by Mykhailiuk and co-workers [45]. Shake flask distribution coefficient (SF logD), calculated partition coefficient (clogP), kinetic aqueous solubility (KS), intrinsic clearance rate in human liver microsomes (CLint).
Figure 11: Comparison of physicochemical data of fluxapyroxad and boscalid and their 3-oxa-1,5-BCH bioisostere...
In addition to the above physicochemical data, Mykhailiuk and co-workers assessed the antifungal activity of the suggested fluxapyroxad and boscalid bioisosteres (±)-75 and (±)-76 (Figure 12) [45]. The collected data shows that the isosteres, while still biologically active, are overall less active than the parent compounds over a wide range of concentrations. Nevertheless, the data indicates that the 3-oxa-1,5-BCH scaffold can be used as a bioisostere of an ortho-benzene.
Figure 12: Antifungal activity of fluxapyroxad and boscalid and their 3-oxa-1,5-BCH bioisosteres (±)-75 and (±)-76 against Fusarium oxysporum [45].
Figure 12: Antifungal activity of fluxapyroxad and boscalid and their 3-oxa-1,5-BCH bioisosteres (±)-75 and (±...
1,2-Disubstituted bicyclo[3.1.1]heptanes
Apart from the previously discussed isosteric replacements based on the bicyclo[1.1.1]pentane or bicyclo[2.1.1]hexane scaffolds, differently substituted bicyclo[3.1.1]heptanes (BCHeps) have also been suggested as isosteric replacements for ortho- or meta-benzenes [14,27,46,47].
1,2-Disubstituted BCHeps (1,2-BCHeps) have been proposed as isosteres of ortho-benzenes [46], but no exit vector comparison has thus far been reported in the literature (Figure 13). Judgement of the geometrical likeness of 1,2-BCHeps and ortho-benzene therefore remains difficult. It can however be assumed that the dihedral angle θ of 1,2-BCHeps is once more significantly larger than the one of an equivalently substituted ortho-benzene.
Figure 13: 1,2-Disubstituted bicyclo[3.1.1]heptanes as isosteres of ortho-benzenes. Schematic representation of isosteric replacement of ortho-benzene with 1,2-BCHeps.
Figure 13: 1,2-Disubstituted bicyclo[3.1.1]heptanes as isosteres of ortho-benzenes. Schematic representation o...
Stephenson and co-workers accessed 1,2-BCHeps 79a–c by insertion of alkenes into BCPs 78, and proposed the 1,2-BCHeps as isosteres of ortho-benzenes (Scheme 7A) [46]. The reaction proceeded via homolytic cleavage of a C–C bond adjacent to the imine functionality and stepwise alkene addition and cyclisation. Styrenyl (to 79a,c–e), acrylonitrile (to 79b) as well as acrylate-based alkenes could be inserted under the reaction conditions. The authors were then able to apply their method to the synthesis of isosteres of both boscalid (isostere = 80) and norharmane (isostere = 81) (Scheme 7B) [46].
Scheme 7: Synthesis of 1,2-disubstituted bicyclo[3.1.1]heptanes as isosteres for ortho-benzenes via alkene insertion. A: Stephenson and co-workers’ synthesis of 1,2-BCHeps as isosteres for ortho-substituted benzene and selected examples of the reported substrate scope [46]. B: Stephenson and co-workers’ synthesis of drug isosteres as exemplary derivatization reactions of 1,2-BCHeps [46].
Scheme 7: Synthesis of 1,2-disubstituted bicyclo[3.1.1]heptanes as isosteres for ortho-benzenes via alkene in...
As with the exit vector parameters, there is currently no reported comparative physicochemical or biological data for 1,2-BCHeps with their equivalent ortho-benzene compounds.
1,2-Disubstituted stellanes
1,2-Disubstituted stellanes (1,2-stellanes) are an unusual scaffold that were recently proposed as ortho-benzene isosteres (Figure 14) [48]. Comparison of selected exit vector parameters obtained from reported crystal structures [48,49] indicates high geometric agreement between the stellane and benzene cores. Substituent distance d, scaffold carbon distance r, and the substituent scaffold angles φ2 and φ3 of stellane 82 all closely resemble those found in phthalic acid. While geometric consideration suggests that the dihedral angles θ of 1,2-stellanes should closely resemble the ones found in ortho-benzenes this is not the case in this comparison as the unusually high angle of 20.7° of phthalic acid is larger than the substituent dihedral angle θ of 10.9° of stellane 82.
Figure 14: 1,2-Disubstituted stellanes as ortho-benzene isosteres: Comparison of selected exit vector parameters in ortho-benzene phthalic acid [49] and 1,2-stellane 82 [48].
Figure 14: 1,2-Disubstituted stellanes as ortho-benzene isosteres: Comparison of selected exit vector paramete...
The synthesis of 1,2-stellanes was originally reported in 1996 by Camps and co-workers [50]. Recently, Ryabukhin, Volochnyuk and co-workers modified Camps' synthetic protocol to access dimethyl stellane-1,5-dicarboxylate (82) on multigram scale (Scheme 8) [48]. As in Camps' synthesis, their approach starts from dinitrile 83. However, while Camps and co-workers directly accessed the stellane scaffold from 83, Ryabukhin, Volochnyuk and co-workers first transformed the nitrile groups into esters before forming stellane core 82.
Scheme 8: Synthesis of 1,2-disubstituted stellanes as isosteres for ortho-benzenes reported by Ryabukhin, Volochnyuk and co-workers [48].
Scheme 8: Synthesis of 1,2-disubstituted stellanes as isosteres for ortho-benzenes reported by Ryabukhin, Vol...
While the geometric properties of 1,2-stellanes indicate the scaffold to be a good geometric isostere of ortho-benzene, further research is required to increase the number of 1,2-stellanes with different functional groups and to evaluate the physiochemical and biological properties of these compounds.
1,2-Disubstituted cubane
The final ortho-benzene isostere which will be discussed is 1,2-disubstituted cubane (1,2-cubane) [14,51]. No complete set of exit vector parameters of 1,2-cubanes is available in literature but substituent distances and angles in 1,2-cubanes have been reported and show close similarity to the corresponding ortho-benzenes (Figure 15) [14,51]. Even though no value for the dihedral angle θ of disubstituted cubane has been reported, it is likely that the values of θ are approximately equivalent, given the forced coplanarity of the substituents in both cubane and benzene [52].
Figure 15: 1,2-Disubstituted cubanes as ortho-benzene isosteres: Comparison of substituent distances and angles in ortho-benzene and 1,2-cubane as representative exit vector parameters. aReported by Mykhailiuk [14]. bReported by MacMillan and co-workers [51].
Figure 15: 1,2-Disubstituted cubanes as ortho-benzene isosteres: Comparison of substituent distances and angle...
Routes to 1,4-cubanes have been available since the first syntheses of cubane derivatives by Eaton and co-workers [52,53]. Conversion of 1,4-cubanes to other disubstituted cubanes via a complex synthetic sequence has also been reported [54]. Recently, MacMillan and co-workers disclosed the development of a new synthetic route to diester 1,2-cubane 88 from dimethyl cubane-1,4-dicarboxylate (85) (Scheme 9A) [51]. 1,4-Cubane 85 is photochemically carboxylated to 86, and selective saponification of the least hindered ester leads to 87. Formation of a redox active ester followed by photocatalytical decarboxylation then yields 1,2-cubane 88. This synthesis reduced the number of synthetic steps from eight, in the previously known patented synthesis from 2007 [54], to four. MacMillan and co-workers also developed a number of decarboxylative cross-coupling reactions to allow access to an even wider range of 1,2-cubanes (Scheme 9B) [51]. Partial deprotection of diester 88 led to acid 89 as a key intermediate and in situ activation of the acid as the hypervalent iodine complex enabled a photoredox decarboxylative amination to 1,2-cubane 90. Alternatively, conversion of the acid moiety of 89 to redox active esters 91 and 92 enabled the metallaphotoredox arylation (to 93) and alkylation (to 94) of the cubane core. Comparative physicochemical or biological data for the 1,2-cubanes was not reported.
Scheme 9: Synthesis of 1,2-disubsituted cubanes as isosteres for ortho-benzenes. A: Synthesis of 1,2-cubane developed by MacMillan and co-workers [51]. B: MacMillan and co-workers’ newly developed Cu-catalysed cross coupling reactions of 1,2-cubane [51]. NHPI = N-Hydroxyphthalimide, TCNHPI = N-hydroxytetrachlorophthalimide.
Scheme 9: Synthesis of 1,2-disubsituted cubanes as isosteres for ortho-benzenes. A: Synthesis of 1,2-cubane d...
Isosteres of meta-substituted benzenes
Many of the scaffolds previously discussed as potential bioisosteres for ortho-benzenes have, with different substitution patterns, also been suggested as potential bioisosteric replacements of meta-benzenes. In some cases, similar synthetic approaches may be adopted, but in many a new route is required to access the new substitution pattern.
1,3-Disubstituted bicyclo[2.1.1]hexanes
1,2-BCHs have been previously discussed as isosteres for ortho-benzenes (see Figure 4–Scheme 4). The related 1,3-disubstituted bicyclo[2.1.1]hexane (1,3-BCH) scaffolds have been suggested as isosteres for meta-benzenes (Figure 16) [14,34]. Exit vector analysis of 1,3-BCH 96a shows that substituent distance d, scaffold carbon distance r, and substituent angle φ1 are remarkably similar to the aromatic counterpart. While the substituent–scaffold angles φ2 and φ3 show some deviation, the main difference is the 1,3-BCHs dihedral angle θ of 78° [34].
Figure 16: 1,3-Disubstituted bicyclo[2.1.1]hexanes as isosteres of meta-benzenes: comparative exit vector parameters obtained from crystal structures reported by Walker and co-workers [34].
Figure 16: 1,3-Disubstituted bicyclo[2.1.1]hexanes as isosteres of meta-benzenes: comparative exit vector para...
Recently, Walker and co-workers reported the synthesis of various polysubstituted BCHs, including 1,3-BCHs 96a and 96b via an intramolecular [2 + 2] cycloaddition from the corresponding diene 97 (Scheme 10) [34]. No comparative physicochemical or biological data was collected.
Scheme 10: Synthesis of 1,3-disubstituted bicyclo[2.1.1]hexanes as isosteres for meta-benzenes reported by Walker and co-workers [34].
Scheme 10: Synthesis of 1,3-disubstituted bicyclo[2.1.1]hexanes as isosteres for meta-benzenes reported by Wal...
1,4-Disubstituted bicyclo[2.1.1]hexanes
1,4-Disubsituted bicyclo[2.1.1]hexanes have been suggested as another BCH-based scaffold suggested for isosteric replacement of meta-benzenes [14]. Exit vector analysis of 1,4-BCH 98 and m-terphenyl (95) has been reported by Walker and co-workers (Figure 17) [34]. It shows that while the substituent distances d are remarkably similar, the carbon scaffold distance r of the 1,4-BCH is roughly 15% smaller. The substituent angle φ1 and the substituent scaffold angles φ2 and φ3 are all increased by isosteric replacement. Unlike for the 1,3-BCH, the dihedral angle θ for the 1,4-BCH is, with a value of 1°, near-identical to the aromatic equivalent.
Figure 17: 1,4-Disubstituted bicyclo[2.1.1]hexanes as isosteres of meta-benzenes: comparative exit vector parameters obtained from crystal structures reported by Walker and co-workers [34].
Figure 17: 1,4-Disubstituted bicyclo[2.1.1]hexanes as isosteres of meta-benzenes: comparative exit vector para...
Synthesis of 1,4-BCHs 100a–f via intramolecular [2 + 2] cycloaddition of hexa-1,5-dienes was reported by Rigotti and Bach (Scheme 11A) [55]. These reactions require the presence of one styrenyl motif for efficient excitation. Derivatization of some of the compounds formed led to further useful 1,4-BCHs (Scheme 11B) [55]. From carboxylic acid 100e, Curtius rearrangement led to amine 101 and a photoredox decarboxylative conjugate addition to diester 102. From boronate ester 100f, oxidative deborylation led to alcohol 103, arylation led to furan 104 and Matteson homologation to boronate ester 105.
Scheme 11: Synthesis of 1,4-disubstituted bicyclo[2.1.1}hexanes as isosteres for ortho-benzenes via intramolecular crossed cycloaddition. A: Rigotti and Bach’s synthesis of 1,4-BCHs [55]. B: Rigotti and Bach’s derivatizations of 1,4-BCHs [55]. DPPA = Diphenylphosphoryl azide.
Scheme 11: Synthesis of 1,4-disubstituted bicyclo[2.1.1}hexanes as isosteres for ortho-benzenes via intramolec...
Prior to Rigotti and Bach, a select few 1,4-BCHs had been synthesised by Qin and co-workers [41] and Blanchard [56]. Alternatively, Hartwig and co-workers developed a C–H borylation reaction to access bridgehead-borylated 1,4-BCHs from monosubstituted BCHs [57]. The synthesis of polysubstituted BCHs developed by Walker and co-workers has also been applied for the synthesis of 1,4-BCHs [34].
So far, no comparative physicochemical or biological data has been reported in the literature for these compounds.
1,4-Disubstituted-2-oxabicyclo[2.1.1]hexanes
The introduction of 3-oxa-1,5-BCHs as more soluble and less lipophilic ortho-isosteres has previously been discussed (see Figure 10–Figure 12). The related 1,4-disubstituted-2-oxa-BCHs (2-oxa-1,4-BCHs) have also been investigated as meta-benzene isosteres (Figure 18) [58]. The exit vector analysis of 2-oxa-1,4-BCHs shows that the substituent distances d and scaffold carbon distances r are only slightly smaller than for the corresponding meta-benzenes. At the same time, the substituent angle φ1 is about 30° larger in 2-oxa-1,4-BCH.
Figure 18: 1,4-Disubstituted-2-oxabicyclo[2.1.1]hexanes as meta-benzene isosteres: comparison of selected exit vector parameters [58].
Figure 18: 1,4-Disubstituted-2-oxabicyclo[2.1.1]hexanes as meta-benzene isosteres: comparison of selected exit...
Mykhailiuk and co-workers could synthesise the 2-oxa-1,4-BCHs 110a–f in high yields by iodocyclisation of alcohols 109 (Scheme 12A) [58]. The formed products all contained a pendant primary iodide group and the synthesis was additionally shown to be tolerant of functional groups including protected amines (in 110c), protected alcohols (in 110d) and nitriles (in 110e). Grygorenko and co-workers accessed fluorine-containing 2-oxa-1,4-BCH 110b via Mykhailiuk’s synthesis [59]. 2-Oxa-1,4-BCH 110f, which contained a bridgehead ester in addition to the pendant primary iodide, was found to be a versatile synthetic intermediate. Substitution of the primary iodide with acetate or azide led to alcohol 111 and amine 113, respectively (Scheme 12B) [58]. Saponification of the ester moieties in these species followed by Curtius rearrangements then led to amines 114 and 116. Non-natural amino acid derivatives 113 and 117 are intermediates prepared using these methods that could be of interest to medicinal chemistry. Alcohol 111 could also be oxidised to acid 112, from which redox active ester 118 could be accessed.
Scheme 12: Synthesis of 1,4-disubstituted 2-oxabicyclo[2.1.1]hexanes as isosteres for meta-benzenes. A: Mykhailiuk and co-workers’ synthesis and representative substrate scope of 2-oxa-1,4-BCHs [58,59]. B: Synthesis of multifunctional 2-oxa-1,4-BCHs reported by Mykhailiuk and co-workers [58]. C: Hartwig and co-workers’ synthesis and substrate scope of 2-oxa-1,4-BCHs through C–H functionalisation [57]. aAs reported by Grygorenko and co-workers. bThe synthesised iodide was unstable and therefore treated with KOAc. cTreated with KHF2 after completion of the reaction. dIn situ protection of the alcohol functionality with HBpin. NHPI = N-Hydroxyphthalimide, DPPA = diphenylphosphoryl azide, 2-mphen = 2-methylphenantroline.
Scheme 12: Synthesis of 1,4-disubstituted 2-oxabicyclo[2.1.1]hexanes as isosteres for meta-benzenes. A: Mykhai...
An alternative approach to 2-oxa-1,4-BCHs involves the C–H-borylation of monosubstituted 2-oxa-BCHs developed by Hartwig and co-workers (Scheme 12C) [57]. Functional groups including halides (in 120b), alcohols (in 120c) and esters (in 120d) are all tolerated under these conditions.
To the best of our knowledge, comparative physicochemical data for 2-oxa-1,4-BCHs and meta-benzenes has not been reported. However, Mykhailiuk and co-workers reported comparative physicochemical data for para-benzenes and both 2- (122) and 3-oxa-1,4-BCHs (123) (Figure 19) [58]. The experimental distribution coefficient (logD) of 2- and 3-oxa-1,4-BCHs 122 and 123 is reduced compared to equivalent para-benzene 121 while the kinetic aqueous solubility (KS) is increased. The intrinsic clearance rate in mouse liver microsomes (CLint) is also significantly reduced for both 2- and 3-oxa-1,4-BCHs compared with para-benzene 121 indicating higher metabolic stability.
Figure 19: Comparative physicochemical data for 2- and 3-oxa-1,4-BCHs and para-substituted benzene equivalents as reported by Mykhailiuk and co-workers [58]. Experimental distribution coefficient (logD), kinetic aqueous solubility (KS) and intrinsic clearance in mouse liver microsomes (CLint). aMeasured at pH 7.4.
Figure 19: Comparative physicochemical data for 2- and 3-oxa-1,4-BCHs and para-substituted benzene equivalents...
1,5-Disubstituted bicyclo[3.1.1]heptanes
While only one investigation of BCHeps as potential ortho-benzene isosteres has been reported [46], their potential as meta-benzene isosteres is more widely investigated [14,27,47,60]. Comparison of selected exit vector parameters of 1,5-disubstituted bicyclo[3.1.1]heptanes (1,5-BCHeps) and meta-benzene was performed by Anderson and co-workers [27] and Mykhailiuk [14] (Figure 20). These analyses show that the substituent distance in 1,5-BCHeps is slightly smaller than in meta-benzene but the substituent and dihedral angles are remarkably similar.
Figure 20: 1,5-Disubstituted bicyclo[3.1.1]heptanes as isosteres of meta-benzenes: comparison of exit vector parameters [14,27]. aReported by Mykhailiuk and co-workers bObtained from single-crystal X-ray structures, reported by Anderson and co-workers cCalculated on CPCM(THF)-B2PLYP-D3BJ/def2-TZVP level of theory, reported by Anderson and co-workers.
Figure 20: 1,5-Disubstituted bicyclo[3.1.1]heptanes as isosteres of meta-benzenes: comparison of exit vector p...
1,5-BCHeps 126 and 127 were first reported by Gassman and Proehl [61] and by Wada [62]. The most common synthetic approach today is via the strain-release ring-opening of [3.1.1]propellane (129). Gassman reported the initial synthesis of [3.1.1]propellane (129) in 1980 [61], and this was recently optimised by Uchiyama (Scheme 13A) [47]. Cyclisation to the bridged structure 126 was achieved by enolate formation and intramolecular nucleophilic substitution of iodide diester 125. A sequence of saponification (to 127), decarboxylative halogenation (to 128 and 130) and strain-inducing substitution then forms [3.1.1]propellane (129). Anderson and co-workers have reported a new synthesis of [3.1.1]propellane (129) based on the dibromocyclopropanation methodology typically used to access [1.1.1]propellanes (Scheme 13B) [27]. These new syntheses increased the overall yield of the [3.1.1]propellane synthesis from Gassman’s original 6% to 23% (Uchiyama) and up to 35% (Anderson) in 5 steps.
Scheme 13: Synthesis of [3.1.1]propellane as a precursor for 1,5-disubsituted bicyclo[3.1.1]heptanes. A: aGassman’s original synthesis of [3.1.1]propellane [61] and bUchiyama’s modification thereof [47]. B: Anderson and co-workers’ synthesis of [3.1.1]propellane [27]. DB = Dibenzo.
Scheme 13: Synthesis of [3.1.1]propellane as a precursor for 1,5-disubsituted bicyclo[3.1.1]heptanes. A: aGass...
Iodine-substituted 1,5-BCHeps 134a–g were shown to be accessible from [3.1.1]propellane via haloalkylation with alkyl iodides (Scheme 14A) [27,47]. This reaction can be performed either under photoredox catalysis conditions or without the need for an initiator, depending on the used alkyl iodide. For selected examples, the radical initiator Et3B could also be used. Activation by photoredox catalysis was developed by Anderson and co-workers and was shown to be the more versatile than initiator-free activation. Both initiator-free and Et3B-initiated reactions only tolerated electrophilic radicals (to 134a and 134e), while photoredox catalysis also tolerated electron-rich radicals (to 134b). The synthesis of some 1,5-BCHeps, including 134b, was also possible on mmol scale. Through derivatization of iodine-substituted 1,5-BCHeps 134f and 134g, an even larger number of 1,5-BCHeps were accessed (Scheme 14B) [27,47]. For example, lithium–halogen exchange was used to prepare acids 135f–g and boronic ester 136g. The latter could then be oxidised to the corresponding alcohols 137f–g. The bridgehead iodine substituent could also be harnessed in iron-catalysed Kumada coupling reactions to furnish a larger number of arene-substituted 1,5-BCHeps 138.
Scheme 14: Synthesis of iodine-substituted 1,5-disubstituted bicyclo[3.1.1]heptanes as isosteres for meta-benzenes. A: Anderson’s and Uchiyama’s access of iodine-substituted 1,5-BCHeps [27,47]. B: Anderson’s and Uchiyama’s derivatization of iodine-substituted BCHeps [27,47]. aReported by Anderson and co-workers. bReported by Uchiyama and co-workers. cEt3B can also be used as an initiator.
Scheme 14: Synthesis of iodine-substituted 1,5-disubstituted bicyclo[3.1.1]heptanes as isosteres for meta-benz...
Anderson and co-workers also reported access to nitrogen-substituted 1,5-BCHeps 141a–d through a photoredox-catalysed aminoalkylation with amines 140 and iodonium dicarboxylates 139 (Scheme 15A) [27]. Both Anderson and Uchiyama also reported the synthesis of chalcogen- and tin-substituted 1,5-BCHeps 145a–f from [3.1.1]propellane (Scheme 15B) [27,47,60].
Scheme 15: Synthesis of nitrogen-, chalcogen- and tin-substituted 1,5-disubstituted bicyclo[3.1.1]heptanes as isosteres for meta-benzenes. A: Anderson and co-workers’ synthesis of nitrogen-substituted 1,5-BCHeps [27]. B: Anderson and co-workers’ and Uchiyama and co-workers’ synthesis of chalcogen- and tin-substituted 1,5-BCHeps [27,47,60]. aReported by Anderson and co-workers. bReported by Uchiyama and co-workers. cReported by Anderson, Mykhailiuk and co-workers. BTMG = 2-tert-Butyl-1,1,3,3-tetramethylguanidine, TMHD = 2,2,6,6-tetramethyl-3,5-heptanedione.
Scheme 15: Synthesis of nitrogen-, chalcogen- and tin-substituted 1,5-disubstituted bicyclo[3.1.1]heptanes as ...
The ability of 1,5-BCHeps to act as bioisosteres of meta-benzenes was also studied by Anderson and co-workers. They reported the comparison of fatty acid amide hydrolase inhibitor URB597 with its 1,5-BCHep isostere 146 (Figure 21) [27]. They found that while replacement of one of the meta-benzenes does not change the aqueous solubility (KS), it does improve the intrinsic clearance rate in human liver microsomes (CLint) and the half-live in human liver microsomes (t1/2). Additionally, undesired target inhibition was reduced by isosteric replacement of meta-benzene with 1,5-BCHeps as shown by the 50% inhibition concentration of selected CYP450 enzymes (IC50).
Figure 21: Comparative physicochemical data of URB597 and 1,5-BCHep isostere 146 [27]. Kinetic aqueous solubility (KS), intrinsic clearance in human liver microsomes (CLint), half-life in human liver microsomes (t1/2) and 50% inhibition concentration of CYP2C9 (IC50).
Figure 21: Comparative physicochemical data of URB597 and 1,5-BCHep isostere 146 [27]. Kinetic aqueous solubility ...
Cis-2,6-disubstituted [2]-ladderanes
Brown and co-workers recently proposed cis-2,6-disubstituted bicyclo[2.2.0]hexanes ([2]-ladderanes) as isosteric replacements for meta-benzenes. An exit vector analysis indicated that the substituent distance d, scaffold carbon distance r, and substituent scaffold angles φ2 and φ3 of [2]-ladderanes and meta-benzene are all very similar to those of meta-benzenes (Figure 22) [63]. However, as with many other proposed isosteres, the 30° dihedral angle θ of [2]-ladderanes is a significant deviation from planarity.
Figure 22: [2]-Ladderanes as isosteres of meta-benzenes: comparison of reported exit vector parameters [63].
Figure 22: [2]-Ladderanes as isosteres of meta-benzenes: comparison of reported exit vector parameters [63].
Brown and co-workers prepared the [2]-ladderanes via a multistep sequence from diene 147 including an intramolecular [2 + 2] cycloaddition (to (±)-148) and a Wolff rearrangement (to (±)-150) (Scheme 16A) [63]. This approach yielded predominantly the endo diastereomer of trans-[2]-ladderanes 150. Isomerisation to the desired cis-[2]-ladderanes 150 was achieved through epimerisation of the ester functional group (Scheme 16B) [63]. Transformation of the phenyl group (of 150a) or alkene group (of 150b) into synthetically versatile acid 151 and protected alcohol 152 was achieved by standard chemical transformations. Additional bifunctional [2]-ladderanes were accessible by further synthetic manipulations (Scheme 16C) [63]. Acid 152 could be transformed into protected amine 153 by Curtius rearrangement and alcohol 155 through reduction. The [2]-ladderane scaffold was also shown to be tolerant of oxidising conditions in the transformation of alcohol 153 to aldehyde 154. All of these transformations could be performed without reduction in diastereomeric ratio. Additionally, the authors showed that acid 152 can undergo nickel-catalysed decarboxylative cross coupling reactions via redox active ester 156 to afford alkyl, alkynyl, and aryl-substituted [2]-ladderanes 157a–c.
Scheme 16: Synthesis of cis-2,6-disubstituted bicyclo[2.2.0]hexanes as isosteres for meta-benzenes. A: Brown and co-workers’ synthesis of trans-[2]-ladderanes 150a and 150b [63]. B: Transformation of trans-[2]-ladderanes into bifunctional cis-[2]-ladderanes 151 and 152 [63]. C: Selected derivatization reactions of cis-[2]-ladderanes [63]. ITX = Isopropylthioxanthone, p-ABSA = 4-acetamidobenzenesulfonyl azide, TCNHPI = N-hydroxytetrachlorophthalimide, DPPA = diphenylphosphoryl azide, DMP = Dess–Martin periodinane.
Scheme 16: Synthesis of cis-2,6-disubstituted bicyclo[2.2.0]hexanes as isosteres for meta-benzenes. A: Brown a...
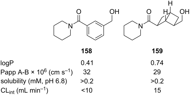
Comparative physicochemical data of meta-benzene 158 and [2]-ladderane isostere 159 was also reported by Brown and co-workers (Figure 23) [63]. The comparison showed a modest increase in the partition coefficient (logP) and intrinsic clearance rate in rat liver microsomes (CLint), while apparent permeability (Papp) and equilibrium solubility are not significantly impacted by the isosteric replacement of the meta-benzene moiety.
Figure 23: Comparative physicochemical data of meta-benzene 158 and [2]-ladderane isostere 159 [63]. Partition coefficient (logP), apparent permeability (Papp), equilibrium solubility and intrinsic clearance in rat liver microsomes (CLint).
Figure 23: Comparative physicochemical data of meta-benzene 158 and [2]-ladderane isostere 159 [63]. Partition coe...
1,3-Disubstituted cubanes
In addition to their improved synthesis of 1,2-cubanes as ortho-benzene isosteres, MacMillan and co-workers introduced viable routes to 1,3-cubanes as isosteres of meta-benzenes [51]. Exit vector analysis by Mykhailiuk [14] and MacMillan [51] showed that the substituent distance d and substituent angle φ1 are slightly smaller in 1,3-cubane than in meta-benzene (Figure 24). Even though no value for the dihedral angle θ of 1,3-cubane has been reported, it can be assumed, based on the forced coplanarity of the substituents in both disubstituted cubane and benzene [52], that the values of θ are approximately equivalent.
Figure 24: 1,3-Disubstituted cubanes as isosteres of meta-benzenes: comparison of selected exit vector parameters [14,51]. aReported by Mykhailiuk. bReported by MacMillan and co-workers.
Figure 24: 1,3-Disubstituted cubanes as isosteres of meta-benzenes: comparison of selected exit vector paramet...
1,3-Cubane diester 166 was the key synthetic target of MacMillan and co-workers, and was accessed over 8 steps from diene 161 (Scheme 17A) [51]. Diels–Alder reaction of diene 161 and di-tert-butyl azodicarboxylate (160) followed by palladium-assisted elimination of acetic acid gave diene 162. A sequence of 4π-electrocyclisation and electrophilic transcarbamation (to 163), deprotection, decarboxylation, oxidation, nitrogen extrusion (to cyclobutadiene) and Diels–Alder reaction yielded annulated tricycle 164. Further intramolecular [2 + 2] cycloaddition formed cubane precursor 165. From diketone 165, 1,3-cubane 166 was obtained by Favorskii ring contraction followed by methylation of the intermediate diacid. As for the 1,2-cubanes, the authors were able to derivatise this general building block into a range of other 1,3-cubanes via metallophotoredox catalysis using acid 167 and redox active esters 168 and 169 (Scheme 17B) [51]. Arylation (to 170), amination (to 171) and alkylation (to 172) were all possible.
Scheme 17: Synthesis of 1,3-disubsituted cubanes as isosteres for meta-benzenes. A: MacMillan and co-workers’ de novo synthesis of 1,3-cubanes [51]. B: Cross coupling reactions for derivatisations of 1,3-cubanes [51]. C: Coote and co-workers’ de novo synthesis of 1,3-cubanes [64]. D: Coote and co-workers’ derivatization of 1,3-cubanes [64]. aDowex 50W X8 resin was used as the proton source. NHPI = N-Hydroxyphthalimide, TCNHPI = N-hydroxytetrachlorophthalimide, DMP = Dess–Martin periodinane, CDI = carbonyldiimidazole, DPPA = diphenylphosphoryl azide.
Scheme 17: Synthesis of 1,3-disubsituted cubanes as isosteres for meta-benzenes. A: MacMillan and co-workers’ ...
An alternative pathway to 1,3-cubane 166 was reported by Coote and co-workers (Scheme 17C) [64]. Through their synthesis of enone 176, used in Ueda’s synthesis of cubane 166 and previously only obtained as a side product of the Diels–Alder reaction forming enone 173 [65], they were able to access cubane 166 on gram scale. Synthesis of enone 176 was achieved by a Wharton transposition sequence [66]. The enone 173 was epoxidised yielding epoxide 174, which could be converted into the allylic alcohol 175 by the Wharton reaction. Enone 176 could then be obtained by oxidation of alcohol 175 with Dess–Martin periodinane. Synthesis of cubane 166 was then achieved by [2 + 2] cycloaddition of enone 176 using acetone as the photosensitiser (to 177), the first Favorskii ring contraction (to 178), deketalisation, the second Favorskii ring contraction and esterification (to 166) [64]. In addition to their synthesis of cubane 166, Coote and co-workers also reported a number of bifunctional 1,3-cubanes accessible through functional group interconversion from acid ester cubane 167 (Scheme 17D) [64]. Reduction to the alcohol (to 179) and iodination (to 180) of the carboxylic acid motif, formation of the Weinreb amide 181 and Curtius rearrangement (to 182) were all possible.
Comparative physicochemical and biological data for selected 1,3-cubanes and meta-benzene was reported by MacMillan and co-workers. They compared lumacaftor, one of the active compounds of the cystic fibrosis drug orkambi [67], to its 1,3-cubane bioisostere 183 (Figure 25) [51]. This comparison showed that while the distribution coefficient (logD) did not significantly change upon bioisosteric replacement, the solubility at neutral and low pH as well as the intrinsic clearance rate in human liver microsomes (CLint) improved significantly. The increase in solubility is particularly marked at low pH. A related observation was made by Poole and co-workers for quinoline-substituted 1,2,3-BCPs, where larger increases in the lipophilicity of the bioisosteric compound were also found at low pH [68]. One potential explanation for these observations is an increase in heterocycle basicity on bioisosteric switch of a neighbouring aromatic group. However, the drug-specific half-maximal rescue concentration (RC50 CFTR, lower indicates higher biological activity), indicative of the biological activity, increased by about one order of magnitude.
Figure 25: Comparative physicochemical data of lumacaftor and its 1,3-cubane bioisostere 183 [51]. Distribution coefficient (logD), intrinsic clearance in human liver microsomes (CLint), half-maximal rescue concentration (RC50 CFTR).
Figure 25: Comparative physicochemical data of lumacaftor and its 1,3-cubane bioisostere 183 [51]. Distribution co...
1,3-Disubstituted cuneanes
As a scaffold derived from cubanes, cuneanes have recently come into focus as potential bioisosteres. While the 1,3-disubstituted cuneanes (1,3-cuneanes) have been described as early as 1970 by Eaton and co-workers [69] their selective synthesis had not been studied until recently [70]. Selected exit vector parameters showed that substituent distance d and scaffold carbon distance r of 1,3-cuneanes closely resemble the distances found at meta-benzene (Figure 26) [70-72]. While the substituent angle φ1 of 1,3-cuneanes is only slightly larger than in meta-benzene, the dihedral angle θ is significantly larger and strongly dependent on the specific substituents.
Figure 26: 1,3-Disubstituted cuneanes as isosteres of meta-benzenes: comparison of selected exit vector parameters [70-72]. aReported by Lam and co-workers. bReported by Iwabuchi and co-workers. cReported by Stephenson and co-workers. dObtained from the crystal structures reported by Lam and co-workers and Stephenson and co-workers.
Figure 26: 1,3-Disubstituted cuneanes as isosteres of meta-benzenes: comparison of selected exit vector parame...
1,3-Cuneanes can be obtained by metal-induced isomerisation of 1,4-cubanes [69]. Recent reports of their synthesis indicate that silver salts enable the isomerisation to occur efficiently (Scheme 18A) [70-72]. Experimental results and computational investigations by Stephenson and co-workers showed that the obtained ratio of 1,3-cunanes to 2,6-cuneanes is dependent on the cubane substituents [71]. Generally, at least one of the substituents needs to be electron donating to obtain the 1,3-cuneane selectively. The hydroxymethyl group (185a, 185b, 185f), a boronic acid pinacol ester (185c), a phthalimide-protected aminomethyl group (185d) and an oxazole (185e) were, among others, successful as electron-donating groups yielding 1,3-cuneanes. Iwabuchi and co-workers also found that the use of 1,1,1,3,3,3-hexafluoro-2-propanol (HFIP) as the solvent in the isomerisation reaction changes the obtained ratio in favour of the 1,3-cuneane when compared to their alternative solvent system of H2O/MeOH [72]. Iwabuchi and co-workers demonstrated the suitability of 1,3-cuneanes to undergo chemical transformations in their synthesis of ketoprofen bioisostere 189 (Scheme 18B) [72]. 1,3-Cuneane 186 bearing two electron-withdrawing groups was accessible by oxidation of 1,3-cuneane 185a. The 1,3-cuneane scaffold was stable to Wittig olefination and Weinreb ester formation (to 187). Reaction with a Grignard reagent, hydroboration and oxidation of the organoborane were also possible in high yields (to 188). Similar to ketoprofen bioisostere 189, its inversely substituted isomer iso-189 was also accessible from 185a. Iwabuchi and co-workers also investigated the biological activity of both 189 and iso-189 in form of the inhibition of prostaglandin PGE2 synthesis by cyclooxygenase-2 (COX-2). Their investigation showed that while 1,3-cuneane 189 requires a 100-fold increase in concentration to reach inhibitory rates comparable to ketoprofen, its isomer iso-189 is inactive against COX-2 (both 189 and iso-189 were obtained and investigated as a mixture of four diastereomers).
Scheme 18: Synthesis of 1,3-cuneanes as isosteres of meta-benzene. A: Synthesis of 1,3-cuneanes reported by Lam and co-workers, Stephenson and co-workers and Iwabuchi and co-workers [70-72]. B: Synthesis of ketoprofen bioisostere 189 reported by Iwabuchi and co-workers [72]. aReported by Lam and co-workers. bReported by Stephenson and co-workers. cReported by Iwabuchi and co-workers. dYield corresponds to the isolated 3:1 mixture of 1,3-cuneane and 2,6-cuneane. HFIP = 1,1,1,3,3,3-Hexafluoro-2-propanol, AZADO+ = 2-azaadamantane N-oxyl.
Scheme 18: Synthesis of 1,3-cuneanes as isosteres of meta-benzene. A: Synthesis of 1,3-cuneanes reported by La...
Comparative physicochemical data of the anticancer drug sonidegib and its 1,3-cuneane isostere 190 was reported by Lam and co-workers (Figure 27) [71]. Unfortunately, in this case, isosteric replacement of meta-benzene with 1,3-cuneanes was found to not only have no significant effect on the partition coefficient (logP), but also significantly reduce both aqueous solubility and microsomal stability.
Figure 27: Comparative physicochemical data of sonidegib and its 1,3-cuneane isostere 190 [71]. aSolubility was too low to be measured. Partition coefficient (logP), intrinsic clearance in human liver microsomes (CLint), half-life in human liver microsomes (t1/2).
Figure 27: Comparative physicochemical data of sonidegib and its 1,3-cuneane isostere 190 [71]. aSolubility was to...
Related polysubstituted scaffolds
Apart from the discussed disubstituted scaffolds, a wide variety of different related tri- and polysubstituted scaffolds have been synthesised in the last few years, with the aim of providing more saturated and three-dimensional molecules for drug discovery. While many of them have not been explicitly suggested as potential isosteres for variously substituted benzenes, they are systems that widen accessible chemical space [73], have an increased number of stereogenic centres in accordance with Lovering's ‘Escape from Flatland’ approach [9], and could find application as alternatives to aromatic motifs in certain scenarios. Detailed discussion of their synthesis exceeds the goal of this review but a number of pertinent examples will be highlighted (Figure 28).
Figure 28: Exemplary polysubstituted scaffolds related to disubstituted scaffolds suggested as isosteres of ortho- or meta-benzene.
Figure 28: Exemplary polysubstituted scaffolds related to disubstituted scaffolds suggested as isosteres of or...
Bridge-substituted trisubstituted BCPs are potentially powerful building blocks offering unique substituent geometries for medicinal chemistry. A limited number of routes are available to these structures. Qin and co-workers employed an intramolecular coupling of sulfonylhydrazones and boronates to access 1,2,3-trisubstituted BCPs (1,2,3-BCPs). They also showed that their method can be extended to the synthesis of different bicyclic systems [41]. The synthesis of bridge mono-fluorinated 1,2,3,-BCPs by carbene insertion into bicyclobutane was reported in 2022 by Bychek and Mykhailiuk [74]. Previously the same group had also reported the synthesis of BCPs containing a difluorinated bridge by CF2 carbene insertion into bicyclobutanes [75]. More recently Davies and co-worker reported the one-pot synthesis of bridge difluorinated BCPs from α-allyldiazoacetates. In their reaction sequence, intramolecular cyclopropanation first forms the bicyclobutane which is then subjected to CF2 carbene insertion to yield the BCP [76]. Another useful pathway to 1,2,3-BCPs is strain release functionalisation as was shown by Molander and co-workers [77]. The synthesis of bridge heteroaryl 1,2,3-BCPs by a decarboxylative Minisci reaction was reported by Poole and co-workers [68]. The previously discussed C–H activation reported by MacMillan and co-workers (Scheme 2) was used to access a wide number of 1,2,3-BCPs [33]. A wide variety of 1,2,3-BCPs bearing substituents in the bridge position were reported by Measom and co-workers in their study on the lithium–halogen exchange of 2-bromo-1,2,3-BCPs [78].
Larger bridged bicyclic structures such as bicyclo[2.1.1]hexane offer multiple different exit vectors for substituents. It is therefore unsurprising that the number of methods seeking to access these has increased in recent times. In 2022 Brown and co-workers reported a strain release [2π + 2σ] cycloaddition induced by triplet energy transfer for the synthesis of 1,2,4-BCHs and 1,2,5-BCHs [38]. Some earlier examples of 1,2,4-trisubstituted BCHs were synthesised by Cairncross and Blanchard in 1966 by strain release [2π + 2σ] cycloaddition of bicyclobutane and alkenes [56]. Intramolecular crossed [2 + 2] cycloaddition frequently employed to access disubstituted BCHs is a useful tool in the synthesis of polysubstituted BCHs, as shown by Walker and co-workers in their synthesis of tri- and polysubstituted BCHs. These include 1,2,4-BCH 191, which they described as a saturated analogue of fendizoic acid [34]. The previously discussed samarium-catalysed synthesis of BCHs (Scheme 3) reported by Procter and co-workers was also employed for the synthesis of 1,2,4-BCHs [35]. Heterocycle-substituted BCHs were accessed by [2π + 2σ] photocycloaddition by Glorius and co-workers [79] and Houk, Glorius and co-workers [80]. This reactivity was enabled by triplet energy transfer catalysis activating the heterocyclic substrate. Employing Lewis acid catalysis Deng and co-workers reported an alternative pathway to indole-derived BCHs. Polysubstituted BCHs were accessed by nucleophilic addition of the indole to the activated bicyclobutane followed by a Mannich cyclisation [81]. The synthesis of wide variety of tri- and tetrasubstituted BCHs was recently reported by Shi and co-workers [82]. They employed Hantzsch esters as catalysts in the [2π + 2σ] cycloaddition of alkenes and bicyclobutanes. The synthesis of bicyclohexyl ketones by formal (3 + 2) cycloaddition of bicyclobutane and ketenes was recently reported by Studer and co-workers [83]. Fluorine-substituted trisubstitued BCHs were accessed by Mykhailiuk and co-workers by photocatalysed intramolecular crossed [2 + 2] cycloaddition [36].
Glorius and co-workers also investigated the synthesis of polysubstituted 2-oxa-BCHs. Trisubstituted 2-oxa-BCHs were shown to be accessible by Lewis acid-catalysed cyclisation of bicyclobutanes with aldehydes [84] and polysubstituted 2-oxa-BCHs bearing more complex substitution patterns were synthesised by triplet energy transfer catalysis from benzoylformate esters and bicyclobutanes [85].
Reports of polysubstituted scaffolds larger than BCH are relatively rare. The synthesis of trisubstituted BCHeps has been reported by Molander and co-workers and Li and co-workers. Molander and co-workers accessed the BCHep scaffold by a photoinduced cycloaddition of bicyclobutanes and cyclopropylamines [86]. Li and co-workers recently reported the synthesis of polysubstituted BCHeps bearing a wide range of different substitution patterns. Their synthesis utilises boronyl radicals generated from diboron compounds by a pyridine cocatalyst to induce the [2σ + 2σ] cycloaddition of cyclopropanes and bicyclobutanes [87]. Similarly densely substituted BCHeps were synthesised by Waser and co-workers by photoinduced [2σ + 2σ] cycloaddition of bicyclobutanes and cyclopropanes [88].
Conclusion
The last years have seen major progress in the development of new bioisosteres for ortho- and meta-benzenes, with a number of different options now available for both substrate classes. The range of synthetic approaches used also provides access to a variety of functional group handles on the bioisosteric scaffold, which should aid their adoption in drug discovery programmes. In some cases, the geometric similarity between bioisostere and benzene is less than ideal, particularly with regard to the dihedral angle between substituent exit vectors. Although in most cases the physicochemical properties of the isosteric compounds are nonetheless improved, with improved aqueous solubility, metabolic stability, and distribution often observed, the scarcity of data relating to biological activity for some isosteres makes a thorough assessment of their ability as bioisosteres, and the importance of the discrepancy in dihedral angle, difficult. More data in this direction would clearly be valuable to the field going forward. There is also clear potential in modifying the bioisosteric structure further, as exemplified by the inclusion of oxygen atoms in the BCH-derived bioisosteres [48,58]. The preparation of fluorinated scaffolds [34] potentially provides opportunities to further fine-tune lipophilicity of the drug candidate, as has already been explored for BCP-based para-benzene bioisosteres [75,89,90]. One final point to consider is the significant synthetic work required to prepare many of the discussed bioisosteres. Simple, scalable, routes to general building blocks, along the lines of the strain-release reactivity of [3.1.1]propellanes to BCHep meta-benzene bioisosteres, would represent a considerable contribution and aid adoption of these structures in the future.
Data Availability Statement
Data sharing is not applicable as no new data was generated or analyzed in this study.
References
-
Brown, N.; Mannhold, R.; Kubinyi, H.; Folkers, G., Eds. Bioisosteres in Medicinal Chemistry, 1st ed.; Wiley-VCH: Weinheim, Germany, 2012.
Return to citation in text: [1] -
Bredael, K.; Geurs, S.; Clarisse, D.; De Bosscher, K.; D’hooghe, M. J. Chem. 2022, 1–21. doi:10.1155/2022/2164558
Return to citation in text: [1] -
Zou, Y.; Liu, L.; Liu, J.; Liu, G. Future Med. Chem. 2020, 12, 91–93. doi:10.4155/fmc-2019-0288
Return to citation in text: [1] -
Duncton, M. A. J.; Murray, R. B.; Park, G.; Singh, R. Org. Biomol. Chem. 2016, 14, 9343–9347. doi:10.1039/c6ob01646d
Return to citation in text: [1] -
Lassalas, P.; Gay, B.; Lasfargeas, C.; James, M. J.; Tran, V.; Vijayendran, K. G.; Brunden, K. R.; Kozlowski, M. C.; Thomas, C. J.; Smith, A. B., III; Huryn, D. M.; Ballatore, C. J. Med. Chem. 2016, 59, 3183–3203. doi:10.1021/acs.jmedchem.5b01963
Return to citation in text: [1] -
Richardson, P. Expert Opin. Drug Discovery 2021, 16, 1261–1286. doi:10.1080/17460441.2021.1933427
Return to citation in text: [1] -
Meanwell, N. A. J. Med. Chem. 2018, 61, 5822–5880. doi:10.1021/acs.jmedchem.7b01788
Return to citation in text: [1] -
Lee, C. J. J.; Shibata, N.; Wiley, M. J.; Wells, P. G. Toxicol. Sci. 2011, 122, 157–169. doi:10.1093/toxsci/kfr086
Return to citation in text: [1] -
Lovering, F.; Bikker, J.; Humblet, C. J. Med. Chem. 2009, 52, 6752–6756. doi:10.1021/jm901241e
Return to citation in text: [1] [2] -
Lovering, F. Med. Chem. Commun. 2013, 4, 515. doi:10.1039/c2md20347b
Return to citation in text: [1] -
Subbaiah, M. A. M.; Meanwell, N. A. J. Med. Chem. 2021, 64, 14046–14128. doi:10.1021/acs.jmedchem.1c01215
Return to citation in text: [1] [2] -
Sodano, T. M.; Combee, L. A.; Stephenson, C. R. J. ACS Med. Chem. Lett. 2020, 11, 1785–1788. doi:10.1021/acsmedchemlett.9b00687
Return to citation in text: [1] -
Tse, E. G.; Houston, S. D.; Williams, C. M.; Savage, G. P.; Rendina, L. M.; Hallyburton, I.; Anderson, M.; Sharma, R.; Walker, G. S.; Obach, R. S.; Todd, M. H. J. Med. Chem. 2020, 63, 11585–11601. doi:10.1021/acs.jmedchem.0c00746
Return to citation in text: [1] [2] -
Mykhailiuk, P. K. Org. Biomol. Chem. 2019, 17, 2839–2849. doi:10.1039/c8ob02812e
Return to citation in text: [1] [2] [3] [4] [5] [6] [7] [8] [9] [10] [11] [12] [13] [14] -
Ritchie, T. J.; Macdonald, S. J. F. Eur. J. Med. Chem. 2016, 124, 1057–1068. doi:10.1016/j.ejmech.2016.10.029
Return to citation in text: [1] -
Duan, J.; Dhar, T. M.; Jiang, B.; Lu, Z.; Xiao, H.-Y. Pyrrolidinyl Sulfone Derivatives and their use as ROR Gamma Modulators. PCT Patent PCT/US2015/010089, Jan 5, 2015.
Return to citation in text: [1] [2] -
Reekie, T. A.; Williams, C. M.; Rendina, L. M.; Kassiou, M. J. Med. Chem. 2019, 62, 1078–1095. doi:10.1021/acs.jmedchem.8b00888
Return to citation in text: [1] -
Dragovich, P. S.; Prins, T. J.; Zhou, R.; Johnson, T. O.; Hua, Y.; Luu, H. T.; Sakata, S. K.; Brown, E. L.; Maldonado, F. C.; Tuntland, T.; Lee, C. A.; Fuhrman, S. A.; Zalman, L. S.; Patick, A. K.; Matthews, D. A.; Wu, E. Y.; Guo, M.; Borer, B. C.; Nayyar, N. K.; Moran, T.; Chen, L.; Rejto, P. A.; Rose, P. W.; Guzman, M. C.; Dovalsantos, E. Z.; Lee, S.; McGee, K.; Mohajeri, M.; Liese, A.; Tao, J.; Kosa, M. B.; Liu, B.; Batugo, M. R.; Gleeson, J.-P. R.; Wu, Z. P.; Liu, J.; Meador, J. W.; Ferre, R. A. J. Med. Chem. 2003, 46, 4572–4585. doi:10.1021/jm030166l
Return to citation in text: [1] -
Fischer, C.; Bogen, S. L.; Childers, M. L.; Llinas, F. X. F.; Ellis, J. M.; Esposite, S.; Hoffman, D. M.; Huang, C.; Kattar, S.; Kim, A. J.; Lampe, J. W. Novel Tricyclic Compounds as Inhibitors of Mutant IDH Enzymes. PCT Patent PCT/US2015/063127, Dec 1, 2015.
Return to citation in text: [1] [2] -
Sidrauski, C.; Pliushchev, M.; Frost, J. M.; Black, L. A.; Xu, X.; Sweis, R. F.; Shi, L.; Zhang, Q.; Tong, Y.; Hutchins, C. W.; Chung, S.; Dart, M. J. Modulators of the Integrated Stress Pathway. PCT Patent PCT/US2017/031352, May 5, 2017.
Return to citation in text: [1] [2] -
Turkowska, J.; Durka, J.; Gryko, D. Chem. Commun. 2020, 56, 5718–5734. doi:10.1039/d0cc01771j
Return to citation in text: [1] -
Ma, X.; Nhat Pham, L. Asian J. Org. Chem. 2020, 9, 8–22. doi:10.1002/ajoc.201900589
Return to citation in text: [1] -
Kanazawa, J.; Uchiyama, M. Synlett 2019, 30, 1–11. doi:10.1055/s-0037-1610314
Return to citation in text: [1] -
Measom, N. D.; Down, K. D.; Hirst, D. J.; Jamieson, C.; Manas, E. S.; Patel, V. K.; Somers, D. O. ACS Med. Chem. Lett. 2017, 8, 43–48. doi:10.1021/acsmedchemlett.6b00281
Return to citation in text: [1] -
Grygorenko, O. O.; Demenko, D.; Volochnyuk, D. M.; Komarov, I. V. New J. Chem. 2018, 42, 8355–8365. doi:10.1039/c7nj05015a
Return to citation in text: [1] -
Zhao, J.-X.; Chang, Y.-X.; He, C.; Burke, B. J.; Collins, M. R.; Del Bel, M.; Elleraas, J.; Gallego, G. M.; Montgomery, T. P.; Mousseau, J. J.; Nair, S. K.; Perry, M. A.; Spangler, J. E.; Vantourout, J. C.; Baran, P. S. Proc. Natl. Acad. Sci. U. S. A. 2021, 118, e2108881118. doi:10.1073/pnas.2108881118
Return to citation in text: [1] [2] [3] [4] [5] [6] [7] [8] [9] [10] -
Frank, N.; Nugent, J.; Shire, B. R.; Pickford, H. D.; Rabe, P.; Sterling, A. J.; Zarganes-Tzitzikas, T.; Grimes, T.; Thompson, A. L.; Smith, R. C.; Schofield, C. J.; Brennan, P. E.; Duarte, F.; Anderson, E. A. Nature 2022, 611, 721–726. doi:10.1038/s41586-022-05290-z
Return to citation in text: [1] [2] [3] [4] [5] [6] [7] [8] [9] [10] [11] [12] [13] [14] [15] [16] [17] [18] -
Klopsch, R.; Schlüter, A.-D. Tetrahedron 1995, 51, 10491–10496. doi:10.1016/0040-4020(95)00628-l
Return to citation in text: [1] -
Ma, X.; Han, Y.; Bennett, D. J. Org. Lett. 2020, 22, 9133–9138. doi:10.1021/acs.orglett.0c03612
Return to citation in text: [1] [2] -
Kennedy, S. H.; Dherange, B. D.; Berger, K. J.; Levin, M. D. Nature 2021, 593, 223–227. doi:10.1038/s41586-021-03448-9
Return to citation in text: [1] -
N-(benzyloxy)-1-[4-(trifluoromethyl)phenyl]formamido 2,2-dimethylpropanoate | EnamineStore. https://www.enaminestore.com/catalog/EN300-33050767 (accessed March 14, 2024).
Return to citation in text: [1] -
Wright, B. A.; Matviitsuk, A.; Black, M. J.; García-Reynaga, P.; Hanna, L. E.; Herrmann, A. T.; Ameriks, M. K.; Sarpong, R.; Lebold, T. P. J. Am. Chem. Soc. 2023, 145, 10960–10966. doi:10.1021/jacs.3c02616
Return to citation in text: [1] [2] -
Garry, O. L.; Heilmann, M.; Chen, J.; Liang, Y.; Zhang, X.; Ma, X.; Yeung, C. S.; Bennett, D. J.; MacMillan, D. W. C. J. Am. Chem. Soc. 2023, 145, 3092–3100. doi:10.1021/jacs.2c12163
Return to citation in text: [1] [2] [3] [4] [5] -
Reinhold, M.; Steinebach, J.; Golz, C.; Walker, J. C. L. Chem. Sci. 2023, 14, 9885–9891. doi:10.1039/d3sc03083k
Return to citation in text: [1] [2] [3] [4] [5] [6] [7] [8] [9] [10] [11] [12] [13] -
Agasti, S.; Beltran, F.; Pye, E.; Kaltsoyannis, N.; Crisenza, G. E. M.; Procter, D. J. Nat. Chem. 2023, 15, 535–541. doi:10.1038/s41557-023-01135-y
Return to citation in text: [1] [2] [3] [4] [5] [6] -
Denisenko, A.; Garbuz, P.; Makovetska, Y.; Shablykin, O.; Lesyk, D.; Al-Maali, G.; Korzh, R.; Sadkova, I. V.; Mykhailiuk, P. K. Chem. Sci. 2023, 14, 14092–14099. doi:10.1039/d3sc05121h
Return to citation in text: [1] [2] [3] [4] [5] [6] [7] [8] -
Golfmann, M.; Walker, J. C. L. Commun. Chem. 2023, 6, 9. doi:10.1038/s42004-022-00811-3
Return to citation in text: [1] -
Guo, R.; Chang, Y.-C.; Herter, L.; Salome, C.; Braley, S. E.; Fessard, T. C.; Brown, M. K. J. Am. Chem. Soc. 2022, 144, 7988–7994. doi:10.1021/jacs.2c02976
Return to citation in text: [1] [2] [3] [4] [5] -
Liu, Y.; Lin, S.; Li, Y.; Xue, J.-H.; Li, Q.; Wang, H. ACS Catal. 2023, 13, 5096–5103. doi:10.1021/acscatal.3c00305
Return to citation in text: [1] -
Herter, L.; Koutsopetras, I.; Turelli, L.; Fessard, T.; Salomé, C. Org. Biomol. Chem. 2022, 20, 9108–9111. doi:10.1039/d2ob01669a
Return to citation in text: [1] [2] [3] [4] -
Yang, Y.; Tsien, J.; Hughes, J. M. E.; Peters, B. K.; Merchant, R. R.; Qin, T. Nat. Chem. 2021, 13, 950–955. doi:10.1038/s41557-021-00786-z
Return to citation in text: [1] [2] [3] -
Denisenko, A.; Garbuz, P.; Shishkina, S. V.; Voloshchuk, N. M.; Mykhailiuk, P. K. Angew. Chem., Int. Ed. 2020, 59, 20515–20521. doi:10.1002/anie.202004183
Return to citation in text: [1] [2] [3] [4] [5] [6] [7] [8] [9] [10] [11] -
Hsu, C.-W.; Lu, Y.-T.; Lin, C.-P.; Yoo, W.-J. Adv. Synth. Catal. 2023, 365, 3082–3087. doi:10.1002/adsc.202300743
Return to citation in text: [1] [2] -
Simmons, H. E.; Smith, R. D. J. Am. Chem. Soc. 1958, 80, 5323–5324. doi:10.1021/ja01552a080
Return to citation in text: [1] -
Denisenko, A.; Garbuz, P.; Voloshchuk, N. M.; Holota, Y.; Al-Maali, G.; Borysko, P.; Mykhailiuk, P. K. Nat. Chem. 2023, 15, 1155–1163. doi:10.1038/s41557-023-01222-0
Return to citation in text: [1] [2] [3] [4] [5] [6] [7] [8] [9] [10] [11] [12] [13] [14] [15] -
Harmata, A. S.; Spiller, T. E.; Sowden, M. J.; Stephenson, C. R. J. J. Am. Chem. Soc. 2021, 143, 21223–21228. doi:10.1021/jacs.1c10541
Return to citation in text: [1] [2] [3] [4] [5] [6] [7] -
Iida, T.; Kanazawa, J.; Matsunaga, T.; Miyamoto, K.; Hirano, K.; Uchiyama, M. J. Am. Chem. Soc. 2022, 144, 21848–21852. doi:10.1021/jacs.2c09733
Return to citation in text: [1] [2] [3] [4] [5] [6] [7] [8] [9] [10] -
Smyrnov, O. K.; Melnykov, K. P.; Rusanov, E. B.; Suikov, S. Y.; Pashenko, O. E.; Fokin, A. A.; Volochnyuk, D. M.; Ryabukhin, S. V. Chem. – Eur. J. 2023, 29, e202302454. doi:10.1002/chem.202302454
Return to citation in text: [1] [2] [3] [4] [5] [6] -
Rheingold, A. L. CCDC 844328: Experimental Crystal Structure Determination. 2011; https://www.ccdc.cam.ac.uk/structures/search?id=doi:10.5517/ccxbld6&sid=DataCite. doi:10.5517/ccxbld6
Return to citation in text: [1] [2] -
Camps, P.; Luque, F. J.; Orozco, M.; Pérez, F.; Vázquez, S. Tetrahedron Lett. 1996, 37, 8605–8608. doi:10.1016/0040-4039(96)01967-3
Return to citation in text: [1] -
Wiesenfeldt, M. P.; Rossi-Ashton, J. A.; Perry, I. B.; Diesel, J.; Garry, O. L.; Bartels, F.; Coote, S. C.; Ma, X.; Yeung, C. S.; Bennett, D. J.; MacMillan, D. W. C. Nature 2023, 618, 513–518. doi:10.1038/s41586-023-06021-8
Return to citation in text: [1] [2] [3] [4] [5] [6] [7] [8] [9] [10] [11] [12] [13] [14] [15] [16] -
Eaton, P. E. Angew. Chem., Int. Ed. Engl. 1992, 31, 1421–1436. doi:10.1002/anie.199214211
Return to citation in text: [1] [2] [3] -
Eaton, P. E.; Cole, T. W. J. Am. Chem. Soc. 1964, 86, 3157–3158. doi:10.1021/ja01069a041
Return to citation in text: [1] -
Kassiou, M.; Coster, M.; Gunosewoyo, H. Polycyclic Molecular Compounds. PCT Patent PCT/AU2007/001857, Nov 30, 2007.
Return to citation in text: [1] [2] -
Rigotti, T.; Bach, T. Org. Lett. 2022, 24, 8821–8825. doi:10.1021/acs.orglett.2c03606
Return to citation in text: [1] [2] [3] [4] -
Cairncross, A.; Blanchard, E. P., Jr. J. Am. Chem. Soc. 1966, 88, 496–504. doi:10.1021/ja00955a021
Return to citation in text: [1] [2] -
Yu, I. F.; Manske, J. L.; Diéguez-Vázquez, A.; Misale, A.; Pashenko, A. E.; Mykhailiuk, P. K.; Ryabukhin, S. V.; Volochnyuk, D. M.; Hartwig, J. F. Nat. Chem. 2023, 15, 685–693. doi:10.1038/s41557-023-01159-4
Return to citation in text: [1] [2] [3] -
Levterov, V. V.; Panasyuk, Y.; Pivnytska, V. O.; Mykhailiuk, P. K. Angew. Chem., Int. Ed. 2020, 59, 7161–7167. doi:10.1002/anie.202000548
Return to citation in text: [1] [2] [3] [4] [5] [6] [7] [8] [9] -
Homon, A. A.; Hryshchuk, O. V.; Mykhailenko, O. V.; Vashchenko, B. V.; Melnykov, K. P.; Michurin, O. M.; Daniliuc, C. G.; Gerus, I. I.; Kovtunenko, V. O.; Kondratov, I. S.; Grygorenko, O. O. Eur. J. Org. Chem. 2021, 6580–6590. doi:10.1002/ejoc.202100414
Return to citation in text: [1] [2] -
Pickford, H. D.; Ripenko, V.; McNamee, R. E.; Holovchuk, S.; Thompson, A. L.; Smith, R. C.; Mykhailiuk, P. K.; Anderson, E. A. Angew. Chem., Int. Ed. 2023, 62, e202213508. doi:10.1002/anie.202213508
Return to citation in text: [1] [2] [3] -
Gassman, P. G.; Proehl, G. S. J. Am. Chem. Soc. 1980, 102, 6862–6863. doi:10.1021/ja00542a040
Return to citation in text: [1] [2] [3] -
Warner, P. M.; Chen, B.-L.; Wada, E. J. Org. Chem. 1981, 46, 4795–4797. doi:10.1021/jo00336a038
Return to citation in text: [1] -
Epplin, R. C.; Paul, S.; Herter, L.; Salome, C.; Hancock, E. N.; Larrow, J. F.; Baum, E. W.; Dunstan, D. R.; Ginsburg-Moraff, C.; Fessard, T. C.; Brown, M. K. Nat. Commun. 2022, 13, 6056. doi:10.1038/s41467-022-33827-3
Return to citation in text: [1] [2] [3] [4] [5] [6] [7] [8] [9] [10] -
Kazi, N.; Aublette, M. C.; Allinson, S. L.; Coote, S. C. Chem. Commun. 2023, 59, 7971–7973. doi:10.1039/d3cc02164e
Return to citation in text: [1] [2] [3] [4] [5] -
Nigo, T.; Hasegawa, T.; Kuwatani, Y.; Ueda, I. Bull. Chem. Soc. Jpn. 1993, 66, 2068–2072. doi:10.1246/bcsj.66.2068
Return to citation in text: [1] -
Wharton, P.; Bohlen, D. J. Org. Chem. 1961, 26, 3615–3616. doi:10.1021/jo01067a117
Return to citation in text: [1] -
Kuk, K.; Taylor-Cousar, J. L. Ther. Adv. Respir. Dis. 2015, 9, 313–326. doi:10.1177/1753465815601934
Return to citation in text: [1] -
Anderson, J. M.; Measom, N. D.; Murphy, J. A.; Poole, D. L. Org. Lett. 2023, 25, 2053–2057. doi:10.1021/acs.orglett.3c00412
Return to citation in text: [1] [2] -
Eaton, P. E.; Cassar, L.; Halpern, J. J. Am. Chem. Soc. 1970, 92, 6366–6368. doi:10.1021/ja00724a061
Return to citation in text: [1] [2] -
Son, J.-Y.; Aikonen, S.; Morgan, N.; Harmata, A. S.; Sabatini, J. J.; Sausa, R. C.; Byrd, E. F. C.; Ess, D. H.; Paton, R. S.; Stephenson, C. R. J. J. Am. Chem. Soc. 2023, 145, 16355–16364. doi:10.1021/jacs.3c03226
Return to citation in text: [1] [2] [3] [4] [5] -
Smith, E.; Jones, K. D.; O’Brien, L.; Argent, S. P.; Salome, C.; Lefebvre, Q.; Valery, A.; Böcü, M.; Newton, G. N.; Lam, H. W. J. Am. Chem. Soc. 2023, 145, 16365–16373. doi:10.1021/jacs.3c03207
Return to citation in text: [1] [2] [3] [4] [5] [6] [7] -
Fujiwara, K.; Nagasawa, S.; Maeyama, R.; Segawa, R.; Hirasawa, N.; Hirokawa, T.; Iwabuchi, Y. Chem. – Eur. J. 2024, 30, e202303548. doi:10.1002/chem.202303548
Return to citation in text: [1] [2] [3] [4] [5] [6] [7] -
Burke, M. D.; Schreiber, S. L. Angew. Chem., Int. Ed. 2004, 43, 46–58. doi:10.1002/anie.200300626
Return to citation in text: [1] -
Bychek, R.; Mykhailiuk, P. K. Angew. Chem., Int. Ed. 2022, 61, e202205103. doi:10.1002/anie.202205103
Return to citation in text: [1] -
Bychek, R. M.; Hutskalova, V.; Bas, Y. P.; Zaporozhets, O. A.; Zozulya, S.; Levterov, V. V.; Mykhailiuk, P. K. J. Org. Chem. 2019, 84, 15106–15117. doi:10.1021/acs.joc.9b01947
Return to citation in text: [1] [2] -
Sharland, J. C.; Davies, H. M. L. Org. Lett. 2023, 25, 5214–5219. doi:10.1021/acs.orglett.3c01664
Return to citation in text: [1] -
Dong, W.; Yen-Pon, E.; Li, L.; Bhattacharjee, A.; Jolit, A.; Molander, G. A. Nat. Chem. 2022, 14, 1068–1077. doi:10.1038/s41557-022-00979-0
Return to citation in text: [1] -
Anderson, J. M.; Poole, D. L.; Cook, G. C.; Murphy, J. A.; Measom, N. D. Chem. – Eur. J. 2024, 30, e202304070. doi:10.1002/chem.202304070
Return to citation in text: [1] -
Kleinmans, R.; Pinkert, T.; Dutta, S.; Paulisch, T. O.; Keum, H.; Daniliuc, C. G.; Glorius, F. Nature 2022, 605, 477–482. doi:10.1038/s41586-022-04636-x
Return to citation in text: [1] -
Kleinmans, R.; Dutta, S.; Ozols, K.; Shao, H.; Schäfer, F.; Thielemann, R. E.; Chan, H. T.; Daniliuc, C. G.; Houk, K. N.; Glorius, F. J. Am. Chem. Soc. 2023, 145, 12324–12332. doi:10.1021/jacs.3c02961
Return to citation in text: [1] -
Ni, D.; Hu, S.; Tan, X.; Yu, Y.; Li, Z.; Deng, L. Angew. Chem., Int. Ed. 2023, e202308606. doi:10.1002/anie.202308606
Return to citation in text: [1] -
Yan, H.; Liu, Y.; Feng, X.; Shi, L. Org. Lett. 2023, 25, 8116–8120. doi:10.1021/acs.orglett.3c03222
Return to citation in text: [1] -
Radhoff, N.; Daniliuc, C. G.; Studer, A. Angew. Chem., Int. Ed. 2023, 62, e202304771. doi:10.1002/anie.202304771
Return to citation in text: [1] -
Liang, Y.; Paulus, F.; Daniliuc, C. G.; Glorius, F. Angew. Chem., Int. Ed. 2023, 62, e202305043. doi:10.1002/anie.202305043
Return to citation in text: [1] -
Liang, Y.; Kleinmans, R.; Daniliuc, C. G.; Glorius, F. J. Am. Chem. Soc. 2022, 144, 20207–20213. doi:10.1021/jacs.2c09248
Return to citation in text: [1] -
Zheng, Y.; Huang, W.; Dhungana, R. K.; Granados, A.; Keess, S.; Makvandi, M.; Molander, G. A. J. Am. Chem. Soc. 2022, 144, 23685–23690. doi:10.1021/jacs.2c11501
Return to citation in text: [1] -
Yu, T.; Yang, J.; Wang, Z.; Ding, Z.; Xu, M.; Wen, J.; Xu, L.; Li, P. J. Am. Chem. Soc. 2023, 145, 4304–4310. doi:10.1021/jacs.2c13740
Return to citation in text: [1] -
Nguyen, T. V. T.; Bossonnet, A.; Wodrich, M. D.; Waser, J. J. Am. Chem. Soc. 2023, 145, 25411–25421. doi:10.1021/jacs.3c09789
Return to citation in text: [1] -
Ma, X.; Sloman, D. L.; Han, Y.; Bennett, D. J. Org. Lett. 2019, 21, 7199–7203. doi:10.1021/acs.orglett.9b02026
Return to citation in text: [1] -
Ma, X.; Pinto, W.; Pham, L. N.; Sloman, D. L.; Han, Y. Eur. J. Org. Chem. 2020, 4581–4605. doi:10.1002/ejoc.202000679
Return to citation in text: [1]
| 45. | Denisenko, A.; Garbuz, P.; Voloshchuk, N. M.; Holota, Y.; Al-Maali, G.; Borysko, P.; Mykhailiuk, P. K. Nat. Chem. 2023, 15, 1155–1163. doi:10.1038/s41557-023-01222-0 |
| 45. | Denisenko, A.; Garbuz, P.; Voloshchuk, N. M.; Holota, Y.; Al-Maali, G.; Borysko, P.; Mykhailiuk, P. K. Nat. Chem. 2023, 15, 1155–1163. doi:10.1038/s41557-023-01222-0 |
| 42. | Denisenko, A.; Garbuz, P.; Shishkina, S. V.; Voloshchuk, N. M.; Mykhailiuk, P. K. Angew. Chem., Int. Ed. 2020, 59, 20515–20521. doi:10.1002/anie.202004183 |
| 43. | Hsu, C.-W.; Lu, Y.-T.; Lin, C.-P.; Yoo, W.-J. Adv. Synth. Catal. 2023, 365, 3082–3087. doi:10.1002/adsc.202300743 |
| 51. | Wiesenfeldt, M. P.; Rossi-Ashton, J. A.; Perry, I. B.; Diesel, J.; Garry, O. L.; Bartels, F.; Coote, S. C.; Ma, X.; Yeung, C. S.; Bennett, D. J.; MacMillan, D. W. C. Nature 2023, 618, 513–518. doi:10.1038/s41586-023-06021-8 |
| 42. | Denisenko, A.; Garbuz, P.; Shishkina, S. V.; Voloshchuk, N. M.; Mykhailiuk, P. K. Angew. Chem., Int. Ed. 2020, 59, 20515–20521. doi:10.1002/anie.202004183 |
| 14. | Mykhailiuk, P. K. Org. Biomol. Chem. 2019, 17, 2839–2849. doi:10.1039/c8ob02812e |
| 51. | Wiesenfeldt, M. P.; Rossi-Ashton, J. A.; Perry, I. B.; Diesel, J.; Garry, O. L.; Bartels, F.; Coote, S. C.; Ma, X.; Yeung, C. S.; Bennett, D. J.; MacMillan, D. W. C. Nature 2023, 618, 513–518. doi:10.1038/s41586-023-06021-8 |
| 14. | Mykhailiuk, P. K. Org. Biomol. Chem. 2019, 17, 2839–2849. doi:10.1039/c8ob02812e |
| 51. | Wiesenfeldt, M. P.; Rossi-Ashton, J. A.; Perry, I. B.; Diesel, J.; Garry, O. L.; Bartels, F.; Coote, S. C.; Ma, X.; Yeung, C. S.; Bennett, D. J.; MacMillan, D. W. C. Nature 2023, 618, 513–518. doi:10.1038/s41586-023-06021-8 |
| 42. | Denisenko, A.; Garbuz, P.; Shishkina, S. V.; Voloshchuk, N. M.; Mykhailiuk, P. K. Angew. Chem., Int. Ed. 2020, 59, 20515–20521. doi:10.1002/anie.202004183 |
| 52. | Eaton, P. E. Angew. Chem., Int. Ed. Engl. 1992, 31, 1421–1436. doi:10.1002/anie.199214211 |
| 51. | Wiesenfeldt, M. P.; Rossi-Ashton, J. A.; Perry, I. B.; Diesel, J.; Garry, O. L.; Bartels, F.; Coote, S. C.; Ma, X.; Yeung, C. S.; Bennett, D. J.; MacMillan, D. W. C. Nature 2023, 618, 513–518. doi:10.1038/s41586-023-06021-8 |
| 45. | Denisenko, A.; Garbuz, P.; Voloshchuk, N. M.; Holota, Y.; Al-Maali, G.; Borysko, P.; Mykhailiuk, P. K. Nat. Chem. 2023, 15, 1155–1163. doi:10.1038/s41557-023-01222-0 |
| 63. | Epplin, R. C.; Paul, S.; Herter, L.; Salome, C.; Hancock, E. N.; Larrow, J. F.; Baum, E. W.; Dunstan, D. R.; Ginsburg-Moraff, C.; Fessard, T. C.; Brown, M. K. Nat. Commun. 2022, 13, 6056. doi:10.1038/s41467-022-33827-3 |
| 45. | Denisenko, A.; Garbuz, P.; Voloshchuk, N. M.; Holota, Y.; Al-Maali, G.; Borysko, P.; Mykhailiuk, P. K. Nat. Chem. 2023, 15, 1155–1163. doi:10.1038/s41557-023-01222-0 |
| 63. | Epplin, R. C.; Paul, S.; Herter, L.; Salome, C.; Hancock, E. N.; Larrow, J. F.; Baum, E. W.; Dunstan, D. R.; Ginsburg-Moraff, C.; Fessard, T. C.; Brown, M. K. Nat. Commun. 2022, 13, 6056. doi:10.1038/s41467-022-33827-3 |
| 45. | Denisenko, A.; Garbuz, P.; Voloshchuk, N. M.; Holota, Y.; Al-Maali, G.; Borysko, P.; Mykhailiuk, P. K. Nat. Chem. 2023, 15, 1155–1163. doi:10.1038/s41557-023-01222-0 |
| 63. | Epplin, R. C.; Paul, S.; Herter, L.; Salome, C.; Hancock, E. N.; Larrow, J. F.; Baum, E. W.; Dunstan, D. R.; Ginsburg-Moraff, C.; Fessard, T. C.; Brown, M. K. Nat. Commun. 2022, 13, 6056. doi:10.1038/s41467-022-33827-3 |
| 45. | Denisenko, A.; Garbuz, P.; Voloshchuk, N. M.; Holota, Y.; Al-Maali, G.; Borysko, P.; Mykhailiuk, P. K. Nat. Chem. 2023, 15, 1155–1163. doi:10.1038/s41557-023-01222-0 |
| 63. | Epplin, R. C.; Paul, S.; Herter, L.; Salome, C.; Hancock, E. N.; Larrow, J. F.; Baum, E. W.; Dunstan, D. R.; Ginsburg-Moraff, C.; Fessard, T. C.; Brown, M. K. Nat. Commun. 2022, 13, 6056. doi:10.1038/s41467-022-33827-3 |
| 51. | Wiesenfeldt, M. P.; Rossi-Ashton, J. A.; Perry, I. B.; Diesel, J.; Garry, O. L.; Bartels, F.; Coote, S. C.; Ma, X.; Yeung, C. S.; Bennett, D. J.; MacMillan, D. W. C. Nature 2023, 618, 513–518. doi:10.1038/s41586-023-06021-8 |
| 45. | Denisenko, A.; Garbuz, P.; Voloshchuk, N. M.; Holota, Y.; Al-Maali, G.; Borysko, P.; Mykhailiuk, P. K. Nat. Chem. 2023, 15, 1155–1163. doi:10.1038/s41557-023-01222-0 |
| 45. | Denisenko, A.; Garbuz, P.; Voloshchuk, N. M.; Holota, Y.; Al-Maali, G.; Borysko, P.; Mykhailiuk, P. K. Nat. Chem. 2023, 15, 1155–1163. doi:10.1038/s41557-023-01222-0 |
| 45. | Denisenko, A.; Garbuz, P.; Voloshchuk, N. M.; Holota, Y.; Al-Maali, G.; Borysko, P.; Mykhailiuk, P. K. Nat. Chem. 2023, 15, 1155–1163. doi:10.1038/s41557-023-01222-0 |
| 45. | Denisenko, A.; Garbuz, P.; Voloshchuk, N. M.; Holota, Y.; Al-Maali, G.; Borysko, P.; Mykhailiuk, P. K. Nat. Chem. 2023, 15, 1155–1163. doi:10.1038/s41557-023-01222-0 |
| 42. | Denisenko, A.; Garbuz, P.; Shishkina, S. V.; Voloshchuk, N. M.; Mykhailiuk, P. K. Angew. Chem., Int. Ed. 2020, 59, 20515–20521. doi:10.1002/anie.202004183 |
| 45. | Denisenko, A.; Garbuz, P.; Voloshchuk, N. M.; Holota, Y.; Al-Maali, G.; Borysko, P.; Mykhailiuk, P. K. Nat. Chem. 2023, 15, 1155–1163. doi:10.1038/s41557-023-01222-0 |
| 45. | Denisenko, A.; Garbuz, P.; Voloshchuk, N. M.; Holota, Y.; Al-Maali, G.; Borysko, P.; Mykhailiuk, P. K. Nat. Chem. 2023, 15, 1155–1163. doi:10.1038/s41557-023-01222-0 |
| 64. | Kazi, N.; Aublette, M. C.; Allinson, S. L.; Coote, S. C. Chem. Commun. 2023, 59, 7971–7973. doi:10.1039/d3cc02164e |
| 65. | Nigo, T.; Hasegawa, T.; Kuwatani, Y.; Ueda, I. Bull. Chem. Soc. Jpn. 1993, 66, 2068–2072. doi:10.1246/bcsj.66.2068 |
| 64. | Kazi, N.; Aublette, M. C.; Allinson, S. L.; Coote, S. C. Chem. Commun. 2023, 59, 7971–7973. doi:10.1039/d3cc02164e |
| 64. | Kazi, N.; Aublette, M. C.; Allinson, S. L.; Coote, S. C. Chem. Commun. 2023, 59, 7971–7973. doi:10.1039/d3cc02164e |
| 66. | Wharton, P.; Bohlen, D. J. Org. Chem. 1961, 26, 3615–3616. doi:10.1021/jo01067a117 |
| 45. | Denisenko, A.; Garbuz, P.; Voloshchuk, N. M.; Holota, Y.; Al-Maali, G.; Borysko, P.; Mykhailiuk, P. K. Nat. Chem. 2023, 15, 1155–1163. doi:10.1038/s41557-023-01222-0 |
| 51. | Wiesenfeldt, M. P.; Rossi-Ashton, J. A.; Perry, I. B.; Diesel, J.; Garry, O. L.; Bartels, F.; Coote, S. C.; Ma, X.; Yeung, C. S.; Bennett, D. J.; MacMillan, D. W. C. Nature 2023, 618, 513–518. doi:10.1038/s41586-023-06021-8 |
| 14. | Mykhailiuk, P. K. Org. Biomol. Chem. 2019, 17, 2839–2849. doi:10.1039/c8ob02812e |
| 27. | Frank, N.; Nugent, J.; Shire, B. R.; Pickford, H. D.; Rabe, P.; Sterling, A. J.; Zarganes-Tzitzikas, T.; Grimes, T.; Thompson, A. L.; Smith, R. C.; Schofield, C. J.; Brennan, P. E.; Duarte, F.; Anderson, E. A. Nature 2022, 611, 721–726. doi:10.1038/s41586-022-05290-z |
| 46. | Harmata, A. S.; Spiller, T. E.; Sowden, M. J.; Stephenson, C. R. J. J. Am. Chem. Soc. 2021, 143, 21223–21228. doi:10.1021/jacs.1c10541 |
| 47. | Iida, T.; Kanazawa, J.; Matsunaga, T.; Miyamoto, K.; Hirano, K.; Uchiyama, M. J. Am. Chem. Soc. 2022, 144, 21848–21852. doi:10.1021/jacs.2c09733 |
| 51. | Wiesenfeldt, M. P.; Rossi-Ashton, J. A.; Perry, I. B.; Diesel, J.; Garry, O. L.; Bartels, F.; Coote, S. C.; Ma, X.; Yeung, C. S.; Bennett, D. J.; MacMillan, D. W. C. Nature 2023, 618, 513–518. doi:10.1038/s41586-023-06021-8 |
| 45. | Denisenko, A.; Garbuz, P.; Voloshchuk, N. M.; Holota, Y.; Al-Maali, G.; Borysko, P.; Mykhailiuk, P. K. Nat. Chem. 2023, 15, 1155–1163. doi:10.1038/s41557-023-01222-0 |
| 64. | Kazi, N.; Aublette, M. C.; Allinson, S. L.; Coote, S. C. Chem. Commun. 2023, 59, 7971–7973. doi:10.1039/d3cc02164e |
| 45. | Denisenko, A.; Garbuz, P.; Voloshchuk, N. M.; Holota, Y.; Al-Maali, G.; Borysko, P.; Mykhailiuk, P. K. Nat. Chem. 2023, 15, 1155–1163. doi:10.1038/s41557-023-01222-0 |
| 64. | Kazi, N.; Aublette, M. C.; Allinson, S. L.; Coote, S. C. Chem. Commun. 2023, 59, 7971–7973. doi:10.1039/d3cc02164e |
| 51. | Wiesenfeldt, M. P.; Rossi-Ashton, J. A.; Perry, I. B.; Diesel, J.; Garry, O. L.; Bartels, F.; Coote, S. C.; Ma, X.; Yeung, C. S.; Bennett, D. J.; MacMillan, D. W. C. Nature 2023, 618, 513–518. doi:10.1038/s41586-023-06021-8 |
| 67. | Kuk, K.; Taylor-Cousar, J. L. Ther. Adv. Respir. Dis. 2015, 9, 313–326. doi:10.1177/1753465815601934 |
| 40. | Herter, L.; Koutsopetras, I.; Turelli, L.; Fessard, T.; Salomé, C. Org. Biomol. Chem. 2022, 20, 9108–9111. doi:10.1039/d2ob01669a |
| 40. | Herter, L.; Koutsopetras, I.; Turelli, L.; Fessard, T.; Salomé, C. Org. Biomol. Chem. 2022, 20, 9108–9111. doi:10.1039/d2ob01669a |
| 40. | Herter, L.; Koutsopetras, I.; Turelli, L.; Fessard, T.; Salomé, C. Org. Biomol. Chem. 2022, 20, 9108–9111. doi:10.1039/d2ob01669a |
| 36. | Denisenko, A.; Garbuz, P.; Makovetska, Y.; Shablykin, O.; Lesyk, D.; Al-Maali, G.; Korzh, R.; Sadkova, I. V.; Mykhailiuk, P. K. Chem. Sci. 2023, 14, 14092–14099. doi:10.1039/d3sc05121h |
| 70. | Son, J.-Y.; Aikonen, S.; Morgan, N.; Harmata, A. S.; Sabatini, J. J.; Sausa, R. C.; Byrd, E. F. C.; Ess, D. H.; Paton, R. S.; Stephenson, C. R. J. J. Am. Chem. Soc. 2023, 145, 16355–16364. doi:10.1021/jacs.3c03226 |
| 71. | Smith, E.; Jones, K. D.; O’Brien, L.; Argent, S. P.; Salome, C.; Lefebvre, Q.; Valery, A.; Böcü, M.; Newton, G. N.; Lam, H. W. J. Am. Chem. Soc. 2023, 145, 16365–16373. doi:10.1021/jacs.3c03207 |
| 72. | Fujiwara, K.; Nagasawa, S.; Maeyama, R.; Segawa, R.; Hirasawa, N.; Hirokawa, T.; Iwabuchi, Y. Chem. – Eur. J. 2024, 30, e202303548. doi:10.1002/chem.202303548 |
| 70. | Son, J.-Y.; Aikonen, S.; Morgan, N.; Harmata, A. S.; Sabatini, J. J.; Sausa, R. C.; Byrd, E. F. C.; Ess, D. H.; Paton, R. S.; Stephenson, C. R. J. J. Am. Chem. Soc. 2023, 145, 16355–16364. doi:10.1021/jacs.3c03226 |
| 71. | Smith, E.; Jones, K. D.; O’Brien, L.; Argent, S. P.; Salome, C.; Lefebvre, Q.; Valery, A.; Böcü, M.; Newton, G. N.; Lam, H. W. J. Am. Chem. Soc. 2023, 145, 16365–16373. doi:10.1021/jacs.3c03207 |
| 72. | Fujiwara, K.; Nagasawa, S.; Maeyama, R.; Segawa, R.; Hirasawa, N.; Hirokawa, T.; Iwabuchi, Y. Chem. – Eur. J. 2024, 30, e202303548. doi:10.1002/chem.202303548 |
| 36. | Denisenko, A.; Garbuz, P.; Makovetska, Y.; Shablykin, O.; Lesyk, D.; Al-Maali, G.; Korzh, R.; Sadkova, I. V.; Mykhailiuk, P. K. Chem. Sci. 2023, 14, 14092–14099. doi:10.1039/d3sc05121h |
| 70. | Son, J.-Y.; Aikonen, S.; Morgan, N.; Harmata, A. S.; Sabatini, J. J.; Sausa, R. C.; Byrd, E. F. C.; Ess, D. H.; Paton, R. S.; Stephenson, C. R. J. J. Am. Chem. Soc. 2023, 145, 16355–16364. doi:10.1021/jacs.3c03226 |
| 71. | Smith, E.; Jones, K. D.; O’Brien, L.; Argent, S. P.; Salome, C.; Lefebvre, Q.; Valery, A.; Böcü, M.; Newton, G. N.; Lam, H. W. J. Am. Chem. Soc. 2023, 145, 16365–16373. doi:10.1021/jacs.3c03207 |
| 72. | Fujiwara, K.; Nagasawa, S.; Maeyama, R.; Segawa, R.; Hirasawa, N.; Hirokawa, T.; Iwabuchi, Y. Chem. – Eur. J. 2024, 30, e202303548. doi:10.1002/chem.202303548 |
| 36. | Denisenko, A.; Garbuz, P.; Makovetska, Y.; Shablykin, O.; Lesyk, D.; Al-Maali, G.; Korzh, R.; Sadkova, I. V.; Mykhailiuk, P. K. Chem. Sci. 2023, 14, 14092–14099. doi:10.1039/d3sc05121h |
| 69. | Eaton, P. E.; Cassar, L.; Halpern, J. J. Am. Chem. Soc. 1970, 92, 6366–6368. doi:10.1021/ja00724a061 |
| 36. | Denisenko, A.; Garbuz, P.; Makovetska, Y.; Shablykin, O.; Lesyk, D.; Al-Maali, G.; Korzh, R.; Sadkova, I. V.; Mykhailiuk, P. K. Chem. Sci. 2023, 14, 14092–14099. doi:10.1039/d3sc05121h |
| 51. | Wiesenfeldt, M. P.; Rossi-Ashton, J. A.; Perry, I. B.; Diesel, J.; Garry, O. L.; Bartels, F.; Coote, S. C.; Ma, X.; Yeung, C. S.; Bennett, D. J.; MacMillan, D. W. C. Nature 2023, 618, 513–518. doi:10.1038/s41586-023-06021-8 |
| 41. | Yang, Y.; Tsien, J.; Hughes, J. M. E.; Peters, B. K.; Merchant, R. R.; Qin, T. Nat. Chem. 2021, 13, 950–955. doi:10.1038/s41557-021-00786-z |
| 68. | Anderson, J. M.; Measom, N. D.; Murphy, J. A.; Poole, D. L. Org. Lett. 2023, 25, 2053–2057. doi:10.1021/acs.orglett.3c00412 |
| 40. | Herter, L.; Koutsopetras, I.; Turelli, L.; Fessard, T.; Salomé, C. Org. Biomol. Chem. 2022, 20, 9108–9111. doi:10.1039/d2ob01669a |
| 70. | Son, J.-Y.; Aikonen, S.; Morgan, N.; Harmata, A. S.; Sabatini, J. J.; Sausa, R. C.; Byrd, E. F. C.; Ess, D. H.; Paton, R. S.; Stephenson, C. R. J. J. Am. Chem. Soc. 2023, 145, 16355–16364. doi:10.1021/jacs.3c03226 |
| 36. | Denisenko, A.; Garbuz, P.; Makovetska, Y.; Shablykin, O.; Lesyk, D.; Al-Maali, G.; Korzh, R.; Sadkova, I. V.; Mykhailiuk, P. K. Chem. Sci. 2023, 14, 14092–14099. doi:10.1039/d3sc05121h |
| 69. | Eaton, P. E.; Cassar, L.; Halpern, J. J. Am. Chem. Soc. 1970, 92, 6366–6368. doi:10.1021/ja00724a061 |
| 42. | Denisenko, A.; Garbuz, P.; Shishkina, S. V.; Voloshchuk, N. M.; Mykhailiuk, P. K. Angew. Chem., Int. Ed. 2020, 59, 20515–20521. doi:10.1002/anie.202004183 |
| 42. | Denisenko, A.; Garbuz, P.; Shishkina, S. V.; Voloshchuk, N. M.; Mykhailiuk, P. K. Angew. Chem., Int. Ed. 2020, 59, 20515–20521. doi:10.1002/anie.202004183 |
| 36. | Denisenko, A.; Garbuz, P.; Makovetska, Y.; Shablykin, O.; Lesyk, D.; Al-Maali, G.; Korzh, R.; Sadkova, I. V.; Mykhailiuk, P. K. Chem. Sci. 2023, 14, 14092–14099. doi:10.1039/d3sc05121h |
| 42. | Denisenko, A.; Garbuz, P.; Shishkina, S. V.; Voloshchuk, N. M.; Mykhailiuk, P. K. Angew. Chem., Int. Ed. 2020, 59, 20515–20521. doi:10.1002/anie.202004183 |
| 44. | Simmons, H. E.; Smith, R. D. J. Am. Chem. Soc. 1958, 80, 5323–5324. doi:10.1021/ja01552a080 |
| 42. | Denisenko, A.; Garbuz, P.; Shishkina, S. V.; Voloshchuk, N. M.; Mykhailiuk, P. K. Angew. Chem., Int. Ed. 2020, 59, 20515–20521. doi:10.1002/anie.202004183 |
| 42. | Denisenko, A.; Garbuz, P.; Shishkina, S. V.; Voloshchuk, N. M.; Mykhailiuk, P. K. Angew. Chem., Int. Ed. 2020, 59, 20515–20521. doi:10.1002/anie.202004183 |
| 43. | Hsu, C.-W.; Lu, Y.-T.; Lin, C.-P.; Yoo, W.-J. Adv. Synth. Catal. 2023, 365, 3082–3087. doi:10.1002/adsc.202300743 |
| 42. | Denisenko, A.; Garbuz, P.; Shishkina, S. V.; Voloshchuk, N. M.; Mykhailiuk, P. K. Angew. Chem., Int. Ed. 2020, 59, 20515–20521. doi:10.1002/anie.202004183 |
| 42. | Denisenko, A.; Garbuz, P.; Shishkina, S. V.; Voloshchuk, N. M.; Mykhailiuk, P. K. Angew. Chem., Int. Ed. 2020, 59, 20515–20521. doi:10.1002/anie.202004183 |
| 58. | Levterov, V. V.; Panasyuk, Y.; Pivnytska, V. O.; Mykhailiuk, P. K. Angew. Chem., Int. Ed. 2020, 59, 7161–7167. doi:10.1002/anie.202000548 |
| 57. | Yu, I. F.; Manske, J. L.; Diéguez-Vázquez, A.; Misale, A.; Pashenko, A. E.; Mykhailiuk, P. K.; Ryabukhin, S. V.; Volochnyuk, D. M.; Hartwig, J. F. Nat. Chem. 2023, 15, 685–693. doi:10.1038/s41557-023-01159-4 |
| 58. | Levterov, V. V.; Panasyuk, Y.; Pivnytska, V. O.; Mykhailiuk, P. K. Angew. Chem., Int. Ed. 2020, 59, 7161–7167. doi:10.1002/anie.202000548 |
| 59. | Homon, A. A.; Hryshchuk, O. V.; Mykhailenko, O. V.; Vashchenko, B. V.; Melnykov, K. P.; Michurin, O. M.; Daniliuc, C. G.; Gerus, I. I.; Kovtunenko, V. O.; Kondratov, I. S.; Grygorenko, O. O. Eur. J. Org. Chem. 2021, 6580–6590. doi:10.1002/ejoc.202100414 |
| 58. | Levterov, V. V.; Panasyuk, Y.; Pivnytska, V. O.; Mykhailiuk, P. K. Angew. Chem., Int. Ed. 2020, 59, 7161–7167. doi:10.1002/anie.202000548 |
| 57. | Yu, I. F.; Manske, J. L.; Diéguez-Vázquez, A.; Misale, A.; Pashenko, A. E.; Mykhailiuk, P. K.; Ryabukhin, S. V.; Volochnyuk, D. M.; Hartwig, J. F. Nat. Chem. 2023, 15, 685–693. doi:10.1038/s41557-023-01159-4 |
| 58. | Levterov, V. V.; Panasyuk, Y.; Pivnytska, V. O.; Mykhailiuk, P. K. Angew. Chem., Int. Ed. 2020, 59, 7161–7167. doi:10.1002/anie.202000548 |
| 58. | Levterov, V. V.; Panasyuk, Y.; Pivnytska, V. O.; Mykhailiuk, P. K. Angew. Chem., Int. Ed. 2020, 59, 7161–7167. doi:10.1002/anie.202000548 |
| 58. | Levterov, V. V.; Panasyuk, Y.; Pivnytska, V. O.; Mykhailiuk, P. K. Angew. Chem., Int. Ed. 2020, 59, 7161–7167. doi:10.1002/anie.202000548 |
| 59. | Homon, A. A.; Hryshchuk, O. V.; Mykhailenko, O. V.; Vashchenko, B. V.; Melnykov, K. P.; Michurin, O. M.; Daniliuc, C. G.; Gerus, I. I.; Kovtunenko, V. O.; Kondratov, I. S.; Grygorenko, O. O. Eur. J. Org. Chem. 2021, 6580–6590. doi:10.1002/ejoc.202100414 |
| 58. | Levterov, V. V.; Panasyuk, Y.; Pivnytska, V. O.; Mykhailiuk, P. K. Angew. Chem., Int. Ed. 2020, 59, 7161–7167. doi:10.1002/anie.202000548 |
| 47. | Iida, T.; Kanazawa, J.; Matsunaga, T.; Miyamoto, K.; Hirano, K.; Uchiyama, M. J. Am. Chem. Soc. 2022, 144, 21848–21852. doi:10.1021/jacs.2c09733 |
| 61. | Gassman, P. G.; Proehl, G. S. J. Am. Chem. Soc. 1980, 102, 6862–6863. doi:10.1021/ja00542a040 |
| 14. | Mykhailiuk, P. K. Org. Biomol. Chem. 2019, 17, 2839–2849. doi:10.1039/c8ob02812e |
| 27. | Frank, N.; Nugent, J.; Shire, B. R.; Pickford, H. D.; Rabe, P.; Sterling, A. J.; Zarganes-Tzitzikas, T.; Grimes, T.; Thompson, A. L.; Smith, R. C.; Schofield, C. J.; Brennan, P. E.; Duarte, F.; Anderson, E. A. Nature 2022, 611, 721–726. doi:10.1038/s41586-022-05290-z |
| 61. | Gassman, P. G.; Proehl, G. S. J. Am. Chem. Soc. 1980, 102, 6862–6863. doi:10.1021/ja00542a040 |
| 62. | Warner, P. M.; Chen, B.-L.; Wada, E. J. Org. Chem. 1981, 46, 4795–4797. doi:10.1021/jo00336a038 |
| 14. | Mykhailiuk, P. K. Org. Biomol. Chem. 2019, 17, 2839–2849. doi:10.1039/c8ob02812e |
| 27. | Frank, N.; Nugent, J.; Shire, B. R.; Pickford, H. D.; Rabe, P.; Sterling, A. J.; Zarganes-Tzitzikas, T.; Grimes, T.; Thompson, A. L.; Smith, R. C.; Schofield, C. J.; Brennan, P. E.; Duarte, F.; Anderson, E. A. Nature 2022, 611, 721–726. doi:10.1038/s41586-022-05290-z |
| 47. | Iida, T.; Kanazawa, J.; Matsunaga, T.; Miyamoto, K.; Hirano, K.; Uchiyama, M. J. Am. Chem. Soc. 2022, 144, 21848–21852. doi:10.1021/jacs.2c09733 |
| 60. | Pickford, H. D.; Ripenko, V.; McNamee, R. E.; Holovchuk, S.; Thompson, A. L.; Smith, R. C.; Mykhailiuk, P. K.; Anderson, E. A. Angew. Chem., Int. Ed. 2023, 62, e202213508. doi:10.1002/anie.202213508 |
| 46. | Harmata, A. S.; Spiller, T. E.; Sowden, M. J.; Stephenson, C. R. J. J. Am. Chem. Soc. 2021, 143, 21223–21228. doi:10.1021/jacs.1c10541 |
| 14. | Mykhailiuk, P. K. Org. Biomol. Chem. 2019, 17, 2839–2849. doi:10.1039/c8ob02812e |
| 27. | Frank, N.; Nugent, J.; Shire, B. R.; Pickford, H. D.; Rabe, P.; Sterling, A. J.; Zarganes-Tzitzikas, T.; Grimes, T.; Thompson, A. L.; Smith, R. C.; Schofield, C. J.; Brennan, P. E.; Duarte, F.; Anderson, E. A. Nature 2022, 611, 721–726. doi:10.1038/s41586-022-05290-z |
| 58. | Levterov, V. V.; Panasyuk, Y.; Pivnytska, V. O.; Mykhailiuk, P. K. Angew. Chem., Int. Ed. 2020, 59, 7161–7167. doi:10.1002/anie.202000548 |
| 48. | Smyrnov, O. K.; Melnykov, K. P.; Rusanov, E. B.; Suikov, S. Y.; Pashenko, O. E.; Fokin, A. A.; Volochnyuk, D. M.; Ryabukhin, S. V. Chem. – Eur. J. 2023, 29, e202302454. doi:10.1002/chem.202302454 |
| 48. | Smyrnov, O. K.; Melnykov, K. P.; Rusanov, E. B.; Suikov, S. Y.; Pashenko, O. E.; Fokin, A. A.; Volochnyuk, D. M.; Ryabukhin, S. V. Chem. – Eur. J. 2023, 29, e202302454. doi:10.1002/chem.202302454 |
| 49. | Rheingold, A. L. CCDC 844328: Experimental Crystal Structure Determination. 2011; https://www.ccdc.cam.ac.uk/structures/search?id=doi:10.5517/ccxbld6&sid=DataCite. doi:10.5517/ccxbld6 |
| 46. | Harmata, A. S.; Spiller, T. E.; Sowden, M. J.; Stephenson, C. R. J. J. Am. Chem. Soc. 2021, 143, 21223–21228. doi:10.1021/jacs.1c10541 |
| 46. | Harmata, A. S.; Spiller, T. E.; Sowden, M. J.; Stephenson, C. R. J. J. Am. Chem. Soc. 2021, 143, 21223–21228. doi:10.1021/jacs.1c10541 |
| 46. | Harmata, A. S.; Spiller, T. E.; Sowden, M. J.; Stephenson, C. R. J. J. Am. Chem. Soc. 2021, 143, 21223–21228. doi:10.1021/jacs.1c10541 |
| 27. | Frank, N.; Nugent, J.; Shire, B. R.; Pickford, H. D.; Rabe, P.; Sterling, A. J.; Zarganes-Tzitzikas, T.; Grimes, T.; Thompson, A. L.; Smith, R. C.; Schofield, C. J.; Brennan, P. E.; Duarte, F.; Anderson, E. A. Nature 2022, 611, 721–726. doi:10.1038/s41586-022-05290-z |
| 47. | Iida, T.; Kanazawa, J.; Matsunaga, T.; Miyamoto, K.; Hirano, K.; Uchiyama, M. J. Am. Chem. Soc. 2022, 144, 21848–21852. doi:10.1021/jacs.2c09733 |
| 46. | Harmata, A. S.; Spiller, T. E.; Sowden, M. J.; Stephenson, C. R. J. J. Am. Chem. Soc. 2021, 143, 21223–21228. doi:10.1021/jacs.1c10541 |
| 27. | Frank, N.; Nugent, J.; Shire, B. R.; Pickford, H. D.; Rabe, P.; Sterling, A. J.; Zarganes-Tzitzikas, T.; Grimes, T.; Thompson, A. L.; Smith, R. C.; Schofield, C. J.; Brennan, P. E.; Duarte, F.; Anderson, E. A. Nature 2022, 611, 721–726. doi:10.1038/s41586-022-05290-z |
| 47. | Iida, T.; Kanazawa, J.; Matsunaga, T.; Miyamoto, K.; Hirano, K.; Uchiyama, M. J. Am. Chem. Soc. 2022, 144, 21848–21852. doi:10.1021/jacs.2c09733 |
| 27. | Frank, N.; Nugent, J.; Shire, B. R.; Pickford, H. D.; Rabe, P.; Sterling, A. J.; Zarganes-Tzitzikas, T.; Grimes, T.; Thompson, A. L.; Smith, R. C.; Schofield, C. J.; Brennan, P. E.; Duarte, F.; Anderson, E. A. Nature 2022, 611, 721–726. doi:10.1038/s41586-022-05290-z |
| 47. | Iida, T.; Kanazawa, J.; Matsunaga, T.; Miyamoto, K.; Hirano, K.; Uchiyama, M. J. Am. Chem. Soc. 2022, 144, 21848–21852. doi:10.1021/jacs.2c09733 |
| 60. | Pickford, H. D.; Ripenko, V.; McNamee, R. E.; Holovchuk, S.; Thompson, A. L.; Smith, R. C.; Mykhailiuk, P. K.; Anderson, E. A. Angew. Chem., Int. Ed. 2023, 62, e202213508. doi:10.1002/anie.202213508 |
| 46. | Harmata, A. S.; Spiller, T. E.; Sowden, M. J.; Stephenson, C. R. J. J. Am. Chem. Soc. 2021, 143, 21223–21228. doi:10.1021/jacs.1c10541 |
| 27. | Frank, N.; Nugent, J.; Shire, B. R.; Pickford, H. D.; Rabe, P.; Sterling, A. J.; Zarganes-Tzitzikas, T.; Grimes, T.; Thompson, A. L.; Smith, R. C.; Schofield, C. J.; Brennan, P. E.; Duarte, F.; Anderson, E. A. Nature 2022, 611, 721–726. doi:10.1038/s41586-022-05290-z |
| 27. | Frank, N.; Nugent, J.; Shire, B. R.; Pickford, H. D.; Rabe, P.; Sterling, A. J.; Zarganes-Tzitzikas, T.; Grimes, T.; Thompson, A. L.; Smith, R. C.; Schofield, C. J.; Brennan, P. E.; Duarte, F.; Anderson, E. A. Nature 2022, 611, 721–726. doi:10.1038/s41586-022-05290-z |
| 47. | Iida, T.; Kanazawa, J.; Matsunaga, T.; Miyamoto, K.; Hirano, K.; Uchiyama, M. J. Am. Chem. Soc. 2022, 144, 21848–21852. doi:10.1021/jacs.2c09733 |
| 27. | Frank, N.; Nugent, J.; Shire, B. R.; Pickford, H. D.; Rabe, P.; Sterling, A. J.; Zarganes-Tzitzikas, T.; Grimes, T.; Thompson, A. L.; Smith, R. C.; Schofield, C. J.; Brennan, P. E.; Duarte, F.; Anderson, E. A. Nature 2022, 611, 721–726. doi:10.1038/s41586-022-05290-z |
| 47. | Iida, T.; Kanazawa, J.; Matsunaga, T.; Miyamoto, K.; Hirano, K.; Uchiyama, M. J. Am. Chem. Soc. 2022, 144, 21848–21852. doi:10.1021/jacs.2c09733 |
| 27. | Frank, N.; Nugent, J.; Shire, B. R.; Pickford, H. D.; Rabe, P.; Sterling, A. J.; Zarganes-Tzitzikas, T.; Grimes, T.; Thompson, A. L.; Smith, R. C.; Schofield, C. J.; Brennan, P. E.; Duarte, F.; Anderson, E. A. Nature 2022, 611, 721–726. doi:10.1038/s41586-022-05290-z |
| 47. | Iida, T.; Kanazawa, J.; Matsunaga, T.; Miyamoto, K.; Hirano, K.; Uchiyama, M. J. Am. Chem. Soc. 2022, 144, 21848–21852. doi:10.1021/jacs.2c09733 |
| 50. | Camps, P.; Luque, F. J.; Orozco, M.; Pérez, F.; Vázquez, S. Tetrahedron Lett. 1996, 37, 8605–8608. doi:10.1016/0040-4039(96)01967-3 |
| 49. | Rheingold, A. L. CCDC 844328: Experimental Crystal Structure Determination. 2011; https://www.ccdc.cam.ac.uk/structures/search?id=doi:10.5517/ccxbld6&sid=DataCite. doi:10.5517/ccxbld6 |
| 61. | Gassman, P. G.; Proehl, G. S. J. Am. Chem. Soc. 1980, 102, 6862–6863. doi:10.1021/ja00542a040 |
| 48. | Smyrnov, O. K.; Melnykov, K. P.; Rusanov, E. B.; Suikov, S. Y.; Pashenko, O. E.; Fokin, A. A.; Volochnyuk, D. M.; Ryabukhin, S. V. Chem. – Eur. J. 2023, 29, e202302454. doi:10.1002/chem.202302454 |
| 27. | Frank, N.; Nugent, J.; Shire, B. R.; Pickford, H. D.; Rabe, P.; Sterling, A. J.; Zarganes-Tzitzikas, T.; Grimes, T.; Thompson, A. L.; Smith, R. C.; Schofield, C. J.; Brennan, P. E.; Duarte, F.; Anderson, E. A. Nature 2022, 611, 721–726. doi:10.1038/s41586-022-05290-z |
| 63. | Epplin, R. C.; Paul, S.; Herter, L.; Salome, C.; Hancock, E. N.; Larrow, J. F.; Baum, E. W.; Dunstan, D. R.; Ginsburg-Moraff, C.; Fessard, T. C.; Brown, M. K. Nat. Commun. 2022, 13, 6056. doi:10.1038/s41467-022-33827-3 |
| 63. | Epplin, R. C.; Paul, S.; Herter, L.; Salome, C.; Hancock, E. N.; Larrow, J. F.; Baum, E. W.; Dunstan, D. R.; Ginsburg-Moraff, C.; Fessard, T. C.; Brown, M. K. Nat. Commun. 2022, 13, 6056. doi:10.1038/s41467-022-33827-3 |
| 63. | Epplin, R. C.; Paul, S.; Herter, L.; Salome, C.; Hancock, E. N.; Larrow, J. F.; Baum, E. W.; Dunstan, D. R.; Ginsburg-Moraff, C.; Fessard, T. C.; Brown, M. K. Nat. Commun. 2022, 13, 6056. doi:10.1038/s41467-022-33827-3 |
| 63. | Epplin, R. C.; Paul, S.; Herter, L.; Salome, C.; Hancock, E. N.; Larrow, J. F.; Baum, E. W.; Dunstan, D. R.; Ginsburg-Moraff, C.; Fessard, T. C.; Brown, M. K. Nat. Commun. 2022, 13, 6056. doi:10.1038/s41467-022-33827-3 |
| 27. | Frank, N.; Nugent, J.; Shire, B. R.; Pickford, H. D.; Rabe, P.; Sterling, A. J.; Zarganes-Tzitzikas, T.; Grimes, T.; Thompson, A. L.; Smith, R. C.; Schofield, C. J.; Brennan, P. E.; Duarte, F.; Anderson, E. A. Nature 2022, 611, 721–726. doi:10.1038/s41586-022-05290-z |
| 63. | Epplin, R. C.; Paul, S.; Herter, L.; Salome, C.; Hancock, E. N.; Larrow, J. F.; Baum, E. W.; Dunstan, D. R.; Ginsburg-Moraff, C.; Fessard, T. C.; Brown, M. K. Nat. Commun. 2022, 13, 6056. doi:10.1038/s41467-022-33827-3 |
| 63. | Epplin, R. C.; Paul, S.; Herter, L.; Salome, C.; Hancock, E. N.; Larrow, J. F.; Baum, E. W.; Dunstan, D. R.; Ginsburg-Moraff, C.; Fessard, T. C.; Brown, M. K. Nat. Commun. 2022, 13, 6056. doi:10.1038/s41467-022-33827-3 |
| 27. | Frank, N.; Nugent, J.; Shire, B. R.; Pickford, H. D.; Rabe, P.; Sterling, A. J.; Zarganes-Tzitzikas, T.; Grimes, T.; Thompson, A. L.; Smith, R. C.; Schofield, C. J.; Brennan, P. E.; Duarte, F.; Anderson, E. A. Nature 2022, 611, 721–726. doi:10.1038/s41586-022-05290-z |
| 27. | Frank, N.; Nugent, J.; Shire, B. R.; Pickford, H. D.; Rabe, P.; Sterling, A. J.; Zarganes-Tzitzikas, T.; Grimes, T.; Thompson, A. L.; Smith, R. C.; Schofield, C. J.; Brennan, P. E.; Duarte, F.; Anderson, E. A. Nature 2022, 611, 721–726. doi:10.1038/s41586-022-05290-z |
| 27. | Frank, N.; Nugent, J.; Shire, B. R.; Pickford, H. D.; Rabe, P.; Sterling, A. J.; Zarganes-Tzitzikas, T.; Grimes, T.; Thompson, A. L.; Smith, R. C.; Schofield, C. J.; Brennan, P. E.; Duarte, F.; Anderson, E. A. Nature 2022, 611, 721–726. doi:10.1038/s41586-022-05290-z |
| 47. | Iida, T.; Kanazawa, J.; Matsunaga, T.; Miyamoto, K.; Hirano, K.; Uchiyama, M. J. Am. Chem. Soc. 2022, 144, 21848–21852. doi:10.1021/jacs.2c09733 |
| 60. | Pickford, H. D.; Ripenko, V.; McNamee, R. E.; Holovchuk, S.; Thompson, A. L.; Smith, R. C.; Mykhailiuk, P. K.; Anderson, E. A. Angew. Chem., Int. Ed. 2023, 62, e202213508. doi:10.1002/anie.202213508 |
| 41. | Yang, Y.; Tsien, J.; Hughes, J. M. E.; Peters, B. K.; Merchant, R. R.; Qin, T. Nat. Chem. 2021, 13, 950–955. doi:10.1038/s41557-021-00786-z |
| 9. | Lovering, F.; Bikker, J.; Humblet, C. J. Med. Chem. 2009, 52, 6752–6756. doi:10.1021/jm901241e |
| 78. | Anderson, J. M.; Poole, D. L.; Cook, G. C.; Murphy, J. A.; Measom, N. D. Chem. – Eur. J. 2024, 30, e202304070. doi:10.1002/chem.202304070 |
| 33. | Garry, O. L.; Heilmann, M.; Chen, J.; Liang, Y.; Zhang, X.; Ma, X.; Yeung, C. S.; Bennett, D. J.; MacMillan, D. W. C. J. Am. Chem. Soc. 2023, 145, 3092–3100. doi:10.1021/jacs.2c12163 |
| 56. | Cairncross, A.; Blanchard, E. P., Jr. J. Am. Chem. Soc. 1966, 88, 496–504. doi:10.1021/ja00955a021 |
| 38. | Guo, R.; Chang, Y.-C.; Herter, L.; Salome, C.; Braley, S. E.; Fessard, T. C.; Brown, M. K. J. Am. Chem. Soc. 2022, 144, 7988–7994. doi:10.1021/jacs.2c02976 |
| 76. | Sharland, J. C.; Davies, H. M. L. Org. Lett. 2023, 25, 5214–5219. doi:10.1021/acs.orglett.3c01664 |
| 75. | Bychek, R. M.; Hutskalova, V.; Bas, Y. P.; Zaporozhets, O. A.; Zozulya, S.; Levterov, V. V.; Mykhailiuk, P. K. J. Org. Chem. 2019, 84, 15106–15117. doi:10.1021/acs.joc.9b01947 |
| 68. | Anderson, J. M.; Measom, N. D.; Murphy, J. A.; Poole, D. L. Org. Lett. 2023, 25, 2053–2057. doi:10.1021/acs.orglett.3c00412 |
| 77. | Dong, W.; Yen-Pon, E.; Li, L.; Bhattacharjee, A.; Jolit, A.; Molander, G. A. Nat. Chem. 2022, 14, 1068–1077. doi:10.1038/s41557-022-00979-0 |
| 74. | Bychek, R.; Mykhailiuk, P. K. Angew. Chem., Int. Ed. 2022, 61, e202205103. doi:10.1002/anie.202205103 |
| 34. | Reinhold, M.; Steinebach, J.; Golz, C.; Walker, J. C. L. Chem. Sci. 2023, 14, 9885–9891. doi:10.1039/d3sc03083k |
| 51. | Wiesenfeldt, M. P.; Rossi-Ashton, J. A.; Perry, I. B.; Diesel, J.; Garry, O. L.; Bartels, F.; Coote, S. C.; Ma, X.; Yeung, C. S.; Bennett, D. J.; MacMillan, D. W. C. Nature 2023, 618, 513–518. doi:10.1038/s41586-023-06021-8 |
| 84. | Liang, Y.; Paulus, F.; Daniliuc, C. G.; Glorius, F. Angew. Chem., Int. Ed. 2023, 62, e202305043. doi:10.1002/anie.202305043 |
| 14. | Mykhailiuk, P. K. Org. Biomol. Chem. 2019, 17, 2839–2849. doi:10.1039/c8ob02812e |
| 36. | Denisenko, A.; Garbuz, P.; Makovetska, Y.; Shablykin, O.; Lesyk, D.; Al-Maali, G.; Korzh, R.; Sadkova, I. V.; Mykhailiuk, P. K. Chem. Sci. 2023, 14, 14092–14099. doi:10.1039/d3sc05121h |
| 54. | Kassiou, M.; Coster, M.; Gunosewoyo, H. Polycyclic Molecular Compounds. PCT Patent PCT/AU2007/001857, Nov 30, 2007. |
| 86. | Zheng, Y.; Huang, W.; Dhungana, R. K.; Granados, A.; Keess, S.; Makvandi, M.; Molander, G. A. J. Am. Chem. Soc. 2022, 144, 23685–23690. doi:10.1021/jacs.2c11501 |
| 52. | Eaton, P. E. Angew. Chem., Int. Ed. Engl. 1992, 31, 1421–1436. doi:10.1002/anie.199214211 |
| 53. | Eaton, P. E.; Cole, T. W. J. Am. Chem. Soc. 1964, 86, 3157–3158. doi:10.1021/ja01069a041 |
| 85. | Liang, Y.; Kleinmans, R.; Daniliuc, C. G.; Glorius, F. J. Am. Chem. Soc. 2022, 144, 20207–20213. doi:10.1021/jacs.2c09248 |
| 14. | Mykhailiuk, P. K. Org. Biomol. Chem. 2019, 17, 2839–2849. doi:10.1039/c8ob02812e |
| 51. | Wiesenfeldt, M. P.; Rossi-Ashton, J. A.; Perry, I. B.; Diesel, J.; Garry, O. L.; Bartels, F.; Coote, S. C.; Ma, X.; Yeung, C. S.; Bennett, D. J.; MacMillan, D. W. C. Nature 2023, 618, 513–518. doi:10.1038/s41586-023-06021-8 |
| 81. | Ni, D.; Hu, S.; Tan, X.; Yu, Y.; Li, Z.; Deng, L. Angew. Chem., Int. Ed. 2023, e202308606. doi:10.1002/anie.202308606 |
| 48. | Smyrnov, O. K.; Melnykov, K. P.; Rusanov, E. B.; Suikov, S. Y.; Pashenko, O. E.; Fokin, A. A.; Volochnyuk, D. M.; Ryabukhin, S. V. Chem. – Eur. J. 2023, 29, e202302454. doi:10.1002/chem.202302454 |
| 80. | Kleinmans, R.; Dutta, S.; Ozols, K.; Shao, H.; Schäfer, F.; Thielemann, R. E.; Chan, H. T.; Daniliuc, C. G.; Houk, K. N.; Glorius, F. J. Am. Chem. Soc. 2023, 145, 12324–12332. doi:10.1021/jacs.3c02961 |
| 52. | Eaton, P. E. Angew. Chem., Int. Ed. Engl. 1992, 31, 1421–1436. doi:10.1002/anie.199214211 |
| 83. | Radhoff, N.; Daniliuc, C. G.; Studer, A. Angew. Chem., Int. Ed. 2023, 62, e202304771. doi:10.1002/anie.202304771 |
| 14. | Mykhailiuk, P. K. Org. Biomol. Chem. 2019, 17, 2839–2849. doi:10.1039/c8ob02812e |
| 51. | Wiesenfeldt, M. P.; Rossi-Ashton, J. A.; Perry, I. B.; Diesel, J.; Garry, O. L.; Bartels, F.; Coote, S. C.; Ma, X.; Yeung, C. S.; Bennett, D. J.; MacMillan, D. W. C. Nature 2023, 618, 513–518. doi:10.1038/s41586-023-06021-8 |
| 82. | Yan, H.; Liu, Y.; Feng, X.; Shi, L. Org. Lett. 2023, 25, 8116–8120. doi:10.1021/acs.orglett.3c03222 |
| 48. | Smyrnov, O. K.; Melnykov, K. P.; Rusanov, E. B.; Suikov, S. Y.; Pashenko, O. E.; Fokin, A. A.; Volochnyuk, D. M.; Ryabukhin, S. V. Chem. – Eur. J. 2023, 29, e202302454. doi:10.1002/chem.202302454 |
| 79. | Kleinmans, R.; Pinkert, T.; Dutta, S.; Paulisch, T. O.; Keum, H.; Daniliuc, C. G.; Glorius, F. Nature 2022, 605, 477–482. doi:10.1038/s41586-022-04636-x |
| 35. | Agasti, S.; Beltran, F.; Pye, E.; Kaltsoyannis, N.; Crisenza, G. E. M.; Procter, D. J. Nat. Chem. 2023, 15, 535–541. doi:10.1038/s41557-023-01135-y |
| 51. | Wiesenfeldt, M. P.; Rossi-Ashton, J. A.; Perry, I. B.; Diesel, J.; Garry, O. L.; Bartels, F.; Coote, S. C.; Ma, X.; Yeung, C. S.; Bennett, D. J.; MacMillan, D. W. C. Nature 2023, 618, 513–518. doi:10.1038/s41586-023-06021-8 |
| 34. | Reinhold, M.; Steinebach, J.; Golz, C.; Walker, J. C. L. Chem. Sci. 2023, 14, 9885–9891. doi:10.1039/d3sc03083k |
| 34. | Reinhold, M.; Steinebach, J.; Golz, C.; Walker, J. C. L. Chem. Sci. 2023, 14, 9885–9891. doi:10.1039/d3sc03083k |
| 14. | Mykhailiuk, P. K. Org. Biomol. Chem. 2019, 17, 2839–2849. doi:10.1039/c8ob02812e |
| 34. | Reinhold, M.; Steinebach, J.; Golz, C.; Walker, J. C. L. Chem. Sci. 2023, 14, 9885–9891. doi:10.1039/d3sc03083k |
| 1. | Brown, N.; Mannhold, R.; Kubinyi, H.; Folkers, G., Eds. Bioisosteres in Medicinal Chemistry, 1st ed.; Wiley-VCH: Weinheim, Germany, 2012. |
| 51. | Wiesenfeldt, M. P.; Rossi-Ashton, J. A.; Perry, I. B.; Diesel, J.; Garry, O. L.; Bartels, F.; Coote, S. C.; Ma, X.; Yeung, C. S.; Bennett, D. J.; MacMillan, D. W. C. Nature 2023, 618, 513–518. doi:10.1038/s41586-023-06021-8 |
| 75. | Bychek, R. M.; Hutskalova, V.; Bas, Y. P.; Zaporozhets, O. A.; Zozulya, S.; Levterov, V. V.; Mykhailiuk, P. K. J. Org. Chem. 2019, 84, 15106–15117. doi:10.1021/acs.joc.9b01947 |
| 89. | Ma, X.; Sloman, D. L.; Han, Y.; Bennett, D. J. Org. Lett. 2019, 21, 7199–7203. doi:10.1021/acs.orglett.9b02026 |
| 90. | Ma, X.; Pinto, W.; Pham, L. N.; Sloman, D. L.; Han, Y. Eur. J. Org. Chem. 2020, 4581–4605. doi:10.1002/ejoc.202000679 |
| 51. | Wiesenfeldt, M. P.; Rossi-Ashton, J. A.; Perry, I. B.; Diesel, J.; Garry, O. L.; Bartels, F.; Coote, S. C.; Ma, X.; Yeung, C. S.; Bennett, D. J.; MacMillan, D. W. C. Nature 2023, 618, 513–518. doi:10.1038/s41586-023-06021-8 |
| 34. | Reinhold, M.; Steinebach, J.; Golz, C.; Walker, J. C. L. Chem. Sci. 2023, 14, 9885–9891. doi:10.1039/d3sc03083k |
| 34. | Reinhold, M.; Steinebach, J.; Golz, C.; Walker, J. C. L. Chem. Sci. 2023, 14, 9885–9891. doi:10.1039/d3sc03083k |
| 14. | Mykhailiuk, P. K. Org. Biomol. Chem. 2019, 17, 2839–2849. doi:10.1039/c8ob02812e |
| 34. | Reinhold, M.; Steinebach, J.; Golz, C.; Walker, J. C. L. Chem. Sci. 2023, 14, 9885–9891. doi:10.1039/d3sc03083k |
| 9. | Lovering, F.; Bikker, J.; Humblet, C. J. Med. Chem. 2009, 52, 6752–6756. doi:10.1021/jm901241e |
| 10. | Lovering, F. Med. Chem. Commun. 2013, 4, 515. doi:10.1039/c2md20347b |
| 87. | Yu, T.; Yang, J.; Wang, Z.; Ding, Z.; Xu, M.; Wen, J.; Xu, L.; Li, P. J. Am. Chem. Soc. 2023, 145, 4304–4310. doi:10.1021/jacs.2c13740 |
| 8. | Lee, C. J. J.; Shibata, N.; Wiley, M. J.; Wells, P. G. Toxicol. Sci. 2011, 122, 157–169. doi:10.1093/toxsci/kfr086 |
| 6. | Richardson, P. Expert Opin. Drug Discovery 2021, 16, 1261–1286. doi:10.1080/17460441.2021.1933427 |
| 7. | Meanwell, N. A. J. Med. Chem. 2018, 61, 5822–5880. doi:10.1021/acs.jmedchem.7b01788 |
| 51. | Wiesenfeldt, M. P.; Rossi-Ashton, J. A.; Perry, I. B.; Diesel, J.; Garry, O. L.; Bartels, F.; Coote, S. C.; Ma, X.; Yeung, C. S.; Bennett, D. J.; MacMillan, D. W. C. Nature 2023, 618, 513–518. doi:10.1038/s41586-023-06021-8 |
| 48. | Smyrnov, O. K.; Melnykov, K. P.; Rusanov, E. B.; Suikov, S. Y.; Pashenko, O. E.; Fokin, A. A.; Volochnyuk, D. M.; Ryabukhin, S. V. Chem. – Eur. J. 2023, 29, e202302454. doi:10.1002/chem.202302454 |
| 58. | Levterov, V. V.; Panasyuk, Y.; Pivnytska, V. O.; Mykhailiuk, P. K. Angew. Chem., Int. Ed. 2020, 59, 7161–7167. doi:10.1002/anie.202000548 |
| 2. | Bredael, K.; Geurs, S.; Clarisse, D.; De Bosscher, K.; D’hooghe, M. J. Chem. 2022, 1–21. doi:10.1155/2022/2164558 |
| 3. | Zou, Y.; Liu, L.; Liu, J.; Liu, G. Future Med. Chem. 2020, 12, 91–93. doi:10.4155/fmc-2019-0288 |
| 4. | Duncton, M. A. J.; Murray, R. B.; Park, G.; Singh, R. Org. Biomol. Chem. 2016, 14, 9343–9347. doi:10.1039/c6ob01646d |
| 5. | Lassalas, P.; Gay, B.; Lasfargeas, C.; James, M. J.; Tran, V.; Vijayendran, K. G.; Brunden, K. R.; Kozlowski, M. C.; Thomas, C. J.; Smith, A. B., III; Huryn, D. M.; Ballatore, C. J. Med. Chem. 2016, 59, 3183–3203. doi:10.1021/acs.jmedchem.5b01963 |
| 54. | Kassiou, M.; Coster, M.; Gunosewoyo, H. Polycyclic Molecular Compounds. PCT Patent PCT/AU2007/001857, Nov 30, 2007. |
| 88. | Nguyen, T. V. T.; Bossonnet, A.; Wodrich, M. D.; Waser, J. J. Am. Chem. Soc. 2023, 145, 25411–25421. doi:10.1021/jacs.3c09789 |
| 18. | Dragovich, P. S.; Prins, T. J.; Zhou, R.; Johnson, T. O.; Hua, Y.; Luu, H. T.; Sakata, S. K.; Brown, E. L.; Maldonado, F. C.; Tuntland, T.; Lee, C. A.; Fuhrman, S. A.; Zalman, L. S.; Patick, A. K.; Matthews, D. A.; Wu, E. Y.; Guo, M.; Borer, B. C.; Nayyar, N. K.; Moran, T.; Chen, L.; Rejto, P. A.; Rose, P. W.; Guzman, M. C.; Dovalsantos, E. Z.; Lee, S.; McGee, K.; Mohajeri, M.; Liese, A.; Tao, J.; Kosa, M. B.; Liu, B.; Batugo, M. R.; Gleeson, J.-P. R.; Wu, Z. P.; Liu, J.; Meador, J. W.; Ferre, R. A. J. Med. Chem. 2003, 46, 4572–4585. doi:10.1021/jm030166l |
| 16. | Duan, J.; Dhar, T. M.; Jiang, B.; Lu, Z.; Xiao, H.-Y. Pyrrolidinyl Sulfone Derivatives and their use as ROR Gamma Modulators. PCT Patent PCT/US2015/010089, Jan 5, 2015. |
| 17. | Reekie, T. A.; Williams, C. M.; Rendina, L. M.; Kassiou, M. J. Med. Chem. 2019, 62, 1078–1095. doi:10.1021/acs.jmedchem.8b00888 |
| 11. | Subbaiah, M. A. M.; Meanwell, N. A. J. Med. Chem. 2021, 64, 14046–14128. doi:10.1021/acs.jmedchem.1c01215 |
| 13. | Tse, E. G.; Houston, S. D.; Williams, C. M.; Savage, G. P.; Rendina, L. M.; Hallyburton, I.; Anderson, M.; Sharma, R.; Walker, G. S.; Obach, R. S.; Todd, M. H. J. Med. Chem. 2020, 63, 11585–11601. doi:10.1021/acs.jmedchem.0c00746 |
| 15. | Ritchie, T. J.; Macdonald, S. J. F. Eur. J. Med. Chem. 2016, 124, 1057–1068. doi:10.1016/j.ejmech.2016.10.029 |
| 11. | Subbaiah, M. A. M.; Meanwell, N. A. J. Med. Chem. 2021, 64, 14046–14128. doi:10.1021/acs.jmedchem.1c01215 |
| 12. | Sodano, T. M.; Combee, L. A.; Stephenson, C. R. J. ACS Med. Chem. Lett. 2020, 11, 1785–1788. doi:10.1021/acsmedchemlett.9b00687 |
| 13. | Tse, E. G.; Houston, S. D.; Williams, C. M.; Savage, G. P.; Rendina, L. M.; Hallyburton, I.; Anderson, M.; Sharma, R.; Walker, G. S.; Obach, R. S.; Todd, M. H. J. Med. Chem. 2020, 63, 11585–11601. doi:10.1021/acs.jmedchem.0c00746 |
| 14. | Mykhailiuk, P. K. Org. Biomol. Chem. 2019, 17, 2839–2849. doi:10.1039/c8ob02812e |
| 57. | Yu, I. F.; Manske, J. L.; Diéguez-Vázquez, A.; Misale, A.; Pashenko, A. E.; Mykhailiuk, P. K.; Ryabukhin, S. V.; Volochnyuk, D. M.; Hartwig, J. F. Nat. Chem. 2023, 15, 685–693. doi:10.1038/s41557-023-01159-4 |
| 56. | Cairncross, A.; Blanchard, E. P., Jr. J. Am. Chem. Soc. 1966, 88, 496–504. doi:10.1021/ja00955a021 |
| 34. | Reinhold, M.; Steinebach, J.; Golz, C.; Walker, J. C. L. Chem. Sci. 2023, 14, 9885–9891. doi:10.1039/d3sc03083k |
| 55. | Rigotti, T.; Bach, T. Org. Lett. 2022, 24, 8821–8825. doi:10.1021/acs.orglett.2c03606 |
| 55. | Rigotti, T.; Bach, T. Org. Lett. 2022, 24, 8821–8825. doi:10.1021/acs.orglett.2c03606 |
| 41. | Yang, Y.; Tsien, J.; Hughes, J. M. E.; Peters, B. K.; Merchant, R. R.; Qin, T. Nat. Chem. 2021, 13, 950–955. doi:10.1038/s41557-021-00786-z |
| 55. | Rigotti, T.; Bach, T. Org. Lett. 2022, 24, 8821–8825. doi:10.1021/acs.orglett.2c03606 |
| 34. | Reinhold, M.; Steinebach, J.; Golz, C.; Walker, J. C. L. Chem. Sci. 2023, 14, 9885–9891. doi:10.1039/d3sc03083k |
| 55. | Rigotti, T.; Bach, T. Org. Lett. 2022, 24, 8821–8825. doi:10.1021/acs.orglett.2c03606 |
| 34. | Reinhold, M.; Steinebach, J.; Golz, C.; Walker, J. C. L. Chem. Sci. 2023, 14, 9885–9891. doi:10.1039/d3sc03083k |
| 26. | Zhao, J.-X.; Chang, Y.-X.; He, C.; Burke, B. J.; Collins, M. R.; Del Bel, M.; Elleraas, J.; Gallego, G. M.; Montgomery, T. P.; Mousseau, J. J.; Nair, S. K.; Perry, M. A.; Spangler, J. E.; Vantourout, J. C.; Baran, P. S. Proc. Natl. Acad. Sci. U. S. A. 2021, 118, e2108881118. doi:10.1073/pnas.2108881118 |
| 29. | Ma, X.; Han, Y.; Bennett, D. J. Org. Lett. 2020, 22, 9133–9138. doi:10.1021/acs.orglett.0c03612 |
| 30. | Kennedy, S. H.; Dherange, B. D.; Berger, K. J.; Levin, M. D. Nature 2021, 593, 223–227. doi:10.1038/s41586-021-03448-9 |
| 31. | N-(benzyloxy)-1-[4-(trifluoromethyl)phenyl]formamido 2,2-dimethylpropanoate | EnamineStore. https://www.enaminestore.com/catalog/EN300-33050767 (accessed March 14, 2024). |
| 34. | Reinhold, M.; Steinebach, J.; Golz, C.; Walker, J. C. L. Chem. Sci. 2023, 14, 9885–9891. doi:10.1039/d3sc03083k |
| 36. | Denisenko, A.; Garbuz, P.; Makovetska, Y.; Shablykin, O.; Lesyk, D.; Al-Maali, G.; Korzh, R.; Sadkova, I. V.; Mykhailiuk, P. K. Chem. Sci. 2023, 14, 14092–14099. doi:10.1039/d3sc05121h |
| 26. | Zhao, J.-X.; Chang, Y.-X.; He, C.; Burke, B. J.; Collins, M. R.; Del Bel, M.; Elleraas, J.; Gallego, G. M.; Montgomery, T. P.; Mousseau, J. J.; Nair, S. K.; Perry, M. A.; Spangler, J. E.; Vantourout, J. C.; Baran, P. S. Proc. Natl. Acad. Sci. U. S. A. 2021, 118, e2108881118. doi:10.1073/pnas.2108881118 |
| 33. | Garry, O. L.; Heilmann, M.; Chen, J.; Liang, Y.; Zhang, X.; Ma, X.; Yeung, C. S.; Bennett, D. J.; MacMillan, D. W. C. J. Am. Chem. Soc. 2023, 145, 3092–3100. doi:10.1021/jacs.2c12163 |
| 14. | Mykhailiuk, P. K. Org. Biomol. Chem. 2019, 17, 2839–2849. doi:10.1039/c8ob02812e |
| 34. | Reinhold, M.; Steinebach, J.; Golz, C.; Walker, J. C. L. Chem. Sci. 2023, 14, 9885–9891. doi:10.1039/d3sc03083k |
| 35. | Agasti, S.; Beltran, F.; Pye, E.; Kaltsoyannis, N.; Crisenza, G. E. M.; Procter, D. J. Nat. Chem. 2023, 15, 535–541. doi:10.1038/s41557-023-01135-y |
| 33. | Garry, O. L.; Heilmann, M.; Chen, J.; Liang, Y.; Zhang, X.; Ma, X.; Yeung, C. S.; Bennett, D. J.; MacMillan, D. W. C. J. Am. Chem. Soc. 2023, 145, 3092–3100. doi:10.1021/jacs.2c12163 |
| 26. | Zhao, J.-X.; Chang, Y.-X.; He, C.; Burke, B. J.; Collins, M. R.; Del Bel, M.; Elleraas, J.; Gallego, G. M.; Montgomery, T. P.; Mousseau, J. J.; Nair, S. K.; Perry, M. A.; Spangler, J. E.; Vantourout, J. C.; Baran, P. S. Proc. Natl. Acad. Sci. U. S. A. 2021, 118, e2108881118. doi:10.1073/pnas.2108881118 |
| 33. | Garry, O. L.; Heilmann, M.; Chen, J.; Liang, Y.; Zhang, X.; Ma, X.; Yeung, C. S.; Bennett, D. J.; MacMillan, D. W. C. J. Am. Chem. Soc. 2023, 145, 3092–3100. doi:10.1021/jacs.2c12163 |
| 32. | Wright, B. A.; Matviitsuk, A.; Black, M. J.; García-Reynaga, P.; Hanna, L. E.; Herrmann, A. T.; Ameriks, M. K.; Sarpong, R.; Lebold, T. P. J. Am. Chem. Soc. 2023, 145, 10960–10966. doi:10.1021/jacs.3c02616 |
| 33. | Garry, O. L.; Heilmann, M.; Chen, J.; Liang, Y.; Zhang, X.; Ma, X.; Yeung, C. S.; Bennett, D. J.; MacMillan, D. W. C. J. Am. Chem. Soc. 2023, 145, 3092–3100. doi:10.1021/jacs.2c12163 |
| 34. | Reinhold, M.; Steinebach, J.; Golz, C.; Walker, J. C. L. Chem. Sci. 2023, 14, 9885–9891. doi:10.1039/d3sc03083k |
| 37. | Golfmann, M.; Walker, J. C. L. Commun. Chem. 2023, 6, 9. doi:10.1038/s42004-022-00811-3 |
| 38. | Guo, R.; Chang, Y.-C.; Herter, L.; Salome, C.; Braley, S. E.; Fessard, T. C.; Brown, M. K. J. Am. Chem. Soc. 2022, 144, 7988–7994. doi:10.1021/jacs.2c02976 |
| 35. | Agasti, S.; Beltran, F.; Pye, E.; Kaltsoyannis, N.; Crisenza, G. E. M.; Procter, D. J. Nat. Chem. 2023, 15, 535–541. doi:10.1038/s41557-023-01135-y |
| 39. | Liu, Y.; Lin, S.; Li, Y.; Xue, J.-H.; Li, Q.; Wang, H. ACS Catal. 2023, 13, 5096–5103. doi:10.1021/acscatal.3c00305 |
| 35. | Agasti, S.; Beltran, F.; Pye, E.; Kaltsoyannis, N.; Crisenza, G. E. M.; Procter, D. J. Nat. Chem. 2023, 15, 535–541. doi:10.1038/s41557-023-01135-y |
| 35. | Agasti, S.; Beltran, F.; Pye, E.; Kaltsoyannis, N.; Crisenza, G. E. M.; Procter, D. J. Nat. Chem. 2023, 15, 535–541. doi:10.1038/s41557-023-01135-y |
| 38. | Guo, R.; Chang, Y.-C.; Herter, L.; Salome, C.; Braley, S. E.; Fessard, T. C.; Brown, M. K. J. Am. Chem. Soc. 2022, 144, 7988–7994. doi:10.1021/jacs.2c02976 |
| 35. | Agasti, S.; Beltran, F.; Pye, E.; Kaltsoyannis, N.; Crisenza, G. E. M.; Procter, D. J. Nat. Chem. 2023, 15, 535–541. doi:10.1038/s41557-023-01135-y |
| 38. | Guo, R.; Chang, Y.-C.; Herter, L.; Salome, C.; Braley, S. E.; Fessard, T. C.; Brown, M. K. J. Am. Chem. Soc. 2022, 144, 7988–7994. doi:10.1021/jacs.2c02976 |
| 38. | Guo, R.; Chang, Y.-C.; Herter, L.; Salome, C.; Braley, S. E.; Fessard, T. C.; Brown, M. K. J. Am. Chem. Soc. 2022, 144, 7988–7994. doi:10.1021/jacs.2c02976 |
| 20. | Sidrauski, C.; Pliushchev, M.; Frost, J. M.; Black, L. A.; Xu, X.; Sweis, R. F.; Shi, L.; Zhang, Q.; Tong, Y.; Hutchins, C. W.; Chung, S.; Dart, M. J. Modulators of the Integrated Stress Pathway. PCT Patent PCT/US2017/031352, May 5, 2017. |
| 16. | Duan, J.; Dhar, T. M.; Jiang, B.; Lu, Z.; Xiao, H.-Y. Pyrrolidinyl Sulfone Derivatives and their use as ROR Gamma Modulators. PCT Patent PCT/US2015/010089, Jan 5, 2015. |
| 14. | Mykhailiuk, P. K. Org. Biomol. Chem. 2019, 17, 2839–2849. doi:10.1039/c8ob02812e |
| 19. | Fischer, C.; Bogen, S. L.; Childers, M. L.; Llinas, F. X. F.; Ellis, J. M.; Esposite, S.; Hoffman, D. M.; Huang, C.; Kattar, S.; Kim, A. J.; Lampe, J. W. Novel Tricyclic Compounds as Inhibitors of Mutant IDH Enzymes. PCT Patent PCT/US2015/063127, Dec 1, 2015. |
| 20. | Sidrauski, C.; Pliushchev, M.; Frost, J. M.; Black, L. A.; Xu, X.; Sweis, R. F.; Shi, L.; Zhang, Q.; Tong, Y.; Hutchins, C. W.; Chung, S.; Dart, M. J. Modulators of the Integrated Stress Pathway. PCT Patent PCT/US2017/031352, May 5, 2017. |
| 21. | Turkowska, J.; Durka, J.; Gryko, D. Chem. Commun. 2020, 56, 5718–5734. doi:10.1039/d0cc01771j |
| 22. | Ma, X.; Nhat Pham, L. Asian J. Org. Chem. 2020, 9, 8–22. doi:10.1002/ajoc.201900589 |
| 23. | Kanazawa, J.; Uchiyama, M. Synlett 2019, 30, 1–11. doi:10.1055/s-0037-1610314 |
| 24. | Measom, N. D.; Down, K. D.; Hirst, D. J.; Jamieson, C.; Manas, E. S.; Patel, V. K.; Somers, D. O. ACS Med. Chem. Lett. 2017, 8, 43–48. doi:10.1021/acsmedchemlett.6b00281 |
| 19. | Fischer, C.; Bogen, S. L.; Childers, M. L.; Llinas, F. X. F.; Ellis, J. M.; Esposite, S.; Hoffman, D. M.; Huang, C.; Kattar, S.; Kim, A. J.; Lampe, J. W. Novel Tricyclic Compounds as Inhibitors of Mutant IDH Enzymes. PCT Patent PCT/US2015/063127, Dec 1, 2015. |
| 26. | Zhao, J.-X.; Chang, Y.-X.; He, C.; Burke, B. J.; Collins, M. R.; Del Bel, M.; Elleraas, J.; Gallego, G. M.; Montgomery, T. P.; Mousseau, J. J.; Nair, S. K.; Perry, M. A.; Spangler, J. E.; Vantourout, J. C.; Baran, P. S. Proc. Natl. Acad. Sci. U. S. A. 2021, 118, e2108881118. doi:10.1073/pnas.2108881118 |
| 25. | Grygorenko, O. O.; Demenko, D.; Volochnyuk, D. M.; Komarov, I. V. New J. Chem. 2018, 42, 8355–8365. doi:10.1039/c7nj05015a |
| 26. | Zhao, J.-X.; Chang, Y.-X.; He, C.; Burke, B. J.; Collins, M. R.; Del Bel, M.; Elleraas, J.; Gallego, G. M.; Montgomery, T. P.; Mousseau, J. J.; Nair, S. K.; Perry, M. A.; Spangler, J. E.; Vantourout, J. C.; Baran, P. S. Proc. Natl. Acad. Sci. U. S. A. 2021, 118, e2108881118. doi:10.1073/pnas.2108881118 |
| 71. | Smith, E.; Jones, K. D.; O’Brien, L.; Argent, S. P.; Salome, C.; Lefebvre, Q.; Valery, A.; Böcü, M.; Newton, G. N.; Lam, H. W. J. Am. Chem. Soc. 2023, 145, 16365–16373. doi:10.1021/jacs.3c03207 |
| 72. | Fujiwara, K.; Nagasawa, S.; Maeyama, R.; Segawa, R.; Hirasawa, N.; Hirokawa, T.; Iwabuchi, Y. Chem. – Eur. J. 2024, 30, e202303548. doi:10.1002/chem.202303548 |
| 73. | Burke, M. D.; Schreiber, S. L. Angew. Chem., Int. Ed. 2004, 43, 46–58. doi:10.1002/anie.200300626 |
| 71. | Smith, E.; Jones, K. D.; O’Brien, L.; Argent, S. P.; Salome, C.; Lefebvre, Q.; Valery, A.; Böcü, M.; Newton, G. N.; Lam, H. W. J. Am. Chem. Soc. 2023, 145, 16365–16373. doi:10.1021/jacs.3c03207 |
| 72. | Fujiwara, K.; Nagasawa, S.; Maeyama, R.; Segawa, R.; Hirasawa, N.; Hirokawa, T.; Iwabuchi, Y. Chem. – Eur. J. 2024, 30, e202303548. doi:10.1002/chem.202303548 |
| 71. | Smith, E.; Jones, K. D.; O’Brien, L.; Argent, S. P.; Salome, C.; Lefebvre, Q.; Valery, A.; Böcü, M.; Newton, G. N.; Lam, H. W. J. Am. Chem. Soc. 2023, 145, 16365–16373. doi:10.1021/jacs.3c03207 |
| 70. | Son, J.-Y.; Aikonen, S.; Morgan, N.; Harmata, A. S.; Sabatini, J. J.; Sausa, R. C.; Byrd, E. F. C.; Ess, D. H.; Paton, R. S.; Stephenson, C. R. J. J. Am. Chem. Soc. 2023, 145, 16355–16364. doi:10.1021/jacs.3c03226 |
| 71. | Smith, E.; Jones, K. D.; O’Brien, L.; Argent, S. P.; Salome, C.; Lefebvre, Q.; Valery, A.; Böcü, M.; Newton, G. N.; Lam, H. W. J. Am. Chem. Soc. 2023, 145, 16365–16373. doi:10.1021/jacs.3c03207 |
| 72. | Fujiwara, K.; Nagasawa, S.; Maeyama, R.; Segawa, R.; Hirasawa, N.; Hirokawa, T.; Iwabuchi, Y. Chem. – Eur. J. 2024, 30, e202303548. doi:10.1002/chem.202303548 |
| 72. | Fujiwara, K.; Nagasawa, S.; Maeyama, R.; Segawa, R.; Hirasawa, N.; Hirokawa, T.; Iwabuchi, Y. Chem. – Eur. J. 2024, 30, e202303548. doi:10.1002/chem.202303548 |
| 29. | Ma, X.; Han, Y.; Bennett, D. J. Org. Lett. 2020, 22, 9133–9138. doi:10.1021/acs.orglett.0c03612 |
| 32. | Wright, B. A.; Matviitsuk, A.; Black, M. J.; García-Reynaga, P.; Hanna, L. E.; Herrmann, A. T.; Ameriks, M. K.; Sarpong, R.; Lebold, T. P. J. Am. Chem. Soc. 2023, 145, 10960–10966. doi:10.1021/jacs.3c02616 |
| 26. | Zhao, J.-X.; Chang, Y.-X.; He, C.; Burke, B. J.; Collins, M. R.; Del Bel, M.; Elleraas, J.; Gallego, G. M.; Montgomery, T. P.; Mousseau, J. J.; Nair, S. K.; Perry, M. A.; Spangler, J. E.; Vantourout, J. C.; Baran, P. S. Proc. Natl. Acad. Sci. U. S. A. 2021, 118, e2108881118. doi:10.1073/pnas.2108881118 |
| 26. | Zhao, J.-X.; Chang, Y.-X.; He, C.; Burke, B. J.; Collins, M. R.; Del Bel, M.; Elleraas, J.; Gallego, G. M.; Montgomery, T. P.; Mousseau, J. J.; Nair, S. K.; Perry, M. A.; Spangler, J. E.; Vantourout, J. C.; Baran, P. S. Proc. Natl. Acad. Sci. U. S. A. 2021, 118, e2108881118. doi:10.1073/pnas.2108881118 |
| 26. | Zhao, J.-X.; Chang, Y.-X.; He, C.; Burke, B. J.; Collins, M. R.; Del Bel, M.; Elleraas, J.; Gallego, G. M.; Montgomery, T. P.; Mousseau, J. J.; Nair, S. K.; Perry, M. A.; Spangler, J. E.; Vantourout, J. C.; Baran, P. S. Proc. Natl. Acad. Sci. U. S. A. 2021, 118, e2108881118. doi:10.1073/pnas.2108881118 |
| 28. | Klopsch, R.; Schlüter, A.-D. Tetrahedron 1995, 51, 10491–10496. doi:10.1016/0040-4020(95)00628-l |
| 26. | Zhao, J.-X.; Chang, Y.-X.; He, C.; Burke, B. J.; Collins, M. R.; Del Bel, M.; Elleraas, J.; Gallego, G. M.; Montgomery, T. P.; Mousseau, J. J.; Nair, S. K.; Perry, M. A.; Spangler, J. E.; Vantourout, J. C.; Baran, P. S. Proc. Natl. Acad. Sci. U. S. A. 2021, 118, e2108881118. doi:10.1073/pnas.2108881118 |
| 27. | Frank, N.; Nugent, J.; Shire, B. R.; Pickford, H. D.; Rabe, P.; Sterling, A. J.; Zarganes-Tzitzikas, T.; Grimes, T.; Thompson, A. L.; Smith, R. C.; Schofield, C. J.; Brennan, P. E.; Duarte, F.; Anderson, E. A. Nature 2022, 611, 721–726. doi:10.1038/s41586-022-05290-z |
| 26. | Zhao, J.-X.; Chang, Y.-X.; He, C.; Burke, B. J.; Collins, M. R.; Del Bel, M.; Elleraas, J.; Gallego, G. M.; Montgomery, T. P.; Mousseau, J. J.; Nair, S. K.; Perry, M. A.; Spangler, J. E.; Vantourout, J. C.; Baran, P. S. Proc. Natl. Acad. Sci. U. S. A. 2021, 118, e2108881118. doi:10.1073/pnas.2108881118 |
| 27. | Frank, N.; Nugent, J.; Shire, B. R.; Pickford, H. D.; Rabe, P.; Sterling, A. J.; Zarganes-Tzitzikas, T.; Grimes, T.; Thompson, A. L.; Smith, R. C.; Schofield, C. J.; Brennan, P. E.; Duarte, F.; Anderson, E. A. Nature 2022, 611, 721–726. doi:10.1038/s41586-022-05290-z |
© 2024 Diepers and Walker; licensee Beilstein-Institut.
This is an open access article licensed under the terms of the Beilstein-Institut Open Access License Agreement (https://www.beilstein-journals.org/bjoc/terms), which is identical to the Creative Commons Attribution 4.0 International License (https://creativecommons.org/licenses/by/4.0). The reuse of material under this license requires that the author(s), source and license are credited. Third-party material in this article could be subject to other licenses (typically indicated in the credit line), and in this case, users are required to obtain permission from the license holder to reuse the material.