Abstract
Oxazolo[5,4-d]pyrimidines can be considered as 9-oxa-purine analogs of naturally occurring nucleic acid bases. Interest in this ring system has increased due to recent reports of biologically active derivatives. In particular, 5-aminooxazolo[5,4-d]pyrimidine-7(6H)-ones (9-oxa-guanines) have been shown to inhibit ricin. The preparation of a series of 2-substituted 5-aminooxazolo[5,4-d]pyrimidin-7(6H)-ones and related 5-thio-oxazolo[5,4-d]pyrimidines is described, including analogs suitable for further elaboration employing “click” chemistry utilizing copper-catalyzed Huisgen 1,3-dipolar cycloadditions. Two of the compounds prepared were found to inhibit ricin with IC50 ca. 1–3 mM.
Graphical Abstract
Introduction
Oxazolo[5,4-d]pyrimidines have been reported to possess a variety of biological activities including kinase inhibition [1,2], adenosine receptor antagonism [3] and tumor growth inhibition [4]. In particular, 5-aminooxazolo[5,4-d]pyrimidin-7(6H)-ones [9-oxa-guanines] and related heterocycles have been shown to inhibit the ability of ricin to inactivate ribosomes [5]. Given these reports, and the expectation of further applications based upon similarity to naturally occurring nucleic acid bases, this heterocyclic ring system continues to generate interest.
Approaches to the oxazolo[5,4-d]pyrimidine ring system generally involve either cyclodehydration of an 5-(acylamino)-4-hydroxypyrimidine [6-10] or elaboration of a 4-cyano- or 4-(alkoxycarbonyl)-5-aminooxazole [11-15] (Figure 1), with only isolated reports of alternative routes [16,17]. However, few publications have described the preparation of 5-aminooxazolo[5,4-d]pyrimidin-7(6H)-ones [5,8,14] or 5-mercaptooxazolo[5,4-d]pyrimidin-7(6H)-ones [9-oxa-2-thio-xanthines] [7,15], and in both cases, the conditions do not appear to be amenable to the preparation of oxazolo[5,4-d]pyrimidines with variations at the 2-position, particularly those with additional functional groups or increased steric demand.
Figure 1: The two general synthetic approaches to oxazolo[5,4-d]pyrimidines.
Figure 1: The two general synthetic approaches to oxazolo[5,4-d]pyrimidines.
In pursuing 8-methyl-9-oxa-guanine [2-methyloxazolo[5,4-d]pyrimidin-7(6H)-one] as an initial lead in the design of inhibitors of the ribosome-inactivating protein ricin [5], we set out to prepare a series of 2-substituted 5-aminooxazolo[5,4-d]pyrimidin-7(6H)-ones and related 5-thio-oxazolo[5,4-d]pyrimidines. Here we report these studies, which have led to the preparation of analogs suitable for further elaboration, for example by “click” chemistry employing copper-catalyzed Huisgen 1,3-dipolar cycloadditions [18].
Results and Discussion
Our previous route [5] to 8-methyl-9-oxa-guanine (2a) involved the thermal cyclodehydration of 5-(acetylamino)-2-amino-4,6-dihydroxypyrimidine (1a) [19] (Figure 2). Unfortunately, for other 5-acylamino analogs of 1a, this route failed to afford the required oxazolo[5,4-d]pyrimidines, presumably due to decomposition of the product at the temperatures required for cyclodehydration. Other cyclodehydration conditions (POCl3, PPA) were also unsuccessful.
Figure 2: Thermal cyclodehydration route to 9-oxo-guanine.
Figure 2: Thermal cyclodehydration route to 9-oxo-guanine.
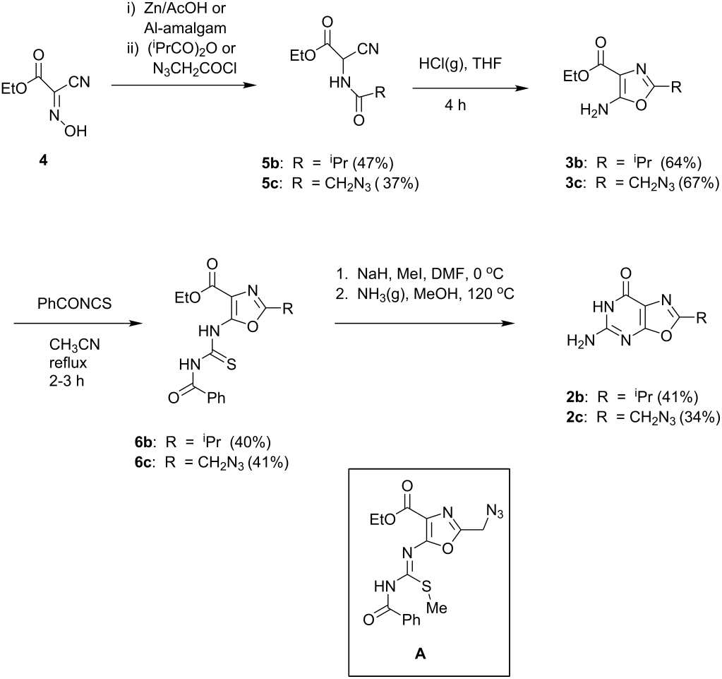
An alternative route was sought in which the oxazole ring was formed first, followed by elaboration of the pyrimidine ring. Our previous work had demonstrated that in the case of ethyl 5-amino-2-methyloxazole-4-carboxylate 3a [20], direct annulation with chloroformamidine in DMSO at 120 °C or with 2-methylisothiourea sulfate neat or in ethylene glycol at 170 °C did not afford the oxazolo[5,4-d]pyrimidine 2 (Figure 2). Thus, a stepwise annulation [15] strategy was explored for the preparation of analogs of 2 bearing different 2-positions substituents. The required 5-aminooxazoles 3b,c were prepared from the (acylamino)cyanoacetates 5b,c, which in turn were derived from ethyl cyanoglyoxylate oxime (4) by reduction followed by acylation by isobutyric anhydride or azidoacetyl chloride (Figure 3). Reaction of the aminooxazoles 3b,c with benzoylisothiocyanate afforded the thioureas 6b,c. Direct cyclization of 6b,c to oxazolo[5,4-d]pyrimidines 2b,c by treatment with ammonia in methanol was unsuccessful. However, thioureas 6b,c were converted to the desired 2-substituted the oxazolo[5,4-d]pyrimidines 2b,c by stepwise methylation followed by cyclization in the presence of ammonia in methanol. Although the intermediate products after methylation were not purified, in the case of 6c the 1H NMR spectrum of the crude product following methylation retains the signals for the ethoxy group of 6c and displays a new resonance for the S-methyl group at 2.0 ppm (see Supporting Information File 2), indicating that the intermediate is the S-methylisothiourea A (Figure 3). The mechanism involved in the conversion of intermediates such as A to 2 is not clear. It is unlikely that the 5-(methylthio)oxazolo[5,4-d]pyrimidine is an intermediate because treatment of 5-(methylthio)oxazolo[5,4-d]pyrimidine 8a (see below) with ammonia in methanol fails to afford 2a.
Figure 3: Preparation of 2-substituted 5-aminooxazolo[5,4-d]pyrimidin-7(6H)-ones.
Figure 3: Preparation of 2-substituted 5-aminooxazolo[5,4-d]pyrimidin-7(6H)-ones.
The thiourea 6b and its analog 6a, which was prepared from aminooxazole 3a in 51% yield, were also subjected to cyclization in the presence of ethanolic KOH to afford the 5-mercaptooxazolo[5,4-d]pyrimidin-7(6H)-ones 7a,b (Figure 4). Further elaboration of 7a by alkylation with methyl iodide, benzyl bromide, propargyl bromide, or methyl 6-O-(tolylsulfonyl)-α-D-glucopyranoside [21] afforded the thioethers 8a–d, respectively. The structural assignment of 8a–d as thioethers rest principally on their 1H and 13C NMR spectra, which contain resonances more commensurate with groups attached to sulfur (e.g., for 8a: 2.2 ppm in 1H and 13 ppm in 13C NMR, respectively) than to nitrogen, as would be the case for 4- or 3-alkylated 5-mercaptooxazolo[5,4-d]pyrimidine-7(6H)-ones.
Figure 4: Preparation of 2-substituted 5-aminooxazolo[5,4-d]pyrimidin-7(6H)-ones and related thioethers.
Figure 4: Preparation of 2-substituted 5-aminooxazolo[5,4-d]pyrimidin-7(6H)-ones and related thioethers.
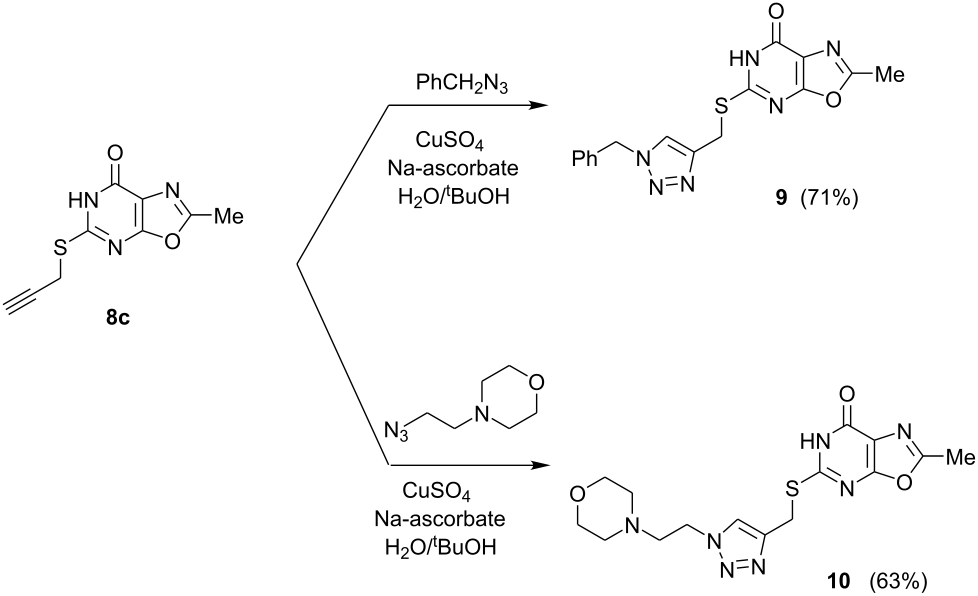
The thioether 8c bearing a propargyl substituent was subjected to “click” chemistry coupling with benzyl azide or 2-morpholinoethyl azide in the presence of catalytic CuSO4 and sodium ascorbate to afford the triazoles 9 and 10, respectively, in good yield (Figure 5). The copper-catalyzed Huisgen cycloaddition of terminal alkynes and alkyl azides favors formation of the 1,4-triazole regioisomers [22], and in the case of triazole 9, this regiochemistry was confirmed by 1H NOE spectra (see Supporting Information File 2).
Figure 5: Click chemistry elaboration of a 5-(propargylthio)oxazolo[5,4-d]pyrimidine.
Figure 5: Click chemistry elaboration of a 5-(propargylthio)oxazolo[5,4-d]pyrimidine.
Conclusion
In conclusion, routes to functionalized oxazolo[5,4-d]pyrimidines from 2-substituted 5-aminooxazole-4-carboxylic acid ethyl esters were developed, the key to which is the relatively mild conditions employed in the step-wise elaboration of the pyrimidine ring. Compounds 2b,c, 7a,b, 8a–d, 9, and 10 were evaluated for their ability to inhibit recombinant, catalytically active ricin A-chain (RTA) employing a modification of the previously reported assay [5]. Briefly, the synthesis of protein from endogenous globin mRNA by rabbit reticulocyte lysate was determined in the absence of RTA, in the presence of sufficient RTA to inhibit 90% of protein synthesis (ca. 10 pM), and in the presence of both RTA and increasing concentrations of the oxazolo[5,4-d]pyrimidines. The ability of these compounds to inhibit RTA and thereby rescue protein synthesis was determined. Compounds 2b (IC50 = 2.8 mM) and 9 (IC50 = 1.6 mM), displayed some activity; whereas, none of the other compounds examined showed any significant RTA inhibitory activity.
Supporting Information
| Supporting Information File 1: This file includes full experimental details for all new compounds. | ||
| Format: DOC | Size: 83.0 KB | Download |
| Supporting Information File 2: Copies of 1H and 13C NMR spectra of compounds 2b,c; 3a–c; 5b,c; 6a–c; A; 7a,b; 8a–d; 9; and 10. | ||
| Format: DOC | Size: 3.6 MB | Download |
References
-
Martin-Kohler, A.; Widmer, J.; Bold, G.; Meyer, T.; Séquin, U.; Traxler, P. Helv. Chim. Acta 2004, 87, 956–975. doi:10.1002/hlca.200490089
Return to citation in text: [1] -
Bauser, M.; Delapierre, G.; Hauswald, M.; Flessner, T.; D'Urso, D.; Hermann, A.; Beyreuther, B.; De Vry, J.; Spreyer, P.; Reissmüller, E.; Meier, H. Bioorg. Med. Chem. Lett. 2004, 14, 1997–2000. doi:10.1016/j.bmcl.2004.01.082
Return to citation in text: [1] -
Holschbach, M. H.; Bier, D.; Stüsgen, S.; Wutz, W.; Sihver, W.; Coenen, H. H.; Olsson, R. A. Eur. J. Med. Chem. 2006, 41, 7–15. doi:10.1016/j.ejmech.2005.07.018
Return to citation in text: [1] -
Claiborne, C. F.; Critchley, S.; Langston, S. P.; Olhava, E. J.; Peluso, S.; Weatherhead, G. S.; Vyskocil, S.; Visiers, I.; Mizutani, H.; Cullis, C. Heteroaryl compounds useful as inhibitors of E1 activating enzymes. PCT Int. Appl. WO 2008/019124 A1, Feb 14, 2008.
Chem. Abstr. 2008, 148, 262855.
Return to citation in text: [1] -
Miller, D. J.; Ravikumar, K.; Shen, H.; Suh, J.-K.; Kerwin, S. M.; Robertus, J. D. J. Med. Chem. 2002, 45, 90–98. doi:10.1021/jm010186s
Return to citation in text: [1] [2] [3] [4] [5] -
Falco, E. A.; Elion, G. B.; Burgi, E.; Hitchings, G. H. J. Am. Chem. Soc. 1952, 74, 4897–4902. doi:10.1021/ja01139a049
Return to citation in text: [1] -
Nishiwaki, T. Nature 1966, 211, 737–738. doi:10.1038/211737a0
Return to citation in text: [1] [2] -
Temple, C., Jr.; Smith, B. H.; Montgomery, J. A. J. Org. Chem. 1975, 40, 3141–3142. doi:10.1021/jo00909a030
Return to citation in text: [1] [2] -
Chern, J.-W.; Wise, D. S.; Townsend, L. B. J. Heterocycl. Chem. 1984, 21, 1245–1246.
Return to citation in text: [1] -
Hurst, D. T.; Atcha, S.; Marshall, K. L. Aust. J. Chem. 1991, 44, 129–134.
Return to citation in text: [1] -
Jansen, A. B. A.; Szelke, M. J. Chem. Soc. 1961, 405–411. doi:10.1039/JR9610000405
Return to citation in text: [1] -
Sekiya, M.; Suzuki, J.; Kakiya, Y. Chem. Pharm. Bull. 1970, 18, 1233–1238.
Return to citation in text: [1] -
Ohtsuka, Y. Bull. Chem. Soc. Jpn. 1973, 46, 506–509. doi:10.1246/bcsj.46.506
Return to citation in text: [1] -
Turchi, I. J.; Maryanoff, C. A. Synthesis 1983, 837–839. doi:10.1055/s-1983-30535
Return to citation in text: [1] [2] -
Cabon, G.; Gaucher, B.; Gegout, A.; Heulle, S.; Masquelin, T. Chimia 2003, 57, 248–254. doi:10.2533/000942903777679280
Return to citation in text: [1] [2] [3] -
Dang, V. T.; Stadlbauer, W. J. Heterocycl. Chem. 1996, 33, 1025–1030.
Return to citation in text: [1] -
Dounchis, H. J. Org. Chem. 1972, 37, 2583–2587. doi:10.1021/jo00981a014
Return to citation in text: [1] -
Kolb, H. C.; Finn, M. G.; Sharpless, K. B. Angew. Chem., Int. Ed. 2001, 40, 2004–2021. doi:10.1002/1521-3773(20010601)40:11<2004::AID-ANIE2004>3.0.CO;2-5
Return to citation in text: [1] -
Taylor, E. C.; Cain, C. K. J. Am. Chem. Soc. 1949, 71, 2282–2284. doi:10.1021/ja01175a002
Return to citation in text: [1] -
Grifantini, M.; Stein, M. L. Ann. Chim. (Rome, Italy) 1965, 55, 576–582.
Chem. Abstr. 1965, 63, 13234.
Return to citation in text: [1] -
Griffith, B. R.; Krepel, C.; Fu, X.; Blanchard, S.; Ahmed, A.; Edmiston, C. E.; Thorson, J. S. J. Am. Chem. Soc. 2007, 129, 8150–8155. doi:10.1021/ja068602r
Return to citation in text: [1] -
Rostovtsev, V. V.; Green, L. G.; Fokin, V. V.; Sharpless, K. B. Angew. Chem., Int. Ed. 2002, 41, 2596–2599. doi:10.1002/1521-3773(20020715)41:14<2596::AID-ANIE2596>3.0.CO;2-4
Return to citation in text: [1]
| 22. | Rostovtsev, V. V.; Green, L. G.; Fokin, V. V.; Sharpless, K. B. Angew. Chem., Int. Ed. 2002, 41, 2596–2599. doi:10.1002/1521-3773(20020715)41:14<2596::AID-ANIE2596>3.0.CO;2-4 |
| 5. | Miller, D. J.; Ravikumar, K.; Shen, H.; Suh, J.-K.; Kerwin, S. M.; Robertus, J. D. J. Med. Chem. 2002, 45, 90–98. doi:10.1021/jm010186s |
| 1. | Martin-Kohler, A.; Widmer, J.; Bold, G.; Meyer, T.; Séquin, U.; Traxler, P. Helv. Chim. Acta 2004, 87, 956–975. doi:10.1002/hlca.200490089 |
| 2. | Bauser, M.; Delapierre, G.; Hauswald, M.; Flessner, T.; D'Urso, D.; Hermann, A.; Beyreuther, B.; De Vry, J.; Spreyer, P.; Reissmüller, E.; Meier, H. Bioorg. Med. Chem. Lett. 2004, 14, 1997–2000. doi:10.1016/j.bmcl.2004.01.082 |
| 6. | Falco, E. A.; Elion, G. B.; Burgi, E.; Hitchings, G. H. J. Am. Chem. Soc. 1952, 74, 4897–4902. doi:10.1021/ja01139a049 |
| 7. | Nishiwaki, T. Nature 1966, 211, 737–738. doi:10.1038/211737a0 |
| 8. | Temple, C., Jr.; Smith, B. H.; Montgomery, J. A. J. Org. Chem. 1975, 40, 3141–3142. doi:10.1021/jo00909a030 |
| 9. | Chern, J.-W.; Wise, D. S.; Townsend, L. B. J. Heterocycl. Chem. 1984, 21, 1245–1246. |
| 10. | Hurst, D. T.; Atcha, S.; Marshall, K. L. Aust. J. Chem. 1991, 44, 129–134. |
| 15. | Cabon, G.; Gaucher, B.; Gegout, A.; Heulle, S.; Masquelin, T. Chimia 2003, 57, 248–254. doi:10.2533/000942903777679280 |
| 5. | Miller, D. J.; Ravikumar, K.; Shen, H.; Suh, J.-K.; Kerwin, S. M.; Robertus, J. D. J. Med. Chem. 2002, 45, 90–98. doi:10.1021/jm010186s |
| 21. | Griffith, B. R.; Krepel, C.; Fu, X.; Blanchard, S.; Ahmed, A.; Edmiston, C. E.; Thorson, J. S. J. Am. Chem. Soc. 2007, 129, 8150–8155. doi:10.1021/ja068602r |
| 4. |
Claiborne, C. F.; Critchley, S.; Langston, S. P.; Olhava, E. J.; Peluso, S.; Weatherhead, G. S.; Vyskocil, S.; Visiers, I.; Mizutani, H.; Cullis, C. Heteroaryl compounds useful as inhibitors of E1 activating enzymes. PCT Int. Appl. WO 2008/019124 A1, Feb 14, 2008.
Chem. Abstr. 2008, 148, 262855. |
| 19. | Taylor, E. C.; Cain, C. K. J. Am. Chem. Soc. 1949, 71, 2282–2284. doi:10.1021/ja01175a002 |
| 3. | Holschbach, M. H.; Bier, D.; Stüsgen, S.; Wutz, W.; Sihver, W.; Coenen, H. H.; Olsson, R. A. Eur. J. Med. Chem. 2006, 41, 7–15. doi:10.1016/j.ejmech.2005.07.018 |
| 20. |
Grifantini, M.; Stein, M. L. Ann. Chim. (Rome, Italy) 1965, 55, 576–582.
Chem. Abstr. 1965, 63, 13234. |
| 7. | Nishiwaki, T. Nature 1966, 211, 737–738. doi:10.1038/211737a0 |
| 15. | Cabon, G.; Gaucher, B.; Gegout, A.; Heulle, S.; Masquelin, T. Chimia 2003, 57, 248–254. doi:10.2533/000942903777679280 |
| 18. | Kolb, H. C.; Finn, M. G.; Sharpless, K. B. Angew. Chem., Int. Ed. 2001, 40, 2004–2021. doi:10.1002/1521-3773(20010601)40:11<2004::AID-ANIE2004>3.0.CO;2-5 |
| 5. | Miller, D. J.; Ravikumar, K.; Shen, H.; Suh, J.-K.; Kerwin, S. M.; Robertus, J. D. J. Med. Chem. 2002, 45, 90–98. doi:10.1021/jm010186s |
| 8. | Temple, C., Jr.; Smith, B. H.; Montgomery, J. A. J. Org. Chem. 1975, 40, 3141–3142. doi:10.1021/jo00909a030 |
| 14. | Turchi, I. J.; Maryanoff, C. A. Synthesis 1983, 837–839. doi:10.1055/s-1983-30535 |
| 5. | Miller, D. J.; Ravikumar, K.; Shen, H.; Suh, J.-K.; Kerwin, S. M.; Robertus, J. D. J. Med. Chem. 2002, 45, 90–98. doi:10.1021/jm010186s |
| 16. | Dang, V. T.; Stadlbauer, W. J. Heterocycl. Chem. 1996, 33, 1025–1030. |
| 17. | Dounchis, H. J. Org. Chem. 1972, 37, 2583–2587. doi:10.1021/jo00981a014 |
| 11. | Jansen, A. B. A.; Szelke, M. J. Chem. Soc. 1961, 405–411. doi:10.1039/JR9610000405 |
| 12. | Sekiya, M.; Suzuki, J.; Kakiya, Y. Chem. Pharm. Bull. 1970, 18, 1233–1238. |
| 13. | Ohtsuka, Y. Bull. Chem. Soc. Jpn. 1973, 46, 506–509. doi:10.1246/bcsj.46.506 |
| 14. | Turchi, I. J.; Maryanoff, C. A. Synthesis 1983, 837–839. doi:10.1055/s-1983-30535 |
| 15. | Cabon, G.; Gaucher, B.; Gegout, A.; Heulle, S.; Masquelin, T. Chimia 2003, 57, 248–254. doi:10.2533/000942903777679280 |
| 5. | Miller, D. J.; Ravikumar, K.; Shen, H.; Suh, J.-K.; Kerwin, S. M.; Robertus, J. D. J. Med. Chem. 2002, 45, 90–98. doi:10.1021/jm010186s |
© 2008 Mandal et al; licensee Beilstein-Institut.
This is an Open Access article under the terms of the Creative Commons Attribution License (http://creativecommons.org/licenses/by/2.0), which permits unrestricted use, distribution, and reproduction in any medium, provided the original work is properly cited.
The license is subject to the Beilstein Journal of Organic Chemistry terms and conditions: (http://www.beilstein-journals.org/bjoc)