Abstract
Regioselective construction of 4,8,9-trioxygenated 2,3-dihydrobenz[f]indenones, key intermediates for the synthesis of kinamycin antibiotics, was achieved via Diels-Alder reactions (DAR) using 4,7-dioxygenated indanone-type compounds as dienophiles. Reaction of indanetrione with 1-methoxybutadiene gave a 1 : 1 mixture of undesired 4,5,9-trioxygenated 2,3-dihydrobenz[f]indenone and [4.4.3]propellane. The addition of Lewis acid did not affect the product ratio, whereas the use of the 6-bromoindanetrione exclusively afforded the latter propellane. On the other hand, DAR of benzyne derived from bromoindan and furan gave 5,8-epoxy-2,3-dihydrobenz[f]indene, which was subjected to acid-induced ring opening to give 2,3-dihydrobenz[f]indenone with undesired 4,5,9-trioxy functions.
Graphical Abstract
Background
Kinamycins, isolated from Streptomyces murayamaensis sp. nov. Hata et Ohtani in 1970 [1-3], have attracted attention due to their antibiotic and antitumor activities [7-10]. These compounds had been originally characterized as cyanamides 1 with a linearly-fused 6-6-5-6 membered ring system [11,12]; however, the structure was revised to diazoalkanes 2 by spectroscopic means [13,14] and by total synthesis [15-17] (Figure 1). In our total synthesis of methyl-kinamycin C (3) [21], regioselective synthesis of 4,8,9-trioxygenated 2,3-dihydrobenz[f]indenone 4 [22] was a key issue, which was achieved via C ring construction with intramolecular Friedel-Crafts reaction of naphthalenepropanoic acid 5 (path A, Scheme 1) [23]. However, the utilization of a stoichiometric amount of expensive silver salt for the synthesis of bromonaphthalene 6 [24] hampered large-scale synthesis of 4. Towards a solution to this problem, we planned the synthesis of 4 via A-ring construction by DAR of indanone-type compounds and oxygenated dienes: i. e. 1) DAR of indanetrione 8 and 1-methoxy-1,3-butadiene (7) (path B; quinone route) [28]; 2) regioselective ring-opening of 5,8-epoxy-2,3-dihydrobenz[f]indenone 11 derived from benzyne 10 and furan (9) (path C, benzyne route). Now we report that both of the methods are effective for the construction of the 2,3-dihydrobenz[f]indenone skeleton, but not for the regioselective synthesis of the desired 4,8,9-trioxygenated ones.
Results and Discussion
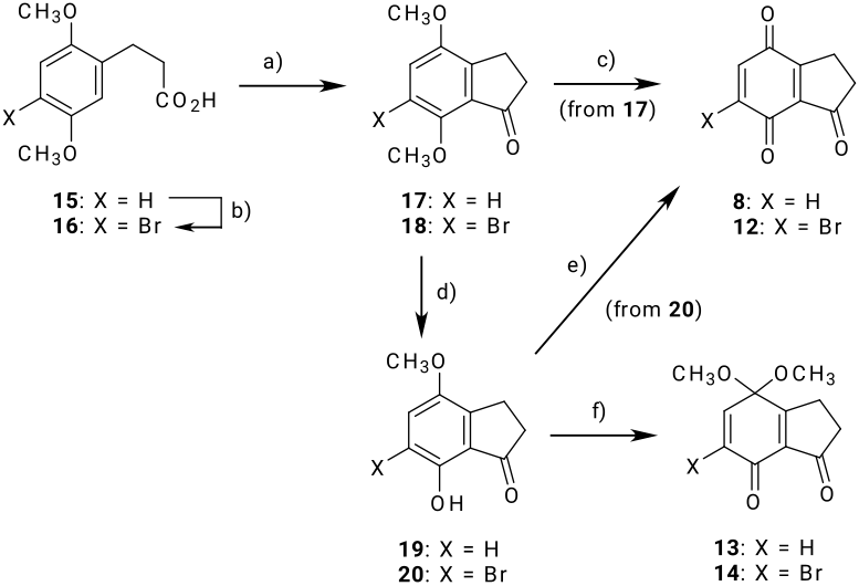
In the quinone route, we designed several indanetriones to modulate steric and electronic factors; i.e. 1,4,7-indanetrione 8, the 6-brominated quinone 12, and the corresponding 4-monoacetals 13 and 14 (Scheme 2). Intramolecular Friedel-Crafts reaction of 2,5-dimethoxybenzenepropanoic acid (15) and the 4-brominated derivative 16 [31], by a procedure modified from the synthesis of 4 [23], afforded the corresponding indanones 17 and 18. Cerium ammonium nitrate (CAN) oxidation [32] of indanone 17 smoothly afforded indanetrione 8, but attempts with bromoindanone 18 resulted in no reaction even under reflux. Utilization of a milder oxidant phenyliodosyl bis(trifluoroacetate) (PIFA) [33] for the oxidation of phenolic indanone 20, derived from 18 by selective demethylation with magnesium iodide (MgI2) [34], gave bromoquinone 12 after modification of the workup protocol without aqueous sodium bicarbonate. The PIFA oxidation of phenols 19 [35] and 20 in the presence of methanol gave the corresponding monoacetals 13 and 14.
Scheme 2: Synthesis of quinones 8 and 12 and the acetals 13 and 14. Reagents and conditions: a) P2O5, CH3SO3H, CH2Cl2 or CHCl3 (67% for 17, 71% for 18); b) bromine, 1,4-dioxane, H2O, rt, 2 h (68%); c) CAN, CH3CN, H2O, 0 °C, 30 min (65%); d) MgI2 · 6H2O, benzene, Dean-Stark (81% for 19, 96% for 20); e) PIFA, H2O, CH3CN, rt, 30 min (86%); f) PIFA, CH3OH, CH3CN, 0 °C (74% for 13, 92% for 14).
Scheme 2: Synthesis of quinones 8 and 12 and the acetals 13 and 14. Reagents and conditions: a) P2O5, CH3SO3H...
DAR of indanetrione 8 and 1-methoxy-1,3-butadiene (7) in dichloromethane (CH2Cl2) proceeded smoothly at −16 °C to give a 1 : 1 mixture of 2,3-dihydrobenz[f]indenone 21 and [4.4.3]propellane 22, produced by participation of the double bond at the ring junction in 8 (entry 1 in Table 1). Both compounds were obtained as single diastereoisomers. The former was determined as an undesired 5-methoxy derivative 21, the structure of which was deduced by HMBC correlations and NOE enhancement (Figure 2a). The latter structure 22 was also determined by HMBC and NOE experiments (Figure 2b); however, the relative configuration of the carbon connected to the methoxy group could not be determined because of lacking NOE data. Next, the effect of Lewis acid on the regioselectivity was examined. At first, zinc chloride (ZnCl2), an effective catalyst on DAR of benz[f]indenone and Danishefsky-type diene [21], was chosen. Addition of a catalytic amount of ZnCl2 at −78 °C did not affect the regioselectivity (entry 2). An increase in the amount of ZnCl2 led to the formation of a complex mixture containing a small amount of propellane 22 (entry 3). Next, instead of ZnCl2, which is only slightly soluble in CH2Cl2, boron trifluoride etherate (BF3 · OEt2) was applied as a soluble Lewis acid; however, similar results were obtained to those with ZnCl2 (entries 4, 5). Interestingly, when bromoquinone 12 was reacted under the conditions of entry 1, DAR at the ring junction proceeded exclusively to give bromopropellane 23 in high yield as the sole product (entry 6). The yield was slightly reduced and the regioselectivity was not affected in the reaction in the presence of a catalytic amount of BF3 · OEt2 (entry 7).
We next turned to the use of quinone monoacetals 13 and 14 as dienophiles [36]. No adduct was formed on reaction of 13 in CH2Cl2 without a catalyst at room temperature (rt) (entry 8), whereas refluxing in toluene gave deprotected propellane 22 (16%) together with phenol 19 (23%), a synthetic precursor of 13 (entry 9). Stirring bromoquinone monoacetal 14 in CH2Cl2 at rt yielded only a small amount of propellane 23 (entry 10). The regioselectivity and the yield were not improved by the addition of ZnCl2, from which the phenol 20 and propellane 23 were isolated in low yields as conversion products (entry 11). The desired 4,8,9-trioxygenated 2,3-dihydrobenz[f]indenone-type compound 24 was not obtained in any of the experiments.
Table 1: DARs of dienophiles 8, 12-14 and diene 7.
|
|||||
| Entry | Dienophile | Solvent | Additive | Conditions | Results |
|---|---|---|---|---|---|
| 1 | 8 | CH2Cl2 | - | −16 °C, 4 h | 21 (47%), 22 (42%)a |
| 2 | 8 | CH2Cl2 | ZnCl2 (0.14 eq) | −78 °C, 4 h | 21 : 22 = ca. 1 : 1b |
| 3 | 8 | CH2Cl2 | ZnCl2 (1 eq) | −78 °C, 2 h | 22 (9%)a |
| 4 | 8 | CH2Cl2 | BF3 · OEt2 (0.14 eq) | −78 °C, 2 h | 21 : 22 = ca. 0.8 : 1b, c |
| 5 | 8 | CH2Cl2 | BF3 · OEt2 (1 eq) | −78 °C, 2 h | CMd |
| 6 | 12 | CH2Cl2 | - | −16 °C, 4 h | 23 (89%)a |
| 7 | 12 | CH2Cl2 | BF3 · OEt2 (0.14 eq) | −78 °C, 2 h | 23 (57%)a |
| 8 | 13 | CH2Cl2 | - | rt, 8 h | NRe |
| 9f | 13 | toluene | - | 120 °C, 9 h | 19 (21%), 22 (16%)a |
| 10 | 14 | CH2Cl2 | - | rt, 6 h | 23 (4%)a |
| 11 | 14 | CH2Cl2 | ZnCl2 (0.20 eq) | rt, 2 h | 20 (15%), 23 (8%)a |
aIsolated yield(s). bEstimated by 1H NMR of crude product. c21 (4%) and 22 (11%) were isolated after column chromatography. dA complex mixture. eNo reaction. fPerformed in a sealed tube
Figure 2: Selected HMBC correlations (lines) and NOE enhancements (dash) on 21 (a) and on 22 (b).
Figure 2: Selected HMBC correlations (lines) and NOE enhancements (dash) on 21 (a) and on 22 (b).
Next, synthesis of 2,3-dihydrobenz[f]indenone via a benzyne route was examined by treatment of bromoindanone acetal 25, prepared from bromoindanone 18, with a base in the presence of furan (9) (Scheme 3). Application of Giles' protocol [41] using sodium amide as a base in the presence of a large excess amount (ca. 15 equivalents) of furan (9) in THF gave 5,8-epoxy-2,3-dihydrobenz[f]indene 26 in 3% yield together with recovery of the starting 25 (79%) (entry 1 in Table 2). The yield was still low (12%) under microwave irradiation (entry 2). The use of lithium diisopropylamide (LDA) [42] in THF slightly increased the yield of 26 to 25% (entry 3). Although no improvement was observed after increasing the quantity of the base (entry 4), the yield was slightly improved to 30% on decreasing the quantity of furan (9) to two equivalents (entry 5). Bases derived from tetramethylpiperidine (TMP) [43] were not effective (entries 6, 7). Thus, the desired improvement of the yield was not observed for the synthesis of the 5,8-epoxybenz[f]indene derivative 26; nevertheless, the ring-opening step was examined. Treatment of 26 with hydrochloric acid in a mixture of methanol and THF after deprotection of the ketal unit [41] afforded a ring-opened product 27 in 39% yield with recovery of epoxy ketone 11 (42%). The structure of 27 was determined to be the 5-hydroxylated compound, not 8-oxygenated isomer 28, by HMBC and NOE experiments (Figure 3).
Scheme 3: DAR of benzyne 10 and furan (9). Reagents and conditions: a) ethylene glycol, PPTS, benzene, reflux, 17 h (89%), b) conc. HCl, methanol, reflux, 19 h (50%); c) conc. HCl, methanol, THF, reflux, 38 h (39%, with recovery of 11 in 42%).
Scheme 3: DAR of benzyne 10 and furan (9). Reagents and conditions: a) ethylene glycol, PPTS, benzene, reflux...
Table 2: Effect of base on DAR of in situ formed benzyne 10 and furan (9).
| Entry | Base (equiv) | Furan (equiv) | Conditions | 26 (%)a | 25 Recovery (%)a |
|---|---|---|---|---|---|
| 1b | NaNH2 (4.0) | 16 | 50 °C, 14 h | 3 | 79 |
| 2c | NaNH2 (4.0) | 16 | 100 °C, 250 W, 150 psi, 1 h | 12 | 69 |
| 3 | LDA (1.0) | 14 | −78 °C – rt, 3 h | 25 | 53 |
| 4 | LDA (2.0) | 14 | −78 °C – rt, 3.5 h | 24 | 27 |
| 5 | LDA (1.0) | 2 | −78 °C – rt, 3.5 h | 30 | 39 |
| 6 | (CH3)2Zn(TMP)Li (2.2) | 2 | -78 °C – rt, 3.5 h, 50 °C, 3 h | NRd | |
| 7 | LiTMP (1.0) | 2 | −78 °C – rt, 2.5 h | NRd | |
aIsolated yield. bPerformed in a sealed tube. cUnder microwave irradiation. dNo reaction.
Figure 3: Selected HMBC correlations (a) and NOE enhancements (b) on the ring-opened product 27.
Figure 3: Selected HMBC correlations (a) and NOE enhancements (b) on the ring-opened product 27.
In the former quinone route, the regioselectivity on the introduced methoxy group in 2,3-dihydrobenz[f]indenone was examined. 4,5,9-Trioxygenated 2,3-dihydrobenz[f]indenone derivative 21 was exclusively formed on DAR of indanetrione 8 and diene 7 because of selective activation of the C6 carbon due to the presence of additional cross conjugation between the C1 and the C4 carbonyl groups (TS-A, Figure 4). Semiempirical calculation [44] of molecular orbitals of quinone 8 supported this proposal, in which a larger LUMO coefficient (0.295) was obtained at C6 compared with C5 (0.244, Figure 5a). On the other hand, the reverse of the selectivity was expected when Lewis acid is coordinated with two carbonyls at C1 and C7 to positively activate the C5 carbon (TS-B, Figure 4); however, the addition of a catalytic amount of Lewis acid did not affect the regioselectivity. Similar reversal of the selectivity was also expected on using a quinone monoacetal to mask the ketone functionality at the 4 position (TS-C); however, the desired 2,3-dihydrobenz[f]indenone-type compound was not obtained.
On the other hand, propellane-type product 22 was obtained as a by-product in DAR of 8. In the case of reaction of bromoquinone 12, propellane 23 was the sole product. Larger coefficients at C3a and C7a carbons compared with those of C5 and C6 ones supported this phenomenon (Figure 5a). The steric bulk of the bromine atom in 12 can assist the selective formation of 23 (Figure 5b).
Figure 4: Transition states supposed for the regioselective DAR via quinone route.
Figure 4: Transition states supposed for the regioselective DAR via quinone route.
Figure 5: Representative LUMO coeffients of quinones 8 and 12 (a) and their reaction courses with diene 7 (b).
Figure 5: Representative LUMO coeffients of quinones 8 and 12 (a) and their reaction courses with diene 7 (b)....
In the latter benzyne strategy, 4,5,9-trioxygenated derivative 27 was formed as a sole product in the acid-catalyzed ring-opening of 5,8-epoxyindanone 11. Giles et al. [41] reported the acid-induced ring opening of 1,4-epoxy-5-methoxynaphthalene (29) to furnish 5-methoxy-1-naphthol (32) via selective C4-O bond cleavage due to the electron-donating effect of the 5-methoxy group (Scheme 4). Therefore, in 5,8-epoxy-2,3-dihydrobenz[f]indenone system 11, regioselective C5-O bond cleavage was expected by the aid of the 4-methoxy group due to the deactivation of the 9-methoxy group by conjugation with the carbonyl at the 1 position to afford desired 4,8,9-trioxygenated compound 28 (Path C, Scheme 5). However, protonation of the carbonyl oxygen of 11 could yield a C-4a carbocation 37 with conjugation to oxocarbenium ion 36 (path D). In this case, generation of the desired 4,8,9-trioxygenated 2,3-dihydrobenz[f]indenone 28 seemed unlikely due to unfavorable adjacent dicationic intermediate 38 after C5-O bond cleavage of 37. Thus, formation of an alternative dication 39 through C8-O bond cleavage of 37 is favored instead to give undesired 4,5,9-trioxygenated 2,3-dihydrobenz[f]indenone 27.
Scheme 4: The proposed mechanism for the acid-induced ring opening of epoxynaphthalene 29 by Giles et al. [19].
Scheme 4: The proposed mechanism for the acid-induced ring opening of epoxynaphthalene 29 by Giles et al. [19].
Scheme 5: Supposed reaction pathways for the acid-induced ring opening of 11.
Scheme 5: Supposed reaction pathways for the acid-induced ring opening of 11.
Conclusion
DAR approaches toward regioselective construction of 4,8,9-trioxygenated 2,3-dihydrobenz[f]indenone skeleton were examined. Unfortunately undesired 4,5,9-trioxygenated derivatives were obtained; however, this finding could be applied to the synthesis of regioisomeric kinamycin analogues in each experiment. In the quinone route, the DAR has occurred mainly at the ring juncture of indanetriones to furnish propellane-type compounds [45]. This interesting framework of the products would be applicable to not only synthesis of other natural product but also preparation of newly designed functional molecules.
Supporting Information
| Supporting Information File 1: Experimental part | ||
| Format: DOC | Size: 77.5 KB | Download |
References
-
Itō, S.; Matsuya, T.; Ōmura, S.; Otani, M.; Nakagawa, A.; Takeshima, H.; Iwai, Y.; Ohtani, M.; Hata, T. J. Antibiot. 1970, 23, 315–317.
Return to citation in text: [1] -
Hata, T.; Ōmura, S.; Iwai, Y.; Nakagawa, A.; Otani, M.; Itō, S.; Matsuya, T. J. Antibiot. 1971, 24, 353–359.
Return to citation in text: [1] -
For reviews, see: [4-6].
Return to citation in text: [1] -
Gould, S. J. Chem. Rev. 1997, 97, 2499–2509. doi:10.1021/cr9600215
Return to citation in text: [1] -
Marco-Contelles, J.; Molina, M. T. Curr. Org. Chem. 2003, 7, 1433–1442. doi:10.2174/1385272033486396
Return to citation in text: [1] -
Kumamoto, T.; Ishikawa, T.; Ōmura, S. J. Synth. Org. Chem., Jpn. 2004, 62, 49–58.
Return to citation in text: [1] -
Arya, D. P. Diazo and Diazonium DNA Cleavage Agents: Studies on Model Systems and Natural Product Mechanisms of Action. In Heterocyclic Antitumor Antibiotics; Lee, M., Ed.; Topics in Heterocyclic Chemistry, Vol. 2; Springer: Berlin, 2006; pp 129–152. doi:10.1007/7081_018
Return to citation in text: [1] -
Feldman, K. S.; Eastman, K. J. J. Am. Chem. Soc. 2006, 128, 12562–12573. doi:10.1021/ja0642616
Return to citation in text: [1] -
Hasinoff, B. B.; Wu, X.; Yalowich, J. C.; Goodfellow, V.; Laufer, R. S.; Adedayo, O.; Dmitrienko, G. I. Anti-Cancer Drugs 2006, 17, 825–837.
Return to citation in text: [1] -
O'Hara, K. A.; Wu, X.; Patel, D.; Liang, H.; Yalowich, J. C.; Chen, N.; Goodfellow, V.; Adedayo, O.; Dmitrienko, G. I.; Hasinoff, B. B. Free Radical Biol. Med. 2007, 43, 1132–1144. doi:10.1016/j.freeradbiomed.2007.07.005
Return to citation in text: [1] -
Ōmura, S.; Nakagawa, A.; Yamada, H.; Hata, T.; Furusaki, A.; Watanabe, T. Chem. Pharm. Bull. 1971, 19, 2428–2430.
Return to citation in text: [1] -
Ōmura, S.; Nakagawa, A.; Yamada, H.; Hata, T.; Furusaki, A.; Watanabe, T. Chem. Pharm. Bull. 1973, 21, 931–940.
Return to citation in text: [1] -
Gould, S. J.; Tamayo, N.; Melville, C. R.; Cone, M. C. J. Am. Chem. Soc. 1994, 116, 2207–2208. doi:10.1021/ja00084a096
Return to citation in text: [1] -
Mithani, S.; Weeratunga, G.; Taylor, N.; Dmitrienko, G. I. J. Am. Chem. Soc. 1994, 116, 2209–2210. doi:10.1021/ja00084a097
Return to citation in text: [1] -
Lei, X.; Porco, J. A., Jr. J. Am. Chem. Soc. 2006, 128, 14790–14791. doi:10.1021/ja066621v
Return to citation in text: [1] -
Nicolaou, K. C.; Li, H.; Nold, A. L.; Pappo, D.; Lenzen, A. J. Am. Chem. Soc. 2007, 129, 10356–10357. doi:10.1021/ja074297d
Return to citation in text: [1] -
Recent progress on the synthesis of kinamycin-related compounds, such as lomaiviticins, prekinamycin and isoprekinamycin, see: [18-20].
Return to citation in text: [1] -
Nicolaou, K. C.; Denton, R. M.; Lenzen, A.; Edmonds, D. J.; Li, A.; Milburn, R. R.; Harrison, S. T. Angew. Chem., Int. Ed. 2006, 45, 2076–2081. doi:10.1002/anie.200504466
Return to citation in text: [1] -
Birman, V. B.; Zhao, Z.; Guo, L. Org. Lett. 2007, 9, 1223–1225. doi:10.1021/ol0629768
Return to citation in text: [1] [2] -
Liu, W.; Buck, M.; Chen, N.; Shang, M.; Taylor, N. J.; Asoud, J.; Wu, X.; Hasinoff, B. B.; Dmitrienko, G. I. Org. Lett. 2007, 9, 2915–2918. doi:10.1021/ol0712374
Return to citation in text: [1] -
Kumamoto, T.; Kitani, Y.; Tsuchiya, H.; Yamaguchi, K.; Seki, H.; Ishikawa, T. Tetrahedron 2007, 63, 5189–5199. doi:10.1016/j.tet.2007.03.166
Return to citation in text: [1] [2] -
Kometani, T.; Takeuchi, Y.; Yoshii, E. J. Chem. Soc., Perkin Trans. 1 1981, 1197–1202. doi:10.1039/P19810001197
As an example of alternative approach for the synthesis of 4.
Return to citation in text: [1] -
Kitani, Y.; Morita, A.; Kumamoto, T.; Ishikawa, T. Helv. Chim. Acta 2002, 85, 1186–1195. doi:10.1002/1522-2675(200204)85:4<1186::AID-HLCA1186>3.0.CO;2-Q
Return to citation in text: [1] [2] -
Other approaches to the synthesis of bromonaphthalene 6: [25-27].
Return to citation in text: [1] -
Fernandes, R. A.; Brückner, R. Synlett 2005, 1281–1285. doi:10.1055/s-2005-868505
Return to citation in text: [1] -
Rizzacasa, M. A.; Sargent, M. V. J. Chem. Soc., Perkin Trans. 1 1991, 841–844. doi:10.1039/P19910000841
Return to citation in text: [1] -
Yin, J.; Liebeskind, L. S. J. Org. Chem. 1998, 63, 5726–5727. doi:10.1021/jo980680c
Return to citation in text: [1] -
Non regioselective approaches towards 2,3-dihydrobenz[f]indenes: [29,30].
Return to citation in text: [1] -
Giles, R. G. F.; Green, I. R. J. Chem. Soc., Perkin Trans. 1 1974, 228–233. doi:10.1039/P19740000228
Return to citation in text: [1] -
Tatsuta, K.; Chino, M.; Kojima, N.; Shinojima, S.; Nakata, M.; Morooka, M.; Ohba, S. Tetrahedron Lett. 1993, 34, 4957–4960. doi:10.1016/S0040-4039(00)74056-1
Return to citation in text: [1] -
Coutts, R. T.; Malicky, J. L. Can. J. Chem. 1974, 52, 381–389. doi:10.1139/v74-061
Return to citation in text: [1] -
Giraud, L.; Giraud, A. Synthesis 1998, 1153–1160. doi:10.1055/s-1998-2116
Return to citation in text: [1] -
Tamura, Y.; Yakura, T.; Tohma, H.; Kikuchi, K.; Kita, Y. Synthesis 1989, 126–127. doi:10.1055/s-1989-27170
Return to citation in text: [1] -
Sekino, E.; Kumamoto, T.; Tanaka, T.; Ikeda, T.; Ishikawa, T. J. Org. Chem. 2004, 69, 2760–2767. doi:10.1021/jo035753t
Return to citation in text: [1] -
Horaguchi, T.; Tamura, S.; Hiratsuka, N.; Suzuki, T. J. Chem. Soc., Perkin Trans. 1 1985, 1001–1006. doi:10.1039/P19850001001
Return to citation in text: [1] -
As examples of DAR of simple quinone monoacetal: with Lewis acid catalysts: [37,38]; under high pressure conditions: [39,40].
Return to citation in text: [1] -
Hoffmann, R. W.; Knust, H. Synlett 2004, 1419–1421. doi:10.1055/s-2004-825617
Return to citation in text: [1] -
Ryu, D. H.; Lee, T. W.; Corey, E. J. J. Am. Chem. Soc. 2002, 124, 9992–9993. doi:10.1021/ja027468h
And references cited therein.
Return to citation in text: [1] -
Wolter, M.; Borm, C.; Merten, E.; Wartchow, R.; Winterfeldt, E. Eur. J. Org. Chem. 2001, 4051–4060. doi:10.1002/1099-0690(200111)2001:21<4051::AID-EJOC4051>3.0.CO;2-5
Return to citation in text: [1] -
Trân-Huu-Dâu, M.-E.; Wartchow, R.; Winterfeldt, E.; Wong, Y.-S. Chem.–Eur. J. 2001, 7, 2349–2369. doi:10.1002/1521-3765(20010601)7:11<2349::AID-CHEM23490>3.0.CO;2-C
Return to citation in text: [1] -
Giles, R. G. F.; Hughes, A. B.; Sargent, M. V. J. Chem. Soc., Perkin Trans. 1 1991, 1581–1587. doi:10.1039/P19910001581
Return to citation in text: [1] [2] [3] -
Schlosser, M.; Castagnetti, E. Eur. J. Org. Chem. 2001, 3991–3397. doi:10.1002/1099-0690(200111)2001:21<3991::AID-EJOC3991>3.0.CO;2-J
Return to citation in text: [1] -
Uchiyama, M.; Miyoshi, T.; Kajihara, Y.; Sakamoto, T.; Otani, Y.; Ohwada, T.; Kondo, Y. J. Am. Chem. Soc. 2002, 124, 8514–8515. doi:10.1021/ja0202199
On utilization of TMP-zincate.
Return to citation in text: [1] -
Scigress Explorer Version 7 with PM5 method was utilized.
Return to citation in text: [1] -
Pihko, A. J.; Koskinen, A. M. P. Tetrahedron 2005, 61, 8769–8807. doi:10.1016/j.tet.2005.06.013
As a recent review for propellane-containing natural products.
Return to citation in text: [1]
| 18. | Nicolaou, K. C.; Denton, R. M.; Lenzen, A.; Edmonds, D. J.; Li, A.; Milburn, R. R.; Harrison, S. T. Angew. Chem., Int. Ed. 2006, 45, 2076–2081. doi:10.1002/anie.200504466 |
| 19. | Birman, V. B.; Zhao, Z.; Guo, L. Org. Lett. 2007, 9, 1223–1225. doi:10.1021/ol0629768 |
| 20. | Liu, W.; Buck, M.; Chen, N.; Shang, M.; Taylor, N. J.; Asoud, J.; Wu, X.; Hasinoff, B. B.; Dmitrienko, G. I. Org. Lett. 2007, 9, 2915–2918. doi:10.1021/ol0712374 |
| 25. | Fernandes, R. A.; Brückner, R. Synlett 2005, 1281–1285. doi:10.1055/s-2005-868505 |
| 26. | Rizzacasa, M. A.; Sargent, M. V. J. Chem. Soc., Perkin Trans. 1 1991, 841–844. doi:10.1039/P19910000841 |
| 27. | Yin, J.; Liebeskind, L. S. J. Org. Chem. 1998, 63, 5726–5727. doi:10.1021/jo980680c |
| 29. | Giles, R. G. F.; Green, I. R. J. Chem. Soc., Perkin Trans. 1 1974, 228–233. doi:10.1039/P19740000228 |
| 30. | Tatsuta, K.; Chino, M.; Kojima, N.; Shinojima, S.; Nakata, M.; Morooka, M.; Ohba, S. Tetrahedron Lett. 1993, 34, 4957–4960. doi:10.1016/S0040-4039(00)74056-1 |
| 1. | Itō, S.; Matsuya, T.; Ōmura, S.; Otani, M.; Nakagawa, A.; Takeshima, H.; Iwai, Y.; Ohtani, M.; Hata, T. J. Antibiot. 1970, 23, 315–317. |
| 2. | Hata, T.; Ōmura, S.; Iwai, Y.; Nakagawa, A.; Otani, M.; Itō, S.; Matsuya, T. J. Antibiot. 1971, 24, 353–359. |
| 3. | For reviews, see: [4-6]. |
| 15. | Lei, X.; Porco, J. A., Jr. J. Am. Chem. Soc. 2006, 128, 14790–14791. doi:10.1021/ja066621v |
| 16. | Nicolaou, K. C.; Li, H.; Nold, A. L.; Pappo, D.; Lenzen, A. J. Am. Chem. Soc. 2007, 129, 10356–10357. doi:10.1021/ja074297d |
| 17. | Recent progress on the synthesis of kinamycin-related compounds, such as lomaiviticins, prekinamycin and isoprekinamycin, see: [18-20]. |
| 34. | Sekino, E.; Kumamoto, T.; Tanaka, T.; Ikeda, T.; Ishikawa, T. J. Org. Chem. 2004, 69, 2760–2767. doi:10.1021/jo035753t |
| 13. | Gould, S. J.; Tamayo, N.; Melville, C. R.; Cone, M. C. J. Am. Chem. Soc. 1994, 116, 2207–2208. doi:10.1021/ja00084a096 |
| 14. | Mithani, S.; Weeratunga, G.; Taylor, N.; Dmitrienko, G. I. J. Am. Chem. Soc. 1994, 116, 2209–2210. doi:10.1021/ja00084a097 |
| 35. | Horaguchi, T.; Tamura, S.; Hiratsuka, N.; Suzuki, T. J. Chem. Soc., Perkin Trans. 1 1985, 1001–1006. doi:10.1039/P19850001001 |
| 11. | Ōmura, S.; Nakagawa, A.; Yamada, H.; Hata, T.; Furusaki, A.; Watanabe, T. Chem. Pharm. Bull. 1971, 19, 2428–2430. |
| 12. | Ōmura, S.; Nakagawa, A.; Yamada, H.; Hata, T.; Furusaki, A.; Watanabe, T. Chem. Pharm. Bull. 1973, 21, 931–940. |
| 7. | Arya, D. P. Diazo and Diazonium DNA Cleavage Agents: Studies on Model Systems and Natural Product Mechanisms of Action. In Heterocyclic Antitumor Antibiotics; Lee, M., Ed.; Topics in Heterocyclic Chemistry, Vol. 2; Springer: Berlin, 2006; pp 129–152. doi:10.1007/7081_018 |
| 8. | Feldman, K. S.; Eastman, K. J. J. Am. Chem. Soc. 2006, 128, 12562–12573. doi:10.1021/ja0642616 |
| 9. | Hasinoff, B. B.; Wu, X.; Yalowich, J. C.; Goodfellow, V.; Laufer, R. S.; Adedayo, O.; Dmitrienko, G. I. Anti-Cancer Drugs 2006, 17, 825–837. |
| 10. | O'Hara, K. A.; Wu, X.; Patel, D.; Liang, H.; Yalowich, J. C.; Chen, N.; Goodfellow, V.; Adedayo, O.; Dmitrienko, G. I.; Hasinoff, B. B. Free Radical Biol. Med. 2007, 43, 1132–1144. doi:10.1016/j.freeradbiomed.2007.07.005 |
| 33. | Tamura, Y.; Yakura, T.; Tohma, H.; Kikuchi, K.; Kita, Y. Synthesis 1989, 126–127. doi:10.1055/s-1989-27170 |
| 31. | Coutts, R. T.; Malicky, J. L. Can. J. Chem. 1974, 52, 381–389. doi:10.1139/v74-061 |
| 23. | Kitani, Y.; Morita, A.; Kumamoto, T.; Ishikawa, T. Helv. Chim. Acta 2002, 85, 1186–1195. doi:10.1002/1522-2675(200204)85:4<1186::AID-HLCA1186>3.0.CO;2-Q |
| 23. | Kitani, Y.; Morita, A.; Kumamoto, T.; Ishikawa, T. Helv. Chim. Acta 2002, 85, 1186–1195. doi:10.1002/1522-2675(200204)85:4<1186::AID-HLCA1186>3.0.CO;2-Q |
| 22. |
Kometani, T.; Takeuchi, Y.; Yoshii, E. J. Chem. Soc., Perkin Trans. 1 1981, 1197–1202. doi:10.1039/P19810001197
As an example of alternative approach for the synthesis of 4. |
| 37. | Hoffmann, R. W.; Knust, H. Synlett 2004, 1419–1421. doi:10.1055/s-2004-825617 |
| 38. |
Ryu, D. H.; Lee, T. W.; Corey, E. J. J. Am. Chem. Soc. 2002, 124, 9992–9993. doi:10.1021/ja027468h
And references cited therein. |
| 21. | Kumamoto, T.; Kitani, Y.; Tsuchiya, H.; Yamaguchi, K.; Seki, H.; Ishikawa, T. Tetrahedron 2007, 63, 5189–5199. doi:10.1016/j.tet.2007.03.166 |
| 39. | Wolter, M.; Borm, C.; Merten, E.; Wartchow, R.; Winterfeldt, E. Eur. J. Org. Chem. 2001, 4051–4060. doi:10.1002/1099-0690(200111)2001:21<4051::AID-EJOC4051>3.0.CO;2-5 |
| 40. | Trân-Huu-Dâu, M.-E.; Wartchow, R.; Winterfeldt, E.; Wong, Y.-S. Chem.–Eur. J. 2001, 7, 2349–2369. doi:10.1002/1521-3765(20010601)7:11<2349::AID-CHEM23490>3.0.CO;2-C |
| 41. | Giles, R. G. F.; Hughes, A. B.; Sargent, M. V. J. Chem. Soc., Perkin Trans. 1 1991, 1581–1587. doi:10.1039/P19910001581 |
| 21. | Kumamoto, T.; Kitani, Y.; Tsuchiya, H.; Yamaguchi, K.; Seki, H.; Ishikawa, T. Tetrahedron 2007, 63, 5189–5199. doi:10.1016/j.tet.2007.03.166 |
| 36. | As examples of DAR of simple quinone monoacetal: with Lewis acid catalysts: [37,38]; under high pressure conditions: [39,40]. |
| 45. |
Pihko, A. J.; Koskinen, A. M. P. Tetrahedron 2005, 61, 8769–8807. doi:10.1016/j.tet.2005.06.013
As a recent review for propellane-containing natural products. |
| 4. | Gould, S. J. Chem. Rev. 1997, 97, 2499–2509. doi:10.1021/cr9600215 |
| 5. | Marco-Contelles, J.; Molina, M. T. Curr. Org. Chem. 2003, 7, 1433–1442. doi:10.2174/1385272033486396 |
| 6. | Kumamoto, T.; Ishikawa, T.; Ōmura, S. J. Synth. Org. Chem., Jpn. 2004, 62, 49–58. |
| 41. | Giles, R. G. F.; Hughes, A. B.; Sargent, M. V. J. Chem. Soc., Perkin Trans. 1 1991, 1581–1587. doi:10.1039/P19910001581 |
| 19. | Birman, V. B.; Zhao, Z.; Guo, L. Org. Lett. 2007, 9, 1223–1225. doi:10.1021/ol0629768 |
| 41. | Giles, R. G. F.; Hughes, A. B.; Sargent, M. V. J. Chem. Soc., Perkin Trans. 1 1991, 1581–1587. doi:10.1039/P19910001581 |
| 42. | Schlosser, M.; Castagnetti, E. Eur. J. Org. Chem. 2001, 3991–3397. doi:10.1002/1099-0690(200111)2001:21<3991::AID-EJOC3991>3.0.CO;2-J |
| 43. |
Uchiyama, M.; Miyoshi, T.; Kajihara, Y.; Sakamoto, T.; Otani, Y.; Ohwada, T.; Kondo, Y. J. Am. Chem. Soc. 2002, 124, 8514–8515. doi:10.1021/ja0202199
On utilization of TMP-zincate. |
© 2008 Etomi et al; licensee Beilstein-Institut.
This is an Open Access article under the terms of the Creative Commons Attribution License (http://creativecommons.org/licenses/by/2.0), which permits unrestricted use, distribution, and reproduction in any medium, provided the original work is properly cited.
The license is subject to the Beilstein Journal of Organic Chemistry terms and conditions: (http://www.beilstein-journals.org/bjoc)
![[Graphic 1]](/bjoc/content/inline/1860-5397-4-15-i6.png?max-width=637&scale=1.0)