A quantitative approach to nucleophilic organocatalysis

  1. ,
  2. ,
  3. and
Department Chemie, Ludwig-Maximilians-Universität München, Butenandstr. 5-13 (Haus F), 81377 München, Germany
  1. Corresponding author email
Guest Editor: B. List
Beilstein J. Org. Chem. 2012, 8, 1458–1478. https://doi.org/10.3762/bjoc.8.166
Received 15 Jun 2012, Accepted 31 Jul 2012, Published 05 Sep 2012
Review
cc by logo
Album

Abstract

The key steps in most organocatalytic cyclizations are the reactions of electrophiles with nucleophiles. Their rates can be calculated by the linear free-energy relationship log k(20 °C) = sN(E + N), where electrophiles are characterized by one parameter (E) and nucleophiles are characterized by the solvent-dependent nucleophilicity (N) and sensitivity (sN) parameters.

Electrophilicity parameters in the range –10 < E < –5 were determined for iminium ions derived from cinnamaldehyde and common organocatalysts, such as pyrrolidines and imidazolidinones, by studying the rates of their reactions with reference nucleophiles. Iminium activated reactions of α,β-unsaturated aldehydes can, therefore, be expected to proceed with nucleophiles of 2 < N < 14, because such nucleophiles are strong enough to react with iminium ions but weak enough not to react with their precursor aldehydes. With the N parameters of enamines derived from phenylacetaldehyde and MacMillan’s imidazolidinones one can rationalize why only strong electrophiles, such as stabilized carbenium ions (–8 < E < –2) or hexachlorocyclohexadienone (E = –6.75), are suitable electrophiles for enamine activated reactions with imidazolidinones. Several mechanistic controversies concerning iminium and enamine activated reactions could thus be settled by studying the reactivities of independently synthesized intermediates.

Kinetic investigations of the reactions of N-heterocyclic carbenes (NHCs) with benzhydrylium ions showed that they have similar nucleophilicities to common organocatalysts (e.g., PPh3, DMAP, DABCO) but are much stronger (100–200 kJ mol–1) Lewis bases. While structurally analogous imidazolylidenes and imidazolidinylidenes have comparable nucleophilicities and Lewis basicities, the corresponding deoxy Breslow intermediates differ dramatically in reactivity. The thousand-fold higher nucleophilicity of 2-benzylidene-imidazoline relative to 2-benzylidene-imidazolidine is explained by the gain of aromaticity during electrophilic additions to the imidazoline derivatives. O-Methylated Breslow intermediates are a hundred-fold less nucleophilic than deoxy Breslow intermediates.

Review

Introduction

The most comprehensive nucleophilicity and electrophilicity scales presently available, are based on Equation 1, in which electrophiles are characterized by one solvent-independent parameter E, and nucleophiles are characterized by two solvent-dependent parameters, the nucleophilicity parameter N and the sensitivity parameter sN [1-3].

[1860-5397-8-166-i1]
(1)

By defining benzhydrylium ions, structurally related quinone methides, and arylidenemalonates as reference electrophiles, which cover a reactivity range of 32 orders of magnitude corresponding to relative reaction times from nanoseconds to 1015 years, we have been able to compare nucleophiles of widely differing structure and reactivity [4]. As illustrated by Figure 1, this method allows us to characterize strong nucleophiles, such as carbanions and ylides, by their reactivities toward weak electrophiles, and to characterize weak nucleophiles, such as nonactivated alkenes, by their reactivities toward strong electrophiles. Recently we have explicitly outlined the reasons why we prefer Equation 1, a nonconventional version of a linear free-energy relationship, which defines nucleophilicities as the negative intercepts on the abscissa, over the conventional (mathematically equivalent) linear free-energy relationship depicted in the red frame at the top of Figure 1 [5].

[1860-5397-8-166-1]

Figure 1: Second-order rate constants for reactions of electrophiles with nucleophiles.

The reactivity scales, developed on this basis, have not only be employed for designing organic syntheses [6-18], but were also helpful for rigorous examinations of general concepts of organic reactivity, such as the “Reactivity Selectivity Principle” [19], the “HSAB Treatment of Ambident Reactivity” [20] and the changes of mechanisms in nucleophilic aliphatic substitutions [21,22]. In this essay, we will illustrate applications of Equation 1 in nucleophilic organocatalysis.

Iminium activated reactions

A key step of the commonly accepted catalytic cycle for iminium activated reactions (Figure 2) is the attack of a nucleophile 4 on the intermediate iminium ion (3), which can be treated by Equation 1 as indicated in the bottom right of Figure 2 [23-28].

[1860-5397-8-166-2]

Figure 2: Mechanism of amine-catalyzed conjugate additions of nucleophiles [23-28].

In order to predict which nucleophiles 4 are suitable reagents for such transformations because they are strong enough to react with iminium ions 3, but weak enough not to react with the precursor carbonyl compounds (e.g., 2), it was necessary to determine the reactivity parameters N and sN of potential nucleophilic substrates 4 and the electrophilicity parameters E of iminium ions 3.

Iminium triflates, tetrafluoroborates, or hexafluorophosphates were synthesized as stable salts according to literature procedures [29-35]. Cinnamaldehyde-derived iminium ions 3 are particularly suitable for kinetic investigations because their reactions with nucleophiles can easily be followed photometrically by monitoring the decay of their absorbance at 370 nm (as exemplified in Figure 3a,b). By using the nucleophiles (for example 7a) in large excess, pseudo-first-order kinetics were achieved, and the first-order rate constants kobs (s–1) were derived from the exponential decays of the iminium ions 3 (Figure 3c). Plots of kobs versus the concentrations of the nucleophiles (Figure 3d) were linear, with their slopes giving the second-order rate constants k2 (M–1 s–1) [35,36].

[1860-5397-8-166-3]

Figure 3: Kinetics of the reactions of the iminium ion 3a with the silylated ketene acetal 7a [35].

For the investigations of reactions of the iminium ions on the micro- and nanosecond time scale, laser flash spectroscopy was employed [37]. As tertiary phosphines PR3 (10) are known to be excellent photonucleofuges [38-41], the stable iminium salts 3-PF6 were treated with tertiary phosphines 10 at room temperature to give the enamino-phosphonium ions 11 instantaneously (Figure 4a). Their irradiation with 7 ns laser pulses (266 nm) regenerated the iminium ions, the decay of which was monitored photometrically in the presence of variable concentrations of nucleophiles (Figure 4b).

[1860-5397-8-166-4]

Figure 4: Laser flash photolytic generation of iminium ions 3a.

As above, the second-order rate constants for the reactions of the iminium ions with nucleophiles were obtained as the slopes of the plots of the first-order rate constants kobs versus the concentrations of the corresponding nucleophiles (Figure 4c).

The fair correlations of (log k2)/sN versus the nucleophilicity parameters N with slopes of unity in Figure 5 indicate the applicability of Equation 1, and is a further evidence that the reactivity parameters N and sN, which are derived from reactions with benzhydrylium ions, also hold for reactions with iminium ions 3.

[1860-5397-8-166-5]

Figure 5: Correlations of the reactivities of the iminium ions 3a and 3b toward nucleophiles with the corresponding N parameters – LFP = laser flash photolysis.

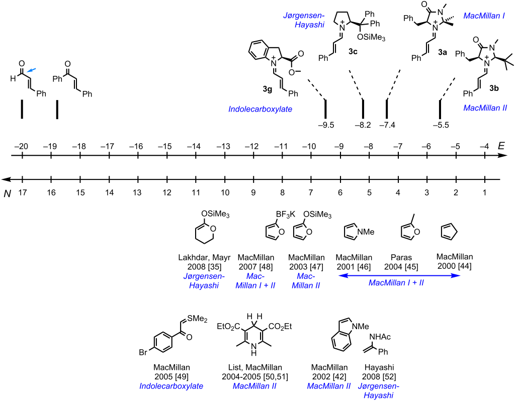
Analogous experiments showed that the cinnamaldehyde-derived iminium ions 3ai cover a reactivity range of five orders of magnitude; the iminium ion 3b, derived from MacMillan’s generation II catalyst, turned out to be by far the most reactive one of this series (Figure 6) [37,42,43].

[1860-5397-8-166-6]

Figure 6: Comparison of the electrophilicities of cinnamaldehyde-derived iminium ions 3a3i.

When comparing the N parameters of substrates previously employed in iminium activated reactions (Figure 7) [35,42,44-52], one can see that they are characterized by nucleophilicity parameters in the range 2 < N < 14. As Equation 1 describes only one step of the catalytic cycle in Figure 2, we do not claim that N parameters in the indicated range represent a sufficient criterion for the selection of potential substrates in iminium activated reactions. It will be difficult, however, to find suitable nucleophilic substrates outside this range, as stronger nucleophiles will either react with the carbonyl compounds directly or inhibit the formation of the iminium ions due to their high basicity. Weaker nucleophiles, on the other hand, will not be able to attack iminium ions 3; exceptions may be expected for substrates which undergo concerted pericyclic reactions with the iminium ions and therefore do not follow Equation 1 [53].

[1860-5397-8-166-7]

Figure 7: Nucleophiles used in iminium activated reactions [35,42,44-52].

Let us now consider the role of counterions, as the imidazolidinone catalyzed reactions of cinnamaldehyde with pyrrole were reported to proceed with high yields and enantioselectivities, when using trifluoroacetic acid as cocatalyst, while yields and enantioselectivities are low with strong acids, such as CF3SO3H, TsOH, or HCl, as cocatalysts [46,54,55].

Figure 8 shows that the rates of the reactions of 3a-X with 2-(trimethylsiloxy)-4,5-dihydrofuran (7b) were only slightly affected by the nature of the counterions X (X = PF6, BF4, TfO, Br, CF3CO2) [56].

[1860-5397-8-166-8]

Figure 8: Counterion effects in electrophilic reactions of iminium ions 3a-X (at 20 °C, silyl ketene acetal 7b in dichloromethane with c(3a-CF3CO2) = (1.7–2.5) × 10−5 M, kryptopyrrole 12a in acetonitrile with c(3a-CF3CO2) = 5.0 × 10−5 M).

In contrast, the reaction of 3a-X with 3-ethyl-2,4-dimethylpyrrole (kryptopyrrole, 12a) was considerably faster when CF3CO2 was present than when less basic counterions were employed. The acceleration of the reaction by increasing the concentration of CF3CO2 demonstrated that CF3CO2 acted as a general base to deprotonate the Wheland intermediate 13a+ and thus suppresses its retroaddition with regeneration of the pyrrole 12a and the iminium ion 3a. Rate constants observed at variable concentrations of CF3CO2 allowed us to calculate the second-order rate constants k2 for the attack of the iminium ion 3a at the pyrroles 12a12f, and Figure 9 shows that the observed rate constants agree, within a factor of five, with those calculated by using Equation 1.

[1860-5397-8-166-9]

Figure 9: Comparison of calculated and experimental rate constants of electrophilic aromatic substitutions with iminium ions [56].

We consider this agreement remarkable, as the E parameter for 3a has been derived from rate constants with a large variety of nucleophiles [37] and the N and sN parameters of the pyrroles 12a12f have been derived from their reactivities toward benzhydrylium ions [57]. As Equation 1 is employed for calculating absolute rate constants k2 in a reactivity range of 40 orders of magnitude with only three parameters, N, sN, and E, one generally has to tolerate deviations up to factors of 10 to 100 [2,3,5].

However, an even better agreement between calculated and experimental values was observed for the reactions of 3a with imidazoles 15 (Figure 10) [58].

[1860-5397-8-166-10]

Figure 10: Aza-Michael additions of the imidazoles 15 with the iminium ion 3a [58].

These additions are highly reversible, however, and the adducts could only be isolated when the reaction mixtures containing 16 (for R2 = H) were worked up with dry K2CO3. Aqueous workup led to regeneration of the reactants. Vicario’s report that imidazoles, in contrast to triazoles and tetrazoles, do not readily undergo iminium activated additions to α,β-unsaturated aldehydes can thus be explained by the low acidity of imidazolium ions [59]. Unlike triazolium and tetrazolium ions, imidazolium ions are unable to transfer a proton to the enamine unit in 16 (corresponding to 5 in the general Figure 2), which is necessary to close the catalytic cycle shown in Figure 2 [60].

General base catalysis appeared also to be essential for iminium activated reactions of α,β-unsaturated aldehydes with enamides 17. By studying the kinetics of the reactions of enamides 17 with benzhydrylium ions 18 (Figure 11) we determined the reactivity parameters N and sN for these π-nucleophiles, which are listed in Figure 12 [61].

[1860-5397-8-166-11]

Figure 11: Plots of log k2 for the reactions of enamides 17a17e with the benzhydrylium ions 18a–d in CH3CN at 20 °C versus the electrophilicity parameters (E).

Figure 12 shows that the nucleophilicities N of the enamides 17 are comparable to those of silylated enol ethers, in between those of allylsilanes and enamines. Accordingly, we expected them to react readily with the iminium ions 3 at room temperature.

[1860-5397-8-166-12]

Figure 12: Comparison of the nucleophilicities of enamides 17 with those of several other C nucleophiles (solvent is CH3CN unless otherwise mentioned, N values taken from [4,61]).

However, when the iminium triflates or hexafluorophosphates 3a and 3b (~ 5 × 10–5 M) were combined with 25 equivalents of the enamides 17b and 17g in CH2Cl2 or CH3CN, no consumption of the iminium ions was observed [61]. These reactions took place in the presence of 2,6-lutidine, however, indicating the need of general base assistance. By studying the kinetics of these reactions in the presence of variable concentrations of 2,6-lutidine, we were able to determine k2, the rate constant for the attack of the iminium ions 3 at the enamides 17. As shown in Figure 13, the rate constants thus determined, agree within a factor of 3 with those calculated by Equation 1 using the N and sN parameters of enamides 17, which have been derived from their reactions with the benzhydrylium ions 18 (Figure 11 and Figure 12) [61].

[1860-5397-8-166-13]

Figure 13: Experimental and calculated rate constants k2 for the reactions of 17b and 17g with 3a and 3b in the presence of 2,6-lutidine in CH2Cl2 at 20 °C [61].

These observations explain why strong acids, such as p-TsOH, proved not to be suitable cocatalysts for iminium activated reactions of α,β-unsaturated aldehydes with enamides [62]. The demonstration of general base catalysis for these reactions furthermore rules out Hayashi’s proposal of a concerted ene reaction for the formation of tetrahydropyridines by the diphenylprolinol-catalyzed reaction of α,β-unsaturated aldehydes with enamides [52] and is in line with Wang’s stepwise mechanism with initial formation of 19 [62].

In view of the high nucleophilicities of sulfur ylides [63], we were surprised by MacMillan’s statement that iminium ions derived from the imidazolidinones 1a and 1b (for structures, see Figure 16) were inert to the ylide 21 [49]. When we combined the pregenerated iminium salts 3ae with the sulfur ylide 21, the expected cyclopropanes 23 were indeed formed in good yield, although with low diastereo- and enantioselectivity (Figure 14) [64].

[1860-5397-8-166-14]

Figure 14: Comparison between experimental and calculated (Equation 1) cyclopropanation rate constants [64].

Even the rate constants calculated by Equation 1 agreed, within the general tolerance, with the experimental values; with one exception. The iminium intermediate derived from indole-2-carboxylic acid (3g) reacted at least 105 times faster with the sulfur ylide 21 than calculated by Equation 1, which can be explained by electrostatic activation as initially proposed by MacMillan (Figure 15) [49].

[1860-5397-8-166-15]

Figure 15: Electrostatic activation of iminium activated cyclopropanations with sulfur ylides.

Thus, the failure of the imidazolidinones 1a and 1b to catalyze cyclopropanations with the sulfur ylide 21 is not due to the low reactivities of sulfur ylides toward iminium ions, but is due to the high Brønsted basicity of the sulfur ylides 24, which leads to deprotonation of the imidazolidinium ions 1-H+ and inhibition of the formation of the iminium ions 3 (Figure 16) [64].

[1860-5397-8-166-16]

Figure 16: Sulfur ylides inhibit the formation of iminium ions.

Enamine activated reactions

When proline catalysis and related amino-acid catalyzed reactions are excluded, the catalytic cycle depicted in Figure 17 represents the generally accepted mechanism for enamine activated reactions [65-71]. A key-step, not necessarily the rate-determining step, is the attack of an electrophile 29 at the enamine 28, at the bottom of Figure 17 [72].

[1860-5397-8-166-17]

Figure 17: Enamine activation [65].

In order to calculate the rate constant for this step by Equation 1 one needs the reactivity parameters N and sN for the enamines 28 and the electrophilicity parameter E for the electrophiles 29.

The electrophilicity parameters for the Michael acceptors, stabilized carbenium ions, and azodicarboxylates shown in Figure 18 have been derived from the kinetics of their reactions with C-nucleophiles, mostly stabilized carbanions [4,73-80].

[1860-5397-8-166-18]

Figure 18: Electrophilicity parameters E for classes of compounds that have been used as electrophilic substrates in enamine activated reactions [4,73-80].

As illustrated in Figure 19, the benzhydrylium methodology was again employed for the determination of the nucleophilicities of enamines. Whereas the enamine 32b, which is derived from the diphenylprolinol silyl ether [81], had previously been synthesized and characterized (X-ray structure) by Seebach et al. [30], neat samples of the imidazolidinone-derived enamines 32c32e became only recently available by TsOH-catalyzed condensation of phenylacetaldehyde with the corresponding imidazolidinones and column chromatography on silica gel. The presence of triethylamine (5%) in the eluent (ethyl acetate/n-pentane) turned out to be crucial to avoid decomposition of these enamines on the column [82,83].

[1860-5397-8-166-19]

Figure 19: Quantification of the nucleophilic reactivities of the enamines 32ae in acetonitrile (20 °C) [83]; a definition of the Dunitz pyramidalization Δ is given in [84].

Kinetic studies of their reactions with benzhydrylium ions 18 of suitable electrophilicity showed that introduction of the (Me3SiO)Ph2C-group in the 2-position of the pyrrolidine ring of N-(β-styryl)pyrrolidine caused a reduction of reactivity by a factor of 30 to 60 (32a versus 32b). A reduction of nucleophilicity by three to five orders of magnitude is encountered for the enamines 32c32e (Figure 19). The low nucleophilicities of the imidazolidinone derived enamines, which are in line with the larger 13C NMR chemical shifts of C-2 in 32d (101.9 ppm) and 32e (102.9 ppm) compared to that of C-2 in 32a (97.4 ppm), are not only due to the electron-withdrawing effect of the additional heteroatoms in the heterocyclic rings [83]. An additional factor is shown in Figure 19: While the enamine nitrogen is almost planar in 32b, it becomes pyramidalized in the enamines 32c and 32e and thus has a weaker electron-donating effect because of the reduced overlap between the nitrogen lone-pair and the πC–C-bond.

Combination of the data in Figure 18 and Figure 19 now explains why the Jørgensen-Hayashi diphenylprolinol trimethylsilyl ether [81], the precursor of 32b, and structurally related pyrrolidines have previously been employed for catalyzing the reactions of aldehydes and ketones with weak electrophiles, such as β-nitrostyrene (E = –13.9) [85] or di-tert-butyl azodicarboxylate (E = –12.2) [86]. The less basic imidazolidinones, which yield the less nucleophilic enamines 32d and 32e, are suitable catalysts for reactions with stronger electrophiles, such as the chlorinating agent 2,3,4,5,6,6-hexachlorocyclohexan-2,4-dien-1-one (E = –6.75) [87] and, in particular, stabilized carbocations, which are generated in situ from the corresponding alcohols under weakly acidic conditions [14,88,89]. Suggestions for further promising electrophilic reaction partners in enamine activated reactions [90] can be derived from the electrophilicity scales in [4].

When proline or structurally related bifunctional catalysts are employed, the mechanism depicted in Figure 17 has to be modified. List and Houk explained the high enantioselectivity of proline catalyzed reactions of aldehydes or ketones with electrophiles by the transition state TS-A in Figure 20, in which the electrophile is activated by the proton of the carboxy group [71]. The formation of oxazolidinones, the only observable intermediates of this reaction cascade, was considered to be an unproductive dead end [70]. On the other hand, Seebach and Eschenmoser raised the question of whether oxazolidinones, rather than being “parasitic species”, may also play a decisive role in determining the stereochemical course of proline-catalyzed reactions. In order to account for the observed stereoselectivities, it was suggested that TS-B is favored over the stereoelectronically preferred TS-C, because it yields the more stable oxazolidinone [91].

[1860-5397-8-166-20]

Figure 20: Proposed transition states for the stereogenic step in proline-catalyzed reactions.

Figure 21 shows that the enaminocarboxylate 33 reacts 50 to 60 times faster with benzhydrylium ions than pyrrolidinocyclohexene 36 and even 800 to 900 times faster than the methyl ester 37 [92].

[1860-5397-8-166-21]

Figure 21: Kinetic evidence for the anchimeric assistance of the electrophilic attack by the carboxylate group. The hydrolysis product (R)-35 was obtained with 25% ee from the reaction of 33 (counterion: protonated DBU) with 18a-BF4 (Ar = 4-Me2N-C6H4) in MeCN after aqueous workup [92].

We consider the high rates of the reactions of 33 with benzhydrylium ions 18 as evidence for anchimeric assistance by the carboxylate group. As only part of the accelerating effect of the CO2 group can be due to Coulomb attraction, the formation of the C–O bond of the oxazolidone 34 is concluded to occur concomitantly with the formation of the C–C bond. The observation that β-nitrostyrene, a neutral electrophile, also reacts 102 times faster with 33 than with 36 also excludes Coulomb attraction to be the major factor for the high reactivity of 33. On the other hand, di-tert-butyl azodicarboxylate reacts only six times faster with 33 than with 36, showing that the magnitude of the anchimeric assistance depends largely on the nature of the electrophile.

The data in Figure 21 thus suggest that the oxazolidinones 34 are formed in the stereodifferentiating step when enaminecarboxylate anions are the effective nucleophiles. However, our observations do not affect the rationalization of the stereoselectivities of proline-catalyzed reactions by TS-A when the electrophilic attack occurs at an enaminocarboxylic acid. Blackmond’s observation of a change of enantioselectivity by added bases is in line with our interpretations [93].

Quantitative aspects of N-heterocyclic carbene (NHC) catalysis

As the following discussion will focus on the difference between the kinetic term “nucleophilicity” and the thermodynamic term “Lewis basicity”, let us first illustrate this aspect by comparing the behavior of two well-known organocatalysts, 1,4-diazabicyclo[2.2.2]octane (DABCO, 38) and (4-dimethylamino)pyridine (DMAP, 39). As shown in Figure 22, DABCO (38) reacts approximately 103 times faster with benzhydrylium ions than DMAP (39), i.e., DABCO (38) is considerably more nucleophilic than DMAP (39) [94].

[1860-5397-8-166-22]

Figure 22: Differentiation of nucleophilicity and Lewis basicity (in acetonitrile at 20 °C): Rate (left) and equilibrium constants (right) for the reactions of amines with benzhydrylium ions [94,95].

On the other hand, the equilibrium constant for the formation of the Lewis acid–Lewis base adduct with 18g is 160 times smaller for DABCO (38) than for DMAP (39), i.e., DABCO (38) is a significantly weaker Lewis base than DMAP (39). We have previously discussed that it is the higher reorganization energy for the reaction of DMAP (39) that is responsible for the higher intrinsic barrier and subsequently the lower nucleophilicity of DMAP (39) [94].

The upper part of Figure 23 compares the relative rates for the reactions of various organocatalysts (in THF) with the benzhydrylium ion 18e and the structurally related quinone methide 18k. This comparison reveals that the nucleophilicities of the NHCs 4143 do not differ fundamentally from those of other organocatalysts, e.g., triphenylphosphine (10b), DMAP (39), and DABCO (38) [96].

[1860-5397-8-166-23]

Figure 23: NHCs 41, 42, and 43 are moderately active nucleophiles and exceptionally strong Lewis bases (methyl cation affinity, MCA, was calculated for the reaction CH3+ + Nu → CH3–Nu+ on MP2/6-31+G(d,p)//B98/6-31G(d) level of theory) [96].

The considerably lower nucleophilicity of the triazolylidene 43 compared with the imidazolylidene 42 can be explained by the inductive electron withdrawal of the extra nitrogen in the triazol derivative 43. The similar nucleophilicities of the imidazole- and imidazolidine-derived carbenes 42 and 41 are, at first glance, surprising and will be discussed below. The lower part of Figure 23 illustrates that all three NHCs, 41, 42, and 43, react quantitatively with the quinone methide 18k, while none of the other Lewis bases, despite their similar nucleophilicities, gives an adduct. The resulting conclusion, that all NHCs are significantly stronger Lewis bases than PPh3 (10b), DMAP (39), and DABCO (38), is confirmed by quantum chemical calculations: The methyl cation affinities (MCAs) of the three carbenes 4143 are 100–200 kJ mol–1 higher than those of the other Lewis bases in Figure 23 [96].

As the carbenes 41 and 42 have almost identical nucleophilicities and Lewis basicities, the question arose as to why imidazolidine-2-ylidenes (for example, 41) have rarely been used as organocatalysts, while unsaturated NHCs (for example, 42) have been reported to catalyze a large variety of reactions [97-104]. Can the difference be explained by the properties of the Breslow intermediates [105]? To address this question, the deoxy Breslow intermediates 45 [106-108] were synthesized by reactions of the NHCs 4143 with benzyl bromides and subsequent deprotonation of the resulting amidinium ions.

The linear correlations in Figure 24 show that the nucleophilic reactivities of the so-called deoxy Breslow intermediates 45af can be described by Equation 1 [107]. In contrast to the situation described for the NHCs in Figure 23, the benzylidene-imidazolines 45a,d are now 103 times more nucleophilic than the corresponding benzylidene-imidazolidines 45c,f (Figure 24 and Figure 25a).

[1860-5397-8-166-24]

Figure 24: Nucleophilic reactivities of the deoxy Breslow intermediates 45 in THF at 20 °C [107].

[1860-5397-8-166-25]

Figure 25: Comparison of the proton affinities (PA, from [107]) of the diaminoethylenes 47a–c with the methyl cation affinities (MCA, from [96]) of the corresponding carbenes 49ac (in kJ mol–1, MP2/6-31+G(2d,p)//B98/6-31G(d)), and the NICS(1) values of 4749 (B3LYP/6-311+G(d)) (from [107]).

The different behavior was analyzed by quantum chemical calculations (Figure 25b). In the same way that the nucleophilicity order of the carbenes (4142 > 43, Figure 23) parallels the order of the Lewis basicities (methyl cation affinities) of the model compounds (49c49a > 49b, Figure 25b bottom), the nucleophilicity order of the deoxy Breslow intermediates (45a > 45b > 45c, Figure 25a) also mirrors the order of the proton affinities of the model compounds (47a > 47b > 47c, Figure 25b, top) [107].

A rationalization for the different sequence in the two series can be derived from the nucleus-independent chemical shifts (NICS) [109-111], which are considered to be a measure of aromaticity. In agreement with the almost equal lengths of the exocyclic C–C bonds in 45a (136.1 pm) and 45c (135.4 pm), as determined by X-ray crystallography, none of the two heterocyclic rings in 47a and 47c shows aromatic character (NICS(1)). However, while the electrophilic addition to the exocyclic double bond of 47a yields the cyclic conjugated 6π system in 48a, the analogous electrophilic addition to 47c yields the nonaromatic amidinium ion 48c. The high nucleophilicity of 45a, which is mirrored by the high proton affinity of 47a, can thus be explained by the gain of aromaticity during electrophilic attack. The same line of arguments can be used to rationalize the higher nucleophilicities and basicities of the triazoline derivatives 45b and 47b, respectively [107].

As the unsaturated carbenes 49a and 49b have already a similar aromatic character as the azolium ions 48a and 48b generated by protonation, unsaturated carbenes neither show higher basicity nor higher nucleophilicity than their saturated analogues [107].

Are the properties of the deoxy Breslow intermediates also representative for the real Breslow intermediates? As shown by Berkessel and co-workers [112], Breslow intermediates generally exist as the keto tautomers 51, and attempts to generate their O-silylated derivatives 52 have failed (Figure 26).

[1860-5397-8-166-26]

Figure 26: Berkessel’s synthesis of a Breslow intermediate (51, keto tautomer) from carbene 43 [112].

In order to get closer to the actual Breslow intermediates than in Rovis’ aza-Breslow intermediates [113], we synthesized and isolated the O-methylated Breslow intermediates 55ac, 57, and 59 as described in Figure 27 [114]. Some of them were characterized by single-crystal X-ray crystallography.

[1860-5397-8-166-27]

Figure 27: Synthesis of O-methylated Breslow intermediates [114].

Kinetic studies of their reactions with benzhydrylium ions provided their reactivity parameters N and sN [114], and Figure 28 compares the relative reactivities of O-methylated and deoxy-Breslow intermediates toward the bis-pyrrolidino-substituted benzhydrylium ion 18l. Comparison of the left and the central column shows that the O-methylated Breslow intermediates 55b and 59 are 102 times less reactive than their deoxy analogues 61 and 45b, respectively. Obviously, the transition state is more affected by the destabilization of the cationic adduct due to the inductive electron-withdrawing effect than by the +M-effect of the methoxy group, which raises the HOMO of the reactants. Replacement of the sulfur atom in the benzothiazole by a NCH3 group (55b55c) shows that imidazole derivatives are approximately four orders of magnitude more reactive than structurally analogous thiazole derivatives, which can, again, be assigned to the different electronegativities of sulfur and nitrogen.

[1860-5397-8-166-28]

Figure 28: Relative reactivities of deoxy- and O-methylated Breslow intermediates [114].

Conclusion

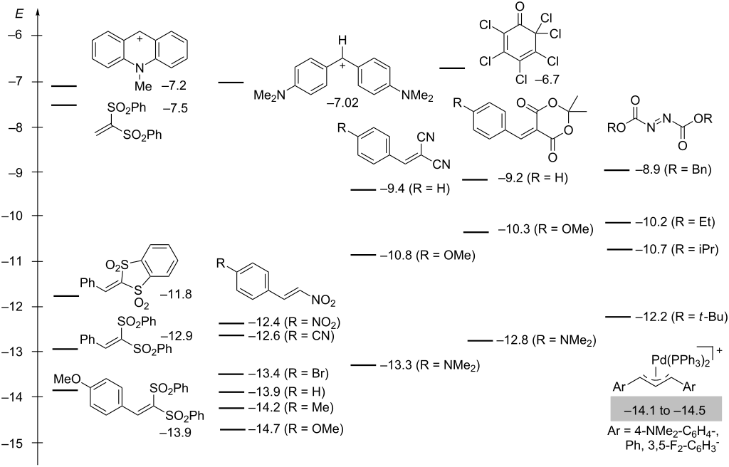
Organocatalytic reactions are complex multicomponent reactions, and a detailed description of the kinetics of the complete catalytic cycles is not yet possible. We have demonstrated, however, that important information can be obtained by specifically synthesizing relevant intermediates and studying the kinetics of their reactions with nucleophiles or electrophiles. By including them in our comprehensive electrophilicity and nucleophilicity scales (Figure 29), it has become possible to settle mechanistic controversies and to explore the scope of substrates suitable for iminium as well as for enamine activated reactions.

[1860-5397-8-166-29]

Figure 29: Reactivity scales for electrophiles and nucleophiles relevant for organocatalytic reactions (references and further reactivity parameters: [4]).

Rate and equilibrium studies of the reactions of N-heterocyclic carbenes and the corresponding deoxy Breslow intermediates showed that N-heterocyclic carbenes have similar nucleophilicities as other frequently employed organocatalysts, but are much stronger Lewis bases. The 103 times higher nucleophilicities of benzylidene-imidazolines compared with benzylidene-imidazolidines explain why imidazol-2-ylidenes but not imidazolidine-2-ylidenes are commonly used organocatalysts.

Acknowledgements

We thank the Deutsche Forschungsgemeinschaft (Schwerpunktprogramm 1179 Organokatalyse / Priority Program 1179 Organocatalysis 2004–2010 and SFB 749) for financial support.

References

  1. Mayr, H.; Patz, M. Angew. Chem., Int. Ed. Engl. 1994, 33, 938–957. doi:10.1002/anie.199409381
    Return to citation in text: [1]
  2. Mayr, H.; Bug, T.; Gotta, M. F.; Hering, N.; Irrgang, B.; Janker, B.; Kempf, B.; Loos, R.; Ofial, A. R.; Remennikov, G.; Schimmel, H. J. Am. Chem. Soc. 2001, 123, 9500–9512. doi:10.1021/ja010890y
    Return to citation in text: [1] [2]
  3. Mayr, H.; Ofial, A. R. J. Phys. Org. Chem. 2008, 21, 584–595. doi:10.1002/poc.1325
    Return to citation in text: [1] [2]
  4. For a comprehensive database of nucleophilicity parameters N and sN as well as electrophilicity parameters E, see http://www.cup.uni-muenchen.de/oc/mayr/DBintro.html.
    Return to citation in text: [1] [2] [3] [4] [5] [6]
  5. Mayr, H. Angew. Chem., Int. Ed. 2011, 50, 3612–3618. doi:10.1002/anie.201007923
    Return to citation in text: [1] [2]
  6. Boess, E.; Schmitz, C.; Klussmann, M. J. Am. Chem. Soc. 2012, 134, 5317–5325. doi:10.1021/ja211697s
    Return to citation in text: [1]
  7. Horn, M.; Mayr, H.; Lacôte, E.; Merling, E.; Deaner, J.; Wells, S.; McFadden, T.; Curran, D. P. Org. Lett. 2012, 14, 82–85. doi:10.1021/ol202836p
    Return to citation in text: [1]
  8. Park, S. J.; Price, J. R.; Todd, M. H. J. Org. Chem. 2012, 77, 949–955. doi:10.1021/jo2021373
    Return to citation in text: [1]
  9. Brown, A. R.; Kuo, W.-H.; Jacobsen, E. N. J. Am. Chem. Soc. 2010, 132, 9286–9288. doi:10.1021/ja103618r
    Return to citation in text: [1]
  10. Beaver, M. G.; Billings, S. B.; Woerpel, K. A. J. Am. Chem. Soc. 2008, 130, 2082–2086. doi:10.1021/ja0767783
    Return to citation in text: [1]
  11. Krumper, J. R.; Salamant, W. A.; Woerpel, K. A. Org. Lett. 2008, 10, 4907–4910. doi:10.1021/ol8019956
    Return to citation in text: [1]
  12. Krumper, J. R.; Salamant, W. A.; Woerpel, K. A. J. Org. Chem. 2009, 74, 8039–8050. doi:10.1021/jo901639b
    Return to citation in text: [1]
  13. Beaver, M. G.; Woerpel, K. A. J. Org. Chem. 2010, 75, 1107–1118. doi:10.1021/jo902222a
    Return to citation in text: [1]
  14. Cozzi, P. G.; Benfatti, F.; Zoli, L. Angew. Chem., Int. Ed. 2009, 48, 1313–1316. doi:10.1002/anie.200805423
    Return to citation in text: [1] [2]
  15. Cozzi, P. G.; Benfatti, F. Angew. Chem., Int. Ed. 2010, 49, 256–259. doi:10.1002/anie.200905235
    Return to citation in text: [1]
  16. Amiralaei, S.; Gauld, J.; Green, J. R. Chem.–Eur. J. 2011, 17, 4157–4165. doi:10.1002/chem.201002685
    Return to citation in text: [1]
  17. Barluenga, J.; Vázquez-Villa, H.; Merino, I.; Ballesteros, A.; González, J. M. Chem.–Eur. J. 2006, 12, 5790–5805. doi:10.1002/chem.200501505
    Return to citation in text: [1]
  18. Matsumoto, K.; Suga, S.; Yoshida, J.-i. Org. Biomol. Chem. 2011, 9, 2586–2596. doi:10.1039/C0OB01070G
    Return to citation in text: [1]
  19. Mayr, H.; Ofial, A. R. Angew. Chem., Int. Ed. 2006, 45, 1844–1854. doi:10.1002/anie.200503273
    Return to citation in text: [1]
  20. Mayr, H.; Breugst, M.; Ofial, A. R. Angew. Chem., Int. Ed. 2011, 50, 6470–6505. doi:10.1002/anie.201007100
    Return to citation in text: [1]
  21. Schaller, H. F.; Tishkov, A. A.; Feng, X.; Mayr, H. J. Am. Chem. Soc. 2008, 130, 3012–3022. doi:10.1021/ja0765464
    Return to citation in text: [1]
  22. Mayr, H.; Ofial, A. R. Pure Appl. Chem. 2009, 81, 667–683. doi:10.1351/PAC-CON-08-08-26
    Return to citation in text: [1]
  23. Lelais, G.; MacMillan, D. W. C. Aldrichimica Acta 2006, 39, 79–87.
    http://www.sigmaaldrich.com/etc/medialib/docs/Aldrich/Acta/al_acta_39_3.pdf
    Return to citation in text: [1] [2]
  24. Erkkilä, A.; Majander, I.; Pihko, P. M. Chem. Rev. 2007, 107, 5416–5470. doi:10.1021/cr068388p
    Return to citation in text: [1] [2]
  25. MacMillan, D. W. C. Nature 2008, 455, 304–308. doi:10.1038/nature07367
    Return to citation in text: [1] [2]
  26. List, B. Chem. Rev. 2007, 107, 5413–5415. doi:10.1021/cr078412e
    Return to citation in text: [1] [2]
  27. List, B. Angew. Chem., Int. Ed. 2010, 49, 1730–1734. doi:10.1002/anie.200906900
    Return to citation in text: [1] [2]
  28. Melchiorre, P.; Marigo, M.; Carlone, A.; Bartoli, G. Angew. Chem., Int. Ed. 2008, 47, 6138–6171. doi:10.1002/anie.200705523
    Return to citation in text: [1] [2]
  29. Brazier, J. B.; Evans, G.; Gibbs, T. J. K.; Coles, S. J.; Hursthouse, M. B.; Platts, J. A.; Tomkinson, N. C. O. Org. Lett. 2009, 11, 133–136. doi:10.1021/ol802512y
    Return to citation in text: [1]
  30. Seebach, D.; Grošelj, U.; Badine, D. M.; Schweizer, W. B.; Beck, A. K. Helv. Chim. Acta 2008, 91, 1999–2034. doi:10.1002/hlca.200890216
    Return to citation in text: [1] [2]
  31. Grošelj, U.; Schweizer, W. B.; Ebert, M.-O.; Seebach, D. Helv. Chim. Acta 2009, 92, 1–13. doi:10.1002/hlca.200800432
    Return to citation in text: [1]
  32. Grošelj, U.; Seebach, D.; Badine, D. M.; Schweizer, W. B.; Beck, A. K.; Krossing, I.; Klose, P.; Hayashi, Y.; Uchimaru, T. Helv. Chim. Acta 2009, 92, 1225–1259. doi:10.1002/hlca.200900179
    Return to citation in text: [1]
  33. Seebach, D.; Grošelj, U.; Badine, D. M.; Schweizer, W. B.; Grimme, S.; Mück-Lichtenfeld, C. Helv. Chim. Acta 2010, 93, 1–16. doi:10.1002/hlca.200900376
    Return to citation in text: [1]
  34. Seebach, D.; Gilmour, R.; Grošelj, U.; Deniau, G.; Sparr, C.; Ebert, M.-O.; Beck, A. K.; McCusker, L. B.; Šišak, D.; Uchimaru, T. Helv. Chim. Acta 2010, 93, 603–634. doi:10.1002/hlca.201000069
    Return to citation in text: [1]
  35. Lakhdar, S.; Tokuyasu, T.; Mayr, H. Angew. Chem., Int. Ed. 2008, 47, 8723–8726. doi:10.1002/anie.200802889
    Return to citation in text: [1] [2] [3] [4] [5]
  36. Lakhdar, S.; Ofial, A. R.; Mayr, H. J. Phys. Org. Chem. 2010, 23, 886–892. doi:10.1002/poc.1737
    Return to citation in text: [1]
  37. Lakhdar, S.; Ammer, J.; Mayr, H. Angew. Chem., Int. Ed. 2011, 50, 9953–9956. doi:10.1002/anie.201103683
    Return to citation in text: [1] [2] [3]
  38. Alonso, E. O.; Johnston, L. J.; Scaiano, J. C.; Toscano, V. G. J. Am. Chem. Soc. 1990, 112, 1270–1271. doi:10.1021/ja00159a071
    Return to citation in text: [1]
  39. Alonso, E. O.; Johnston, L. J.; Scaiano, J. C.; Toscano, V. G. Can. J. Chem. 1992, 70, 1784–1794. doi:10.1139/v92-223
    Return to citation in text: [1]
  40. Shi, L.; Horn, M.; Kobayashi, S.; Mayr, H. Chem.–Eur. J. 2009, 15, 8533–8541. doi:10.1002/chem.200901246
    Return to citation in text: [1]
  41. Ammer, J.; Sailer, C. F.; Riedle, E.; Mayr, H. J. Am. Chem. Soc. 2012, 134, 11481–11494. doi:10.1021/ja3017522
    Return to citation in text: [1]
  42. Austin, J. F.; MacMillan, D. W. C. J. Am. Chem. Soc. 2002, 124, 1172–1173. doi:10.1021/ja017255c
    Return to citation in text: [1] [2] [3]
  43. Brazier, J. B.; Hopkins, G. P.; Jirari, M.; Mutter, S.; Pommereuil, R.; Samulis, L.; Platts, J. A.; Tomkinson, N. C. O. Tetrahedron Lett. 2011, 52, 2783–2785. doi:10.1016/j.tetlet.2011.03.129
    Return to citation in text: [1]
  44. Ahrendt, K. A.; Borths, C. J.; MacMillan, D. W. C. J. Am. Chem. Soc. 2000, 122, 4243–4244. doi:10.1021/ja000092s
    Return to citation in text: [1] [2]
  45. Paras, N. A. Enantioselective Organocatalytic Friedel–Crafts Alkylations of Heterocycles and Electron-Rich Benzenes. Ph.D. Thesis, Caltech, Pasadena, CA, 2004.
    http://thesis.library.caltech.edu/2353/1/NParas.pdf
    Return to citation in text: [1] [2]
  46. Paras, N. A.; MacMillan, D. W. C. J. Am. Chem. Soc. 2001, 123, 4370–4371. doi:10.1021/ja015717g
    Return to citation in text: [1] [2] [3]
  47. Brown, S. P.; Goodwin, N. C.; MacMillan, D. W. C. J. Am. Chem. Soc. 2003, 125, 1192–1194. doi:10.1021/ja029095q
    Return to citation in text: [1] [2]
  48. Lee, S.; MacMillan, D. W. C. J. Am. Chem. Soc. 2007, 129, 15438–15439. doi:10.1021/ja0767480
    Return to citation in text: [1] [2]
  49. Kunz, R. K.; MacMillan, D. W. C. J. Am. Chem. Soc. 2005, 127, 3240–3241. doi:10.1021/ja042774b
    Return to citation in text: [1] [2] [3] [4]
  50. Yang, J. W.; Hechavarria Fonseca, M. T.; Vignola, N.; List, B. Angew. Chem., Int. Ed. 2004, 44, 108–110. doi:10.1002/anie.200462432
    Return to citation in text: [1] [2]
  51. Ouellet, S. G.; Tuttle, J. B.; MacMillan, D. W. C. J. Am. Chem. Soc. 2005, 127, 32–33. doi:10.1021/ja043834g
    Return to citation in text: [1] [2]
  52. Hayashi, Y.; Gotoh, H.; Masui, R.; Ishikawa, H. Angew. Chem., Int. Ed. 2008, 47, 4012–4015. doi:10.1002/anie.200800662
    Return to citation in text: [1] [2] [3]
  53. Mayr, H.; Ofial, A. R.; Sauer, J.; Schmied, B. Eur. J. Org. Chem. 2000, 2013–2020. doi:10.1002/1099-0690(200006)
    Return to citation in text: [1]
  54. Lemay, M.; Ogilvie, W. W. Org. Lett. 2005, 7, 4141–4144. doi:10.1021/ol051476w
    Return to citation in text: [1]
  55. Marcoux, D.; Bindschädler, P.; Speed, A. W. H.; Chiu, A.; Pero, J. E.; Borg, G. A.; Evans, D. A. Org. Lett. 2011, 13, 3758–3761. doi:10.1021/ol201448h
    Return to citation in text: [1]
  56. Lakhdar, S.; Mayr, H. Chem. Commun. 2011, 47, 1866–1868. doi:10.1039/C0CC04295A
    Return to citation in text: [1] [2]
  57. Nigst, T. A.; Westermaier, M.; Ofial, A. R.; Mayr, H. Eur. J. Org. Chem. 2008, 2369–2374. doi:10.1002/ejoc.200800092
    Return to citation in text: [1]
  58. Lakhdar, S.; Baidya, M.; Mayr, H. Chem. Commun. 2012, 48, 4504–4506. doi:10.1039/C2CC31224G
    Return to citation in text: [1] [2]
  59. Uria, U.; Vicario, J. L.; Badia, D.; Carrillo, L. Chem. Commun. 2007, 2509–2511. doi:10.1039/B700831G
    Return to citation in text: [1]
  60. Enders, D.; Wang, C.; Liebich, J. X. Chem.–Eur. J. 2009, 15, 11058–11076. doi:10.1002/chem.200902236
    Example for a comprehensive review on organocatalytic aza-Michael additions.
    Return to citation in text: [1]
  61. Maji, B.; Lakhdar, S.; Mayr, H. Chem.–Eur. J. 2012, 18, 5732–5740. doi:10.1002/chem.201103519
    Return to citation in text: [1] [2] [3] [4] [5]
  62. Zu, L.; Xie, H.; Li, H.; Wang, J.; Yu, X.; Wang, W. Chem.–Eur. J. 2008, 14, 6333–6335. doi:10.1002/chem.200800829
    Return to citation in text: [1] [2]
  63. Appel, R.; Hartmann, N.; Mayr, H. J. Am. Chem. Soc. 2010, 132, 17894–17900. doi:10.1021/ja1084749
    Return to citation in text: [1]
  64. Lakhdar, S.; Appel, R.; Mayr, H. Angew. Chem., Int. Ed. 2009, 48, 5034–5037. doi:10.1002/anie.200900933
    Return to citation in text: [1] [2] [3]
  65. Mukherjee, S.; Yang, J. W.; Hoffmann, S.; List, B. Chem. Rev. 2007, 107, 5471–5569. doi:10.1021/cr0684016
    Return to citation in text: [1] [2]
  66. Bertelsen, S.; Jørgensen, K. A. Chem. Soc. Rev. 2009, 38, 2178–2189. doi:10.1039/B903816G
    Return to citation in text: [1]
  67. Sulzer-Mossé, S.; Alexakis, A. Chem. Commun. 2007, 3123–3135. doi:10.1039/B701216K
    Return to citation in text: [1]
  68. Iwamura, H.; Wells, D. H.; Mathew, S. P.; Klussmann, M.; Armstrong, A.; Blackmond, D. G. J. Am. Chem. Soc. 2004, 126, 16312–16313. doi:10.1021/ja0444177
    Return to citation in text: [1]
  69. Clemente, F. R.; Houk, K. N. Angew. Chem., Int. Ed. 2004, 43, 5766–5768. doi:10.1002/anie.200460916
    Return to citation in text: [1]
  70. List, B.; Hoang, L.; Martin, H. J. Proc. Natl. Acad. Sci. U. S. A. 2004, 101, 5839–5842. doi:10.1073/pnas.0307979101
    Return to citation in text: [1] [2]
  71. Bahmanyar, S.; Houk, K. N.; Martin, H. J.; List, B. J. Am. Chem. Soc. 2003, 125, 2475–2479. doi:10.1021/ja028812d
    Return to citation in text: [1] [2]
  72. Bures, J.; Armstrong, A.; Blackmond, D. G. J. Am. Chem. Soc. 2011, 133, 8822–8825. doi:10.1021/ja203660r
    Return to citation in text: [1]
  73. Lemek, T.; Mayr, H. J. Org. Chem. 2003, 68, 6880–6886. doi:10.1021/jo0344182
    Return to citation in text: [1] [2]
  74. Kaumanns, O.; Mayr, H. J. Org. Chem. 2008, 73, 2738–2745. doi:10.1021/jo702590s
    Return to citation in text: [1] [2]
  75. Duan, X.-H.; Mayr, H. Org. Lett. 2010, 12, 2238–2241. doi:10.1021/ol100592j
    Return to citation in text: [1] [2]
  76. Kanzian, T.; Mayr, H. Chem.–Eur. J. 2010, 16, 11670–11677. doi:10.1002/chem.201001598
    Return to citation in text: [1] [2]
  77. Zenz, I.; Mayr, H. J. Org. Chem. 2011, 76, 9370–9378. doi:10.1021/jo201678u
    Return to citation in text: [1] [2]
  78. Troshin, K.; Mayer, P.; Mayr, H. Organometallics 2012, 31, 2416–2424. doi:10.1021/om3000357
    Return to citation in text: [1] [2]
  79. Asahara, H.; Mayr, H. Chem.–Asian J. 2012, 7, 1401–1407. doi:10.1002/asia.201101046
    Return to citation in text: [1] [2]
  80. Mayr, H.; Kempf, B.; Ofial, A. R. Acc. Chem. Res. 2003, 36, 66–77. doi:10.1021/ar020094c
    Return to citation in text: [1] [2]
  81. Jensen, K. L.; Dickmeiss, G.; Jiang, H.; Albrecht, Ł.; Jørgensen, K. A. Acc. Chem. Res. 2012, 45, 248–264. doi:10.1021/ar200149w
    Return to citation in text: [1] [2]
  82. Peelen, T. J.; Chi, Y.; Gellman, S. H. J. Am. Chem. Soc. 2005, 127, 11598–11599. doi:10.1021/ja0532584
    See for NMR spectroscopic identification of such enamines.
    Return to citation in text: [1]
  83. Lakhdar, S.; Maji, B.; Mayr, H. Angew. Chem., Int. Ed. 2012, 51, 5739–5742. doi:10.1002/anie.201201240
    Return to citation in text: [1] [2] [3]
  84. Dunitz, J. D. X-Ray Analysis and the Structure of Organic Molecules; Cornell University Press: London, 1979.
    Return to citation in text: [1]
  85. Hayashi, Y.; Gotoh, H.; Hayashi, T.; Shoji, M. Angew. Chem., Int. Ed. 2005, 44, 4212–4215. doi:10.1002/anie.200500599
    Return to citation in text: [1]
  86. Franzén, J.; Marigo, M.; Fielenbach, D.; Wabnitz, T. C.; Kjærsgaard, A.; Jørgensen, K. A. J. Am. Chem. Soc. 2005, 127, 18296–18304. doi:10.1021/ja056120u
    Return to citation in text: [1]
  87. Brochu, M. P.; Brown, S. P.; MacMillan, D. W. C. J. Am. Chem. Soc. 2004, 126, 4108–4109. doi:10.1021/ja049562z
    Return to citation in text: [1]
  88. Benfatti, F.; Capdevila, M. G.; Zoli, L.; Benedetto, E.; Cozzi, P. G. Chem. Commun. 2009, 5919–5921. doi:10.1039/B910185C
    Return to citation in text: [1]
  89. Benfatti, F.; Benedetto, E.; Cozzi, P. G. Chem.–Asian J. 2010, 5, 2047–2052. doi:10.1002/asia.201000160
    Return to citation in text: [1]
  90. Gualandi, A.; Emer, E.; Capdevila, M. G.; Cozzi, P. G. Angew. Chem., Int. Ed. 2011, 50, 7842–7846. doi:10.1002/anie.201102562
    Return to citation in text: [1]
  91. Seebach, D.; Beck, A. K.; Badine, D. M.; Limbach, M.; Eschenmoser, A.; Treasurywala, A. M.; Hobi, R.; Prikoszovich, W.; Lindner, B. Helv. Chim. Acta 2007, 90, 425–471. doi:10.1002/hlca.200790050
    Return to citation in text: [1]
  92. Kanzian, T.; Lakhdar, S.; Mayr, H. Angew. Chem., Int. Ed. 2010, 49, 9526–9529. doi:10.1002/anie.201004344
    Return to citation in text: [1] [2]
  93. Blackmond, D. G.; Moran, A.; Hughes, M.; Armstrong, A. J. Am. Chem. Soc. 2010, 132, 7598–7599. doi:10.1021/ja102718x
    Return to citation in text: [1]
  94. Baidya, M.; Kobayashi, S.; Brotzel, F.; Schmidhammer, U.; Riedle, E.; Mayr, H. Angew. Chem., Int. Ed. 2007, 46, 6176–6179. doi:10.1002/anie.200701489
    Return to citation in text: [1] [2] [3]
  95. Nigst, T.; Ammer, J.; Mayr, H. J. Phys. Chem. A 2012. doi:10.1021/jp3049247
    See for additional rate constants for DMAP which are not given in [94].
    Return to citation in text: [1]
  96. Maji, B.; Breugst, M.; Mayr, H. Angew. Chem., Int. Ed. 2011, 50, 6915–6919. doi:10.1002/anie.201102435
    Return to citation in text: [1] [2] [3] [4]
  97. Enders, D.; Niemeier, O.; Henseler, A. Chem. Rev. 2007, 107, 5606–5655. doi:10.1021/cr068372z
    Return to citation in text: [1]
  98. Marion, N.; Díez-González, S.; Nolan, S. P. Angew. Chem., Int. Ed. 2007, 46, 2988–3000. doi:10.1002/anie.200603380
    Return to citation in text: [1]
  99. Nair, V.; Vellalath, S.; Babu, B. P. Chem. Soc. Rev. 2008, 37, 2691–2698. doi:10.1039/B719083M
    Return to citation in text: [1]
  100. Chiang, P.-C.; Bode, J. W. In N-Heterocyclic Carbenes: From Laboratory Curiosities to Efficient Synthetic Tools; Díez-González, S., Ed.; Royal Society of Chemistry: Cambridge, 2011; pp 399–435.
    Return to citation in text: [1]
  101. Zeitler, Z. Angew. Chem., Int. Ed. 2005, 44, 7506–7510. doi:10.1002/anie.200502617
    Return to citation in text: [1]
  102. Moore, J. L.; Rovis, T. Top. Curr. Chem. 2010, 291, 77–144. doi:10.1007/128_2008_18
    Return to citation in text: [1]
  103. Nair, V.; Menon, R. S.; Biju, A. T.; Sinu, C. R.; Paul, R. R.; Jose, A.; Sreekumar, V. Chem. Soc. Rev. 2011, 40, 5336–5346. doi:10.1039/C1CS15139H
    Return to citation in text: [1]
  104. Biju, A. T.; Kuhl, N.; Glorius, F. Acc. Chem. Res. 2011, 44, 1182–1195. doi:10.1021/ar2000716
    Return to citation in text: [1]
  105. Breslow, R. J. Am. Chem. Soc. 1958, 80, 3719–3726. doi:10.1021/ja01547a064
    Return to citation in text: [1]
  106. Knappke, C. E. I.; Arduengo, A. J., III; Jiao, H.; Neudörfl, J.-M.; von Wangelin, J. A. Synthesis 2011, 3784–3795. doi:10.1055/s-0031-1289593
    Return to citation in text: [1]
  107. Maji, B.; Horn, M.; Mayr, H. Angew. Chem., Int. Ed. 2012, 51, 6231–6235. doi:10.1002/anie.201202327
    Return to citation in text: [1] [2] [3] [4] [5] [6] [7] [8]
  108. Biju, A. T.; Padmanaban, M.; Wurz, N. E.; Glorius, F. Angew. Chem., Int. Ed. 2011, 50, 8412–8415. doi:10.1002/anie.201103555
    Return to citation in text: [1]
  109. Schleyer, P. v. R.; Maerker, C.; Dransfeld, A.; Jiao, H.; van Eikema Hommes, N. J. R. J. Am. Chem. Soc. 1996, 118, 6317–6318. doi:10.1021/ja960582d
    Return to citation in text: [1]
  110. Matito, E.; Poater, J.; Solà, M.; Schleyer, P. v. R. In Chemical Reactivity Theory; Chattaraj, P. K., Ed.; CRC Press: Boca Raton, FL, 2009; pp 419–438.
    Return to citation in text: [1]
  111. Hollóczki, O.; Nyulászi, L. Org. Biomol. Chem. 2011, 9, 2634–2640. doi:10.1039/C1OB00007A
    Return to citation in text: [1]
  112. Berkessel, A.; Elfert, S.; Etzenbach-Effers, K.; Teles, J. H. Angew. Chem., Int. Ed. 2010, 49, 7120–7124. doi:10.1002/anie.200907275
    Return to citation in text: [1] [2]
  113. DiRocco, D. A.; Oberg, K. M.; Rovis, T. J. Am. Chem. Soc. 2012, 134, 6143–6145. doi:10.1021/ja302031v
    Return to citation in text: [1]
  114. Maji, B.; Mayr, H. Angew. Chem., Int. Ed. 2012. doi:10.1002/anie.201204524
    Return to citation in text: [1] [2] [3] [4]