Abstract
Cr(VI) exhibits cytotoxic, mutagenic and carcinogenic properties; hence, effluents containing Cr(VI) from various industrial processes pose threat to aquatic life and downstream users. Various treatment techniques, such as chemical reduction, ion exchange, bacterial degradation, adsorption and photocatalysis, have been exploited for remediation of Cr(VI) from wastewater. Among these, photocatalysis has recently gained considerable attention. The applications of photocatalysis, such as water splitting, CO2 reduction, pollutant degradation, organic transformation reactions, N2 fixation, etc., towards solving the energy crisis and environmental issues are briefly discussed in the Introduction of this review. The advantages of TiO2 as a photocatalyst and the importance of its modification for photocatalytic reduction of Cr(VI) has also been addressed. In this review, the photocatalytic activity of TiO2 after modification with carbon-based advanced materials, metal oxides, metal sulfides and noble metals towards reduction of Cr(VI) was evaluated and compared with that of bare TiO2. The photoactivity of dye-sensitized TiO2 for reduction of Cr(VI) was also discussed. The mechanism for enhanced photocatalytic activity was highlighted and attributed to the resultant properties, namely, effective separation of photoinduced charge carriers, extension of the light absorption range and intensity, increase of the surface active sites, and higher photostability. Advantages and limitations for photoreduction of Cr(VI) over modified TiO2 are depicted in the Conclusion. The various challenges that restrict the technology from practical applications in remediation of Cr(VI) from wastewater were addressed in the Conclusion section as well. The future perspectives of the field presented in this review are focused on the development of whole-solar-spectrum responsive, TiO2-coupled photocatalysts which provide efficient photocatalytic reduction of Cr(VI) along with their good recoverability and recyclability.
Review
Introduction
The increase in the global population demands rapid growth of industrialization and urbanization, which in turn act to increase the level of environmental pollution [1-3]. Heavy metals contribute to a significant extent towards environmental pollution because of their toxicity, bio-accumulation and non-biodegradable nature. They also release large quantities of hazardous waste during their extraction. Hence, removal of toxic heavy metal ions from wastewater is considered as one of the most important environmental issues worldwide.
Among the toxic heavy metals, chromium has been a major environmental concern in wastewater treatment. It exists in various oxidation states starting from Cr(II) to Cr(VI). The aqueous environment mostly contains Cr(III) and different Cr(VI) species like HCrO4−, Cr2O72−, CrO42− and H2CrO4. The speciation of these Cr(VI) species depends on pH and concentration of the solution [4,5]. Figure 1 shows the speciation of Cr(VI) at different concentration and pH. It is evident from Figure 1 that HCrO4− and Cr2O72− are the stable Cr(VI) species between pH 1.0 and 6.0 whereas CrO42− predominates above pH 6.0 [6].
Figure 1: Speciation diagram of Cr(VI). Reprinted from [6], copyright 2016 Thermo Fisher Scientific Inc.
Figure 1: Speciation diagram of Cr(VI). Reprinted from [6], copyright 2016 Thermo Fisher Scientific Inc.
Cr(VI) compounds are corrosion inhibitors and are toxic and are thus mostly used in different industrial processes such as metal plating, leather tanning and pigment manufacturing. Effluents containing a high Cr(VI) concentration from these industries are undesirably discharged into the aquatic environment [7-9]. The chrome tanning process is the most preferred among 80% of tannery industries in India and most of them discharge untreated wastewater into nearby water bodies [4]. The Ganges River at Kanpur city of Uttar Pradesh contains 12.5 mg L−1 of Cr(VI) and the concentration of Cr(VI) in surface water in the Ranipet industrial area of Tamilnadu varies from 2.1 to 214 mg L−1 because of a number of tanneries are operated in and around these areas [10]. Moreover, accidental leakage and improper disposal at mining sites are also sources of Cr(VI) contamination in natural water ecosystems [11,12].
Being a strong oxidizing agent with cytotoxic, mutagenic and carcinogenic properties, Cr(VI) causes a wide range of clinical/health hazards like damage to liver and kidney, lung carcinoma, nausea, skin dermatitis, nasal membrane inflammation, ulceration, irritation of the gastro-intestinal tract and renal damage, when consumed above the permissible limit. The US Environment Protection Agency (USEPA) has placed it on the priority list of toxic pollutants and has mandated a maximum acceptable concentration of 50 μg L−1 in potable water [13-15].
Therefore, it is now of great importance to explore the efficient and economical ways for the treatment of Cr(VI)-rich wastewater. Various techniques, such as chemical reduction, ion exchange, bacterial degradation and adsorption, have been exploited to treat Cr(VI) [16-19]. Among these technologies, chemical reduction has extensively been investigated because it involves conversion of toxic Cr(VI) species to less toxic Cr(III) ions, which are precipitated as green precipitates of Cr(OH)3 in neutral or alkaline solutions (Ksp(Cr(OH)3) = 6.3 × 10−31] and are removed as solid wastes [20,21]. However, use of this traditional technique is restricted due to high cost and generation of secondary waste as it requires a large amount of reducing agent such as ferrous sulfate, sodium hydrogen sulfite, sodium pyro-sulfite, hydrazine hydrate or sulfur dioxide [22-25].
In contrast, semiconductor-based photocatalysis has received considerable attention worldwide for its diversified potential applications to solve the global energy crisis and environmental issues in a sustainable and ecologically friendly manner [26-29]. This process involves: (i) generation of renewable energy such as H2 and O2 by photoelectrochemical water splitting [30-32], (ii) photocatalytic CO2 conversion [33-37], (iii) photocatalytic nitrogen (N2) fixation [38], (iv) selective organic transformation for the fine chemical synthesis [39-42] and (v) photodegradation of pollutants [43-49]. Semiconductor-based photocatalysis proceeds through following three steps: (1) absorption of light; (2) separation and transport of charge carriers; and (3) redox reactions on the surface of the semiconductor.
When photons with energy greater than the band gap energy of the semiconductor photocatalyst (SP) are absorbed, photogenerated electrons are excited to conduction band (CB) leaving behind holes at the valence band (VB) as per Equation 1:
These photogenerated species (electrons (eCB−) and holes (hVB+)) must be effectively separated before they can carry out appropriate redox reactions at the semiconductor surface.
Photoelectrochemical water splitting
Hydrogen (H2) is considered as a sustainable, clean and renewable energy source to provide a solution to the global energy crisis [50]. The conventional processes, such as steam reforming, partial oxidation, coal gasification, etc. used for production of H2 from fossil fuels (natural gas and coal), are limited because of high cost and stringent environmental regulations [51]. Photocatalytic water splitting for the production of H2 is recognized as a green technology since it uses abundantly available water resources and inexhaustible solar energy. Therefore, substantial research in this field has been carried out since the pioneering work of Fujishima and Honda over titanium dioxide (TiO2) electrodes under irradiation of ultraviolet (UV) light in 1972 [52]. In photocatalytic water splitting, hVB+ in the VB oxidize H2O to produce O2 as shown in Equation 2 only when the band edge potential at the VB is more positive than the oxidation potential of O2 evolution (E0O2/H2O = 1.23 V vs NHE).
On the other hand, H2 gas is produced (Equation 3) at the CB after the reduction reaction carried out by eCB− when the CB potential is more negative than the redox potential of H2 (E0H+/H2 = 0 V vs NHE at pH 0.0) .
Photocatalytic CO2 conversion
The increasing concentration of greenhouse gases (particularly CO2) in the atmosphere has caused environmental issues such as global warming and climate changes. The technologies used to reduce the CO2 concentration are energy consuming and expensive [36,37]. In recent years, semiconductor-based visible-light-induced photocatalytic reduction of CO2 has emerged as an attractive and viable approach for not only decreasing the concentration of atmospheric CO2 but also producing energy fuels such as CH4 [53]. In the process of photocatalytic CO2 conversion, H2O and CO2 adsorbed on the surface of the semiconductor are converted to CH4 and O2 under irradiation of suitable light energy as shown in the following equation.
The mechanism of photocatalytic reduction of CO2 involves the production of eCB− and hVB+ in the CB and VB, respectively, under irradiation of suitable light energy. CO2 is reduced with the help of eCB− to CH4 at the CB if the minimum CB potential is more negative than the reduction potential of CO2/CH4 (−0.24 V vs NHE) [54]. Similarly, the oxidation of water takes place by hVB+ in the VB, only when the maximum VB potential is more positive than the oxidation potential of H2O/H+ (+0.82 V vs NHE at pH 7.0) [55].
Photocatalytic nitrogen (N2) fixation
The fixation of N2 to NH3 through semiconductor photocatalysis is gaining attention mostly due to the use of a relatively clean, cheap and easily accessible driving force (light) and ingredients (water and air). During photocatalytic N2 fixation, eCB− are promoted to the CB, leaving hVB+ in the VB, upon irradiation with suitable light energy on the semiconductor surface. The hVB+ so formed in the VB, oxidizes H2O to liberate O2 with the production of protons (H+ ions) if the VB has a more positive potential than that of the potential of O2 evolution. With the help of these protons, eCB− in the CB, reduces N2 molecules adsorbed on the surface of the semiconductor to NH3 through a number of step reactions. This occurs only when the CB potential is more negative than the reduction potential of the N2/NH3 redox couple [38]. The overall photocatalytic N2 fixation reaction is shown in Equation 5.
Selective organic transformation for fine chemical synthesis
Photocatalytic, selective, organic transformations are currently preferred over the conventional processes for synthesis of fine chemicals basically due to two reasons. The first one is to restrict the use of environmentally detrimental chemical reagents such as heavy metal catalysts, oxidizing agents (Cr(VI), MnO4−, ClO−, Cl2 etc.) and reducing agents (H2, CO). Secondly, energy consuming conditions such as high temperature and high pressure processes are to be avoided [39-42]. In semiconductor-mediated photocatalysis, the eCB− in the CB combines with molecular O2 as shown in Equation 6 to form a superoxide anion (O2•−), which acts as a strong oxidizing agent. Similarly, strongly oxidizing hydroxyl radicals (•OH) are produced in the VB by the reaction of hVB+ with either surface hydroxy groups (–OH) or adsorbed water molecules (Equation 7).
The reaction of these active species with given organic compounds under suitable reaction conditions facilitates the selective organic transformations. For example, Hu et al. demonstrated that photocatalytic, selective oxidation of alcohol to aldehyde can be carried out by hVB+ and O2•− on the surface of CdS/TiO2 nanocomposites under visible-light irradiation. The authors have also reported that •CO2− radicals (produced by the reaction of hVB+ with HCO2NH4) and eCB− are responsible for the reduction of 4-nitroaniline to p-phenylenediamine over CdS/TiO2 photocatalysts [56].
Photodegradation of pollutants
The principle of photocatalysis for degradation of pollutants was first applied by Frank and Bard in 1977 to reduce CN− in water [57,58]. Thereafter, significant research on photocatalytic degradation of hazardous organic compounds and reduction of toxic heavy metal ions (Cr(VI)) was carried out over various semiconductors upon irradiation of suitable light energy. The mechanism of photodegradation of organic pollutants involves the formation of reactive species like O2•− and •OH as per Equation 6 and Equation 7. Some of the O2•− species combine with H+ ions to form •OOH as represented in Equation 8.
These active species (•OH, O2•− and •OOH) decompose the organic pollutants to less harmful compounds like H2O and CO2 (Equation 9).
Photocatalytic reduction of Cr(VI)
The semiconductor-mediated photocatalytic reduction of aqueous Cr(VI) has also recently gained tremendous importance because of its simple operation under ambient conditions, low cost, high efficiency and reusability. It uses renewable and pollution-free solar energy and produces minimal secondary waste without using toxic chemicals that follow the rules of green chemistry [59-61]. Various semiconductor photocatalysts such as CdS, ZnO, WO3, SnO2, and TiO2 have been used for the photocatalytic reduction of aqueous Cr(VI) in recent years. Among them TiO2 has extensively been investigated [62-68] due to its nontoxicity, excellent photochemical stability, great oxidizing power, chemical inertness, high abundance, low cost and environmentally friendly nature [69-72]. Moreover, photoexcited TiO2 surfaces possess super hydrophilic properties which are evident from their excellent anti-fogging and self-cleaning abilities [73]. The unique feature of TiO2 among other semiconductors is that the reduction of Cr(VI) occurs at its CB since the redox potential of Cr(VI) (E0Cr(VI)/Cr(III) = 1.33 V in acidic medium) is more positive than the CB potential and the oxidation of water takes place simultaneously at its VB due to the more negative redox potential of H2O (E0O2/H2O) = 1.23 V) than the VB potential (Figure 2) [74].
Figure 2: The band edge potentials and band gaps of different semiconductors that combine with TiO2 for enhanced photocatalytic reduction of Cr(VI).
Figure 2: The band edge potentials and band gaps of different semiconductors that combine with TiO2 for enhan...
Therefore, TiO2 has widely been accepted by the research community as a green photocatalyst [75]. Irradiation using UV light on TiO2 results in the formation of eCB− and hVB+ at its CB and VB, respectively. The eCB− reduces Cr(VI) species to Cr(III) as per Equation 10 and hVB+ oxidizes water to O2 (Equation 11).
In some cases, hole scavengers are used to facilitate the electron–hole separation process. However, application of TiO2 in photocatalysis is largely restricted mainly due to the following reasons. (i) The wide band gap of 3.2 eV causes excitation of electrons from the valence band under irradiation of UV light, which is only 3% of the total solar radiation, resulting in limited use of pure TiO2 in solar energy conversion [76-78]. (ii) The recombination of excited charge carriers in bare TiO2 takes place at such a high rate that more than 90% of the recombination processes occur in 10 ns [79], leaving behind a small fraction of the excited carriers to be transferred to the surface of TiO2. This low electron transfer rate on the interface and fast recombination of photoinduced charge carriers causes its poor photocatalytic and photoelectrochemical efficiency [80-83]. (iii) The tendency of nanostructured TiO2 to agglomerate results in difficulties during the separation process [84]. The detailed mechanism for photocatalytic reduction of Cr(VI) by neat TiO2 is presented in Figure 3.
Figure 3: Mechanism of photocatalytic reduction of Cr(VI) over neat TiO2. (D = donor, D+ = oxidized product).
Figure 3: Mechanism of photocatalytic reduction of Cr(VI) over neat TiO2. (D = donor, D+ = oxidized product).
To overcome these limitations, researchers have adopted several modifications such as (i) doping with metals, nonmetals and co-doping [85-88], (ii) coupling of photosensitized nanomaterials [89], (iii) combination of heterojunction materials [90] and (iv) introduction of plasmonic photocatalysts for hot electron generation [62,76]. The modification of TiO2 induces the enhancement of photocatalytic activity by achieving a more efficient charge separation, increasing the lifetime of the charge carriers, inhibiting the recombination of electron–hole pairs and facilitating interfacial charge transfer to adsorbed substrates [91,92]. In this review we have focused on modification of nanostructured TiO2 with carbon-based advanced materials, noble metals, oxides and sulfides of transition metals for enhanced photocatalytic activity towards degradation of Cr(VI). The photocatalytic reduction of Cr(VI) over dye-sensitized TiO2 is also briefly discussed. The present review article has been divided into six sections. The optical and electrochemical characteristics of modified TiO2 photocatalysts are discussed in the first section. In the second section, we have reviewed how carbon-based advanced materials like reduced graphene oxide (RGO), carbon nanotubes (CNTs) and carbon dots (CDs) improve the photocatalytic activity and light absorption range of TiO2 towards reduction of Cr(VI). The importance of the combination of metal oxides with TiO2 for photocatalytic reduction of Cr(VI) was discussed in section three. Section four highlights the enhancement of photocatalytic activity and the light absorption range of TiO2 by modification with metal sulfides. The enhancement in photocatalytic reduction of Cr(VI) over noble-metal-modified TiO2 is depicted in section five whereas section six includes the use of dye-sensitized TiO2 for photoreduction of Cr(VI).
Optical and electrochemical characteristics of modified TiO2 photocatalysts
The photocatalytic activity of a photocatalyst is characterized by its optical and electrochemical properties. Modifications of titania can hinder the recombination of charge carriers and extend the light absorption range, which are evident from optical and photoelectrochemical studies. Optical studies such as ultraviolet–visible diffuse reflectance spectroscopy (UV–vis DRS) and photoluminescence spectroscopy (PL) explain the shift of the absorption range to the visible region and prohibition of recombination of charge carriers, respectively. The doping of nonmetals such as N, S, or B narrows the band gap either by creating a mid-band gap or shifting the valence band to upper positions, resulting in a redshift. Even modification of titania with semiconductor oxides or sulfides improves the light absorption. It was evident from UV–vis DRS spectra that light absorption is shifted to longer wavelengths when TiO2 is combined with SnS2 [93]. Moreover, it is seen that modification with sulfates induces a redox couple which facilitates the electron transfer, and hence, better photocatalytic activity. Naik et al. have shown S and N modified titania where electron shuffle takes place by the sulfate redox couple attached to nitrogen-doped TiO2 [63]. Hydrogenated defect-promoted black titania exhibits much higher absorption and photocatalytic activity [94,95].
The recombination and charge transfer efficiency can be understood from PL spectra. The PL emission intensity is related to the recombination of excited electrons and holes. The reduction of the PL emission peak indicates less recombination and higher charge transfer. Modified titania has a greater ability to capture the photogenerated charge carriers for enhanced photocatalytic activity. Figure 4 suggests a higher charge transfer (lower PL peak) of Cu2O-modified TiO2 than the pure TiO2 [96].
Figure 4: Photoluminescence spectra of bare TiO2 and Cu2O–TiO2 samples. Reprinted from [96], copyright 2016 Springer Science+Business Media.
Figure 4: Photoluminescence spectra of bare TiO2 and Cu2O–TiO2 samples. Reprinted from [96], copyright 2016 Sprin...
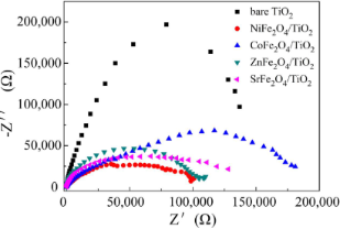
The enhanced charge transport efficiency can be found from photoelectrochemical studies using a three electrode system (working electrode, counter electrode and reference electrode). A current intensity–applied voltage (I–V) curve (Figure 5) obtained from linear sweep voltammetry (LSV) gives the photocurrent generation by an applied bias; the higher the current density, the better the separation of photogenerated charge carriers [97,98]. It has been shown that a more negative open circuit potential (Voc), results in higher charge carrier separation and transfer [99-101]. Electrochemical impedance studies (EIS) explore the resistance of a material through a Nyquist plot. A smaller arc radius of the Nyquist plot suggests better transfer of charge carriers with lower resistance. The modification of TiO2 with ferrites (e.g., MFe2O4) results in a smaller arc radius of the Nyquist plot, as shown in Figure 6, and hence, better charge transport is observed [97].
Figure 5: I–V (current intensity–applied voltage) curve. Reprinted from [97], an article distributed under the Creative Commons Attribution 4.0 license http://creativecommons.org/licenses/by/4.0/ copyright the authors of [97].
Figure 5: I–V (current intensity–applied voltage) curve. Reprinted from [97], an article distributed under the Cr...
Figure 6: Comparison of arc radius of Nyquist plot between bare TiO2 and modified TiO2 (MFe2O4/ TiO2) samples (M = Ni2+, Co2+, Zn2+, Sr2+). Reprinted from [97], an article distributed under the Creative Commons Attribution 4.0 license, http://creativecommons.org/licenses/by/4.0/, copyright the authors of [97].
Figure 6: Comparison of arc radius of Nyquist plot between bare TiO2 and modified TiO2 (MFe2O4/ TiO2) samples...
Modification of TiO2 with carbon-based advanced materials
Advanced carbon nanomaterials, such as graphene and its derivatives, carbon nanotubes (CNTs) and carbon dots (CDs), have been used to modify semiconductor photocatalysts in order to promote the separation of photoinduced species and extend the light absorption range, which are crucial for enhanced photoactivity [102-105]. In this section, we have discussed photoreduction of Cr(VI) over TiO2 modified with reduced graphene oxides (RGOs), CNTs and CDs. The various preparation methods of modified photocatalysts, conditions for photocatalytic reduction, source of illumination, percentage of Cr(VI) reduction and the superior performance of the composite photocatalysts in comparison with TiO2 are listed in Table 1.
Table 1: Preparation methods of modified photocatalysts, experimental conditions for photocatalytic reduction of Cr(VI), source of illumination, percentage of Cr(VI) reduction and comparison of the composite modified-photocatalyst performance with TiO2. Reduced graphene oxide (RGO), carbon nanotubes (CNTs), carbon dots (CDs), nanorod arrays (NRAs), reduced graphene oxide hydrogel (rGH), TiO2 hollow-core–shell microspheres (TGHMs), visible light spectrum (vis), ultraviolet light spectrum (UV).
| Photocatalyst | Preparation method | pH | Initial Cr(VI) concentration (mg/L) | Dose (g/L) | Irradiation time (min) | Irradiation source | Cr(VI) reduction (%) | Comparison of performance | Ref. |
|---|---|---|---|---|---|---|---|---|---|
| Carbon-based advanced materials for TiO2 modification | |||||||||
| TiO2–RGO |
microwave assisted
reduction |
– | 10.0 | 1.0 | – | UV | 91 | 1.09 times more than pure TiO2; 1.3 times more than P25 | [125] |
| TiO2–RGO | sol–gel combustion | 2.6 | 12.0 | 0.2 | 240 | vis | 86.5 | 1.6 times more than pure TiO2 | [131] |
| TiO2–rGH | vitamin C assisited sol–gel | 5.5 | 5.0 | 1.0 | 30 | UV | 100 | 1.6 times more than pure TiO2 | [132] |
| TGHMs | hydrothermal etching reaction | – | 50.0 | 1.0 | 150 | vis | 50 | ≈5 times more than pure TiO2 | [134] |
| TiO2–xRGO | one-step solvothermal | 2.0 | 20.0 | 0.8 | 210 | vis | 96 | – | [135] |
| TiO2/CNTs | hydrothermal method | 3.0 | 20.0 | 1.0 | 180 | UV | 67.5 | – | [139] |
| CDs–TNs | hydrothermal method | 3.0 | 10.0 | 1.0 | 150 | vis | 100 | ≈7 times more than P25 | [143] |
| Semiconductor-oxide-modified TiO2 | |||||||||
| ZnO–TiO2 | precipitation | 3.0 | 20.0 | 1.0 | 120 | UV | 99.99 | 1.16 times more than pure TiO2 | [92] |
| ZnO–TiO2 |
wetness
impregnation method |
5.5 | 20.0 | 1.0 | – | UV | – | – | [155] |
| TiO2–Fe3O4 | polymerizable sol–gel approach | 3.0 | 7.0 | 0.3 | 30 | UV | 100 | – | [158] |
| WO3–TiO2 NTs | electrochemical synthesis | 2.0 | 20.0 | – | 130 | vis | 100 | 1.58 times more than TiO2 NTs | [159] |
| Bi2O3–TiO2 | sol–gel and hydrothermal methods | 3.0 | 20.0 | 1.0 | 180 | vis | 73.9 | reduction by TiO2 was negligible | [178] |
| TiO2–Cu2O | sol–gel | – | 5.0 | 0.2 | 90 | vis | 100 | 1.8 times more than pure TiO2 | [96] |
| NiO–TiO2 | sol–gel | 3.5 | 9.6 | 1.0 | 120 | vis | 95 | 1.5 times more than pure TiO2 | [161] |
| CuBi2O4–TiO2 | nitrate route | 4.0 | 30.0 | 1.0 | <240 | sunlight | 98 | – | [182] |
| ZnFe2O4–TiO2 | nitrate route | 3.0 | – | 1.0 | – | vis | – | – | [186] |
| NiFe2O4–TiO2 NRAs | hydrothermal | – | 12.5 | – | 180 | vis | 94.18 | 2.0 times more than pure TiO2 | [97] |
| ZnFe2O4 –TiO2 NRAs | hydrothermal | – | 12.5 | – | 180 | vis | 94.086 | 2.0 times more than pure TiO2 | [97] |
| SrFe2O4–TiO2 NRAs | hydrothermal | – | 12.5 | – | 180 | vis | 92.39 | 2.0 times more than pure TiO2 | [97] |
| Semiconductor sulfide-modified TiO2 | |||||||||
| CdS@TiO2 | two-step solvothermal method | – | – | – | 30 | vis | 100 | – | [198] |
| CdS NSPs@TiO2 | facile interfacial self-assembly strategy | – | 20.0 | 0.333 | 40 | vis | – | – | [199] |
| TiO2–CdS films |
one-step microwave
assisted chemical bath deposition method |
– | 10.0 | – | 240 | vis | 93 | 3 times more than TiO2 film | [200] |
| SnS2–TiO2 |
solvothermal
reactions |
– | – | – | – | vis | 100 | 6.6 times more than pure TiO2 | [206] |
| Noble-metal-modified TiO2 | |||||||||
| Ag–TiO2 | sol–gel method | 2.0 | 10.0 | 0.2 | 240 | vis | 99.8 | – | [217] |
| Ag–Ag2S/TiO2 | hydrothermal | 3.0 | 10.0 | 1.0 | 360 | vis | 100 | 3 times more than pure TiO2 | [219] |
| Au/N–TiO2 | modified sol–gel method | – | 10.0 | 1.0 | 240 | vis | 90 | 2.6 times more than pure TiO2 | [220] |
| Au/TiO2−Pt | – | 2.0 | 103.99 | 10.0 | 1440 | vis | 99 | – | [221] |
| TiO2–Au/Pt | – | ≈2.5 | 5.0 | 0.25 | 25 | UV–vis LED | 100 | – | [222] |
| TiO2@Au@CeO2 | hydrothermal route | 4.03 | 5.0 | 0.3 | 300 | vis | 95 | 2.96 times more than Degussa P25 TiO2 | [223] |
| TiO2@Pt@CeO2 | sacrificial template route | – | 2.49 | 0.3 | 150 | vis | 99 | 1.66 times more than TiO2 | [225] |
| Dye-sensitized TiO2 | |||||||||
| (Cu) PP-TiO2 | – | – | 7.06 | 1.0 | 400 | vis | 99 | – | [228] |
| N719 dye–TiO2 films | – | 2.0 | 7.06 | – | 60 | vis | 99.5 | – | [229] |
Photocatalytic reduction of Cr(VI) over reduced graphene oxide modified TiO2
Graphene is a single layer of two-dimensional carbon material with graphite structure. Because of its low cost, excellent conductivity, superior chemical stability and exceptionally high specific surface area, graphene and its derivatives have attracted significant attention for various applications like photocatalysis, energy storage, nano-electronics and photovoltaics [106-110]. In photocatalytic water treatment, these are considered as promising candidates to combine with semiconductors as they have good electron collector and transporter properties. These materials suppress the recombination of charge carriers by effectively transporting the photoinduced electrons of the semiconductor, resulting in high photocatalytic activity [111-116]. In addition to this, graphene support on TiO2 results in higher transport of photogenerated charge carriers, enrichment of light harvesting, increase of surface active sites and chemical stability of photocatalysts, which are essentially needed for a good photocatalyst [117-119]. The transport of electrons is facilitated from the semiconductor to graphene only when the work function of graphene is greater than the conduction band energy of the semiconductor. Since the work function of graphene (≈4.42 eV) [120,121] is greater than the conduction band potential of TiO2 (−4.21 V vs vacuum) [122-124], photogenerated electrons from TiO2 are efficiently transported to graphene, leading to enhanced photocatalytic activity (Figure 7).
Figure 7: Transport of photoinduced electrons from the conduction band of TiO2 through an RGO sheet, resulting in suppression of the recombination of charge carriers, which facilitates enhanced photocatalytic reduction of Cr(VI).
Figure 7: Transport of photoinduced electrons from the conduction band of TiO2 through an RGO sheet, resultin...
Liu et al. reported that TiO2–RGO composites exhibited enhanced photocatalytic performance for the reduction of Cr(VI) by UV light illumination as compared to pure TiO2 and commercial P25 [125]. The enhancement in the photocatalytic activity is mainly due to two reasons: (i) inhibition in recombination of electron–hole pairs by the effective transport of photoinduced electrons from the CB of TiO2 to RGO [126,127], and (ii) higher light absorption due to the development in surface electric charge of the oxides [128]. In addition, the red shift in the absorption edge of the TiO2 –RGO composite as compared to pure TiO2 is ascribed to the formation of C–O–Ti bonds [126]. It was further observed by Liu et al. that the photocatalytic reduction of Cr(VI) by the TiO2 –RGO composite increases with increasing RGO content and reaches a maximum value of 91% for a sample containing 0.8 wt % of RGO. However, upon further increase of the RGO content, the photocatalytic performance deteriorated [125]. This may be due to formation of recombination centers by excess RGO, which facilitates recombination of electron–hole pairs instead of providing an electron pathway [129,130] and maximizes the light harvesting competition between TiO2 and RGO [128]. Zhao et al. prepared TiO2–RGO composites with large specific surface area (104.9 m2/g) [131]. At low pH, the large surface of the composite becomes positively charged, which adsorbed negatively charged Cr(VI) species effectively through electrostatic attraction. This facilitated the photocatalytic reduction of Cr(VI). In addition to this, the grafting of TiO2 onto RGO forms C–O–Ti bonds, which extends light absorption of TiO2 to longer wavelengths (visible region) for generation of photoelectrons as well as favors the effective transfer of these photoinduced electrons for enhanced photocatalytic activity towards reduction of Cr(VI). About 86.5% of Cr(VI) was photoreduced by TiO2–RGO composites, while TiO2 photoreduced only 54.2% of Cr(VI). They proposed following mechanism for photocatalytic reduction of Cr(VI) by the TiO2–RGO composite. At first, negatively charged Cr(VI) species are bound with the protonated surfaces of TiO2–RGO through electrostatic attraction. Then there a photocatalytic reduction of Cr(VI) to Cr(III) occurs under irradiation with visible light, in the second step. Third step involves either release of Cr(III) species into the solution due to their electrostatic repulsion from the protonated surfaces of TiO2–RGO or their adsorption by deprotonated surfaces.
Li et al. fabricated a composite of TiO2 and reduced graphene oxide hydrogel (rGH). The 3D macrostructures of rGH enhanced the accessible surface area and possessed highly porous structures with a pore size distribution of several micrometers, which enabled the use of the composite for the fast adsorption of Cr(VI) through π–π interactions and a nonporous surface adsorption technique. Moreover, the combination of rGH with TiO2 nanospheres suppressed the recombination of photoinduced charges and facilitated the transport of photoelectrons for efficient photocatalytic reduction of Cr(VI) under irradiation with UV radiation. Thus, the fabricated photocatalyst exhibited superior synergetic performance of adsorption and photocatalysis by removing 100% Cr(VI) from a solution containing 5 mg L−1 of Cr(VI) within 30 minutes. Under continuous flow conditions, the percentage removal was maintained at 100% till the breakthrough point was achieved [132]. Halloysite–polyaniline core–shell nanotubes exhibited higher Cr(VI) oxyanion reduction and adsorption. The activity could be varied with concentration, pH and dopant acid [133].
Graphene-wrapped differently faceted (001 and 101) TiO2 hollow-core–shell microspheres (TGHMs) have been fabricated by Liu et al. and were applied for efficient photocatalytic Cr(VI) reduction [134]. They prepared the photocatalyst using a direct-wrapped route followed by hydrothermal etching. The high charge separation efficiency and redox ability are due to the synergetic effect of formation of a Z scheme photocatalytic process and its facilitation by a RGO nanosheets, as shown in Figure 8.
Figure 8: RGO–TiO2 core–shell Z scheme for photocatalytic reduction of Cr(VI). Reprinted from [134], an article distributed under the Creative Commons Attribution 4.0 license, http://creativecommons.org/licenses/by/4.0/, copyright the authors of [134].
Figure 8: RGO–TiO2 core–shell Z scheme for photocatalytic reduction of Cr(VI). Reprinted from [134], an article di...
Shaikh et al. synthesized TiO2–RGO nanocomposites with uniformly dispersed 4–9 nm diameter TiO2 nanoparticles by a one-step solvothermal technique and evaluated its photocatalytic activity towards reduction of Cr(VI). The use of 1 wt % of RGO at acidic pH (pH 2) exhibited higher photoreduction due to the interfacial charge transfer by RGO [135]. A maximum of 96% Cr(VI) reduction was achieved. An RGO–TiO2 composite photocatalyst was prepared by a wet impregnation route followed by surface complexation with a simple glucose molecule. The prepared photocatalyst reduced 100% of 30 mg L−1 Cr(VI) within 60 minutes under illumination with visible light. The role of glucose is to enhance the light absorption and separation of charge carriers through complex formation with RGO/TiO2. This leads to the increase in photocatalytic reduction of Cr(VI) [136].
Chen et al. fabricated Mn-doped TiO2–RGO photocatalysts through a one-pot hydrothermal method and studied the photocatalytic reduction of Cr(VI) under solar illumination. The high photocatalytic activity is attributed to the Mn doping and synergetic effect of adsorption and photocatalysis by the RGO support. The photogenerated electrons are transported from the Mn-doped TiO2 through RGO and were found to reduce the adsorbed Cr(VI) [137]. A Ti–SBA-15–g-C3N4 material was also shown to exhibit higher Cr(VI) photoreduction under visible light illumination. The Ti moiety in Ti–SBA-15 can extract the conduction band electrons of g-C3N4 after visible light irradiation followed by transfer of electrons to Cr(VI) to produce Cr(III) [138].
Photocatalytic reduction of Cr(VI) using CNT-modified TiO2
Carbon nanotubes (CNTs) have also been shown to possess excellent electronic and conductive properties. Waldmann et al. studied photocatalytic reduction of Cr(VI) over TiO2-coupled CNTs. The reduction rate of Cr(VI) increased due to transfer of photogenerated electrons through CNT surfaces in the absence of sacrificial agents [139]. Huang et al. reported that a simultaneous photocatalytic degradation of Cr(VI) and phenol occurs over CNT-modified TiO2.The high photoactivity of CNT–TiO2 may be attributed to the synergistic effect of adsorption and electron trap properties of the CNTs [140].
Photocatalytic reduction of Cr(VI) using carbon-dot-modified TiO2
Carbons dots (CDs) are now being widely investigated as co-catalysts because of their intriguing properties such as small size, high dispersion, abundant surface functional groups, unique photoluminescence and good electron transfer ability [141,142]. Carbon dot–TiO2 (CD–TiO2) nanosheet composites synthesized by a hydrothermal route were studied for photoreduction of Cr(VI) under sunlight illumination [143]. Its enhanced photoreduction capacity over TiO2 nanosheets, P25 and CD–P25 was attributed to the better charge transfer as well as higher light absorption properties of CDs. The in situ formation of H2O2 promotes the photoactivity to a great extent. Zhang et al. synthesized CDs coupled with TiO2 mesocrystals (CD/MT) in which the CDs acted as both the electron collectors and the active sites [144]. The negatively charged Cr(VI) species adsorbed effectively onto the positively charged surface of the CD/MT followed by photoreduction of Cr(VI) to Cr(III) ions that could be desorbed easily from the surface. Therefore, the selective adsorption–desorption phenomena facilitated the recycling ability of CD/MT and enhanced its photoreduction efficiency by 5.4 fold as compared to that of TiO2.
Modifications of TiO2 with semiconductor oxides for photocatalytic reduction of Cr(VI)
Modification of TiO2 with semiconductor oxides having a suitable band gap is a novel approach for significant charge separation, long lifetime of the charge carriers and effective interfacial charge transfer, which are properties that lead to enhanced photocatalytic activity. This also enhances the light absorption range towards longer wavelengths. The band edge potentials and band gaps of different semiconductor oxides and sulfides are given in Figure 2.
Photocatalytic reduction of Cr(VI) over TiO2 modified with simple transition metal oxides under UV irradiation
Transition metal oxides such as ZnO have been combined with TiO2 to form composite photocatalysts, which are used efficiently for photocatalytic reduction of Cr(VI). ZnO has been recognized as a potential photocatalyst for extensive environmental applications because of its availability and low cost. It also possesses intriguing optical and electric properties [145-148]. Studies involving ZnO-mediated photoreduction of Cr(VI) have been carried out under illumination with UV radiation [149]. Since the conduction band edge potential for TiO2 is more positive than that of ZnO (Figure 2), the combination of ZnO with TiO2 can cause transfer of electrons from the CB of ZnO to that of TiO2 and holes from the VB of TiO2 to that of ZnO, upon UV irradiation. This leads to effective separation of photoinduced charge carriers, which was shown to enhance the photocatalytic activity of a ZnO/TiO2 composite [150]. Hence, ZnO is considered as a suitable semiconductor to be coupled with TiO2 [151-153].
Joubani and coworkers reported that a ZnO/TiO2 composite photocatalysts exhibited superior photocatalytic performance by reducing a maximum of 99.99% of Cr(VI) as compared to TiO2 and ZnO, which reduced 86.07% and 82.33% of Cr(VI), respectively. Its better performance was also evident from the consumption of the lowest electrical energy per order of magnitude for photocatalytic reduction of Cr(VI) as compared to that in UV/ZnO and UV/TiO2 systems [92]. The rate of photocatalytic reduction of Cr(VI) was increased by increasing the photocatalyst dose [154]. Ku et al. reported that the combination of ZnO on the surface of TiO2 at a higher calcination temperature (>500 °C) prevents the transformation of anatase to rutile phase. It also enhances the specific surface area of the ZnO/TiO2 composite by inhibiting aggregation and agglomeration of particles. On increasing ZnO content in the ZnO/TiO2 composite, the rate of reduction of Cr(VI) was increased and the sample containing 2.0 mol % ZnO exhibited a maximum photocatalytic reduction of Cr(VI) in aqueous solution as the recombination of charge carriers is suppressed by the effective transfer of electrons from ZnO to TiO2 [155]. Further increase in ZnO content created new recombination centers of electron–hole pairs by abundantly available ZnO particles, resulting in a decrease in the degradation rate [156]. The photocatalytic reduction of Cr(VI) was decreased with further increase in the calcination temperature because of the decrease in the specific surface area induced by the aggregation and agglomeration of particles [157].
TiO2/Fe3O4 composite photocatalysts were synthesized through a polymerizable sol−gel route to investigate the photocatalytic reduction of Cr(VI) under UV light irradiation. The anchoring of TiO2 over Fe3O4 resulted in (i) high dispersion of the active site, which is important for achieving higher reaction rate, (ii) enhancement of the photoreduction rate by decreasing the recombination of electron−hole pairs due to significant overlap of the TiO2 band with that of Fe3O4 and (iii) efficient separation and recyclability of the catalyst under application of an external magnetic field because of the presence of magnetic Fe3O4. Therefore, the composite photocatalysts exhibited a higher rate of photoreduction of Cr(VI) as compared to the nonsupported bulk TiO2 as well as calcined Fe3O4. In fact, 30% TiO2/Fe3O4 has shown the highest Cr(VI) photoreduction rate due to formation of effective heterojunction by the loading of 30% TiO2 over Fe3O4 [158].
Visible-light responsive, transition metal oxide modified TiO2 for photocatalytic reduction of Cr(VI)
Two types of transition metal oxides have been combined with TiO2 for photocatalytic reduction of Cr(VI). One type are simple metal oxides with the common formula MOx and the other are mixed metal oxides of general formula MM′Ox, where M and M′ represent transition metal ions and x represents an integer.
Photocatalytic reduction of Cr(VI) by TiO2 modified with simple metal oxides: The coupling of TiO2 with simple metal oxides such as Bi2O3, WO3, or Cu2O is a promising strategy to design highly efficient photocatalysts [86,159,160]. The recombination of the photogenerated charge carriers is not only suppressed but also the spectral response of TiO2 is extended to the visible spectrum by combining these metal oxides [159,161]. Moreover, formation of a p–n heterojunction is another strategy to facilitate the effective separation of electron–hole pairs and to extend light absorption to the red end of the solar spectrum [162-164]. The p–n junction is formed by coupling a p-type (hole-rich) semiconductor with n-type (electron-rich) TiO2. As a result, the photoelectrons are diffused to the p-type semiconductor and holes are diffused to n-type TiO2 to create an inner electric field at the interface of electron–hole diffusion. The inner electric field thus formed acts as a potential barrier to inhibit the recombination of these charge carriers by escalating the transport of electrons from p-type to n-type and that of holes from n-type to p-type semiconductors. Several studies have been reported on photocatalytic reduction of Cr(VI) by TiO2–p-type semiconductor metal oxide heterojunctions. The mechanism for visible-light-driven photocatalytic reduction of Cr(VI) on TiO2–p-type metal oxide heterojunctions is explained in Figure 9.
Figure 9: Mechanism for photocatalytic reduction of Cr(VI) by TiO2–MOx under irradiation of visible light.
Figure 9: Mechanism for photocatalytic reduction of Cr(VI) by TiO2–MOx under irradiation of visible light.
Cuprous oxide (Cu2O) is a p-type semiconductor having band gap energy of 2.17 eV. It possesses a high absorption coefficient over the whole visible region, and hence, is used as a suitable solar energy converter [160]. Moreover, it is nontoxic and highly abundant in the earth’s crust [163]. Abdullah and co-investigators deposited p-type Cu2O on TiO2 nanoparticles to form TiO2/Cu2O nanocomposites, a p–n nano-heterojunction having a built-in electric field at the interfaces. This built-in electric field largely prevented the recombination of photoexcited charge carriers, resulting in increased lifetime of photocarriers, induced higher quantum efficiency and a largely enhanced photocatalytic performance. It also caused a drift of photogenerated electrons to the CB of TiO2 for reduction of Cr(VI) to Cr(III) and that of holes to the VB of Cu2O for oxidation of water to oxygen under visible-light irradiation. Since green colored precipitates of Cr(OH)3 are formed on the surfaces of TiO2/Cu2O nanocomposites, the possibility of re-oxidation of Cr(III) to Cr(VI) was avoided although the reduction potential of Cr(III) was more negative than that of water [96]. The oxidation of water to O2 was confirmed from the photocatalytic oxidation of water [165]. Upon increasing the content of Cu2O in TiO2/Cu2O nanocomposites, photoreduction increased and reached a maximum for 30% Cu2O. This is because 30% Cu2O might be an appropriate amount for the formation of a p–n junction between TiO2 and Cu2O nanoparticles, which could efficiently separate photogenerated charge carriers for higher photoactivity under visible light. Almost 100% of a 10 ppm K2Cr2O7 solution was degraded in 90 min. A further increase in the concentration of Cu2O would cover the surface of TiO2 and retard the transfer of photoelectrons to outer surface. The percentage photoreduction of Cr(VI) decreases with the increase in number of cycles, mainly due to deposition of Cr(OH)3 on the surfaces of the nanocomposites. Cu2O with several crystal structures such as octahedrons, rhombic, dodecahedrons and cubes with different facets were synthesized and their efficiency towards photocatalytic reduction of Cr(VI) was investigated by Qin et al. [166]. Zhong and co-workers fabricated Cu-decorated TiO2 nanotube photoelectrodes by a facile hydrothermal method. The optoelectronic coupling between Cu nanoparticles and TiO2 nanotubes enhanced the rate of transfer of electrons and subsequently suppressed the electron/hole pair recombination due to which photoreduction of Cr(VI) was increased [167]. Cu/Cu2O-decorated TiO2/alginate beads synthesized by a novel, environmentally friendly polyol process exhibited excellent photoreduction of Cr(VI). The superior performance may be attributed to the homogeneous TiO2 dispersion, presence of Cu nanoparticles for facilitating charge separation processes, synergetic effect of the TiO2/Cu2O heterojunction and the small size of the photocatalyst [168].
Velegraki et al. fabricated 3D mesoporous networks of assembled CoO nanoparticles (CoO MNAs) to study its photocatalytic behavior towards reduction of Cr(VI) under UV and visible light irradiation. The enhanced photocatalytic performance may be attributed to its accessible pore volume, appropriate band edge positions and specific reactivity of the crystal phase. Photocatalytic reduction of Cr(VI) proceeds with simultaneous formation of molecular oxygen and hydroxyl radicals at the CoO surface [169]. NiO is a p-type semiconductor, which can conveniently be combined with different photocatalysts and the composite photocatalysts exhibit higher activity [170-172]. The introduction of nickel oxide into the TiO2 matrix restricts the transformation of anatase to rutile phase possibly because of the presence of Ni2+ ions that stabilize the anatase phase. Further, the presence of NiO would hinder the aggregation of TiO2 particles, resulting in increase of surface area and decrease of particle size of the photocatalyst [173]. An increase in the surface area of NiO/TiO2 will lead to an increase of active sites, which enhances the photocatalytic activity. Ku et al. reported that coupling of p-type NiO with n-type TiO2 resulted in the development of an NiO/TiO2 photocatalyst with the formation of a p–n junction [161]. The inner electric field developed by the thus formed p–n junction separated the photogenerated holes and electrons effectively by transferring the holes into NiO and electrons into TiO2. As a result, the coupled photocatalyst exhibited a higher photovoltage intensity and enhanced photocatalytic activity towards reduction of Cr(VI). However, the photoactivity was reduced with increasing NiO dosage because excess NiO acted as the recombination centers for photogenerated charge carriers. Therefore, a photocatalyst containing 0.1% NiO and calcined at 500 °C exhibited maximum Cr(VI) reduction. In addition to this, the introduction of NiO resulted in good contact between NiO and TiO2, and as a consequence, the Ti 3d and Ni 3d sates are overlapped to form a modified conduction band. This caused band gap reduction resulting in a red shift of the absorption. Hence, the coupling of NiO with TiO2 not only retards the recombination of photogenerated electrons and holes, but also extends the absorption edge towards the visible region. Moreover, an increase in the Ni content hinders aggregation of TiO2 because an appreciable amount of NiO restricts the growth of TiO2 particles. The inhibition in aggregation resulted in an increase of the surface area, which improves the active sites that promote the photocatalytic activity of NiO/TiO2 particles [161].
Since the ionic radius of W6+ is similar to that of Ti4+, coupling of TiO2 with WO3 forms a well-doped WO3/TiO2 composite, which can be applied for photocatalytic degradation of pollutants under visible light irradiation. Yang et al. reported that the photoreduction of Cr(VI) by WO3-doped TiO2 nanotube (NT) arrays was found to be greater than that of neat TiO2 NT arrays [159]. This is because the incorporation of WO3 with TiO2 facilitates the separation of photoinduced charge carriers and shifts the absorption edge to the visible region by reducing the band gap of TiO2 [162,174]. The highest photoreduction efficiency of Cr(VI) was obtained with WO3/TiO2 NTs containing 1% tungsten (W) as it provides highest photocurrent and creates photogenerated carriers with the longest lifetime. On further increasing the W content, photocurrents are decreased because excess WO3 nanoparticles serve as the recombination centers. Moreover, the decrease of the interfacial charge space of the WO3/TiO2 NTs with increasing W content was also responsible for the reduction of photocurrent. Dozzi et al. synthesized a series of titanium–tungsten mixed oxides through coupling of TiO2 with varying WO3 percentage by a base-catalyzed sol–gel method [175]. WO3 plays a vital role in inhibiting charge recombination for efficient charge transfer to enhance the Cr(VI) reduction.
Bi2O3 possesses a narrow band gap (2.8 eV), appropriate valence band position, and similar photocatalytic mechanism to that of TiO2. Hence, it can conveniently be coupled with TiO2 [176,177]. Yang and co-workers prepared Bi2O3/TiO2 coupled photocatalysts by a sol–gel method followed by a hydrothermal technique. The coupling of Bi2O3 not only hindered the transformation of anatase phase to rutile but also facilitated the extension of the absorption range to the visible region. It also escalated the interfacial charge transfer between Bi2O3 and TiO2. The maximum photocatalytic activity under irradiation of visible light for reduction of Cr(VI) was exhibited by 2.0% Bi2O3/TiO2. A further increase in Bi2O3 dosage may create new recombination centers of photoinduced charge carriers, which in turn decreased the photocatalytic activity [178].
Photocatalytic reduction of Cr(VI) by TiO2 modified with spinel metal oxides: Spinel types of metal oxides with the general formula AB2O4 (where A is a divalent metal ion and B is a trivalent metal ion) possess narrow band gaps which enable them to absorb throughout the visible region [179]. In addition, these materials have a high tendency for conduction of electrons because the hopping of electrons takes place between different valence states of metals in O-sites. This caused efficient transfer of charge carriers [180]. Hence, spinel oxides are being recognized as the potential photocatalysts.
The modification of TiO2 with these metal oxides has shown promising behavior in photocatalytic Cr(VI) reduction. Gherbi et al. reported the visible-light-driven photoreduction of Cr(VI) over CuAl2O4/TiO2 [181] with 95% reduction after 3 h irradiation at pH 2. The photoreduction follows first order kinetics with a half-life of ≈1 h and a quantum yield of 0.11%. Photocatalytic reduction of chromate ions under sunlight over CuBi2O4/TiO2 has also been reported by Lahamar et al. A remarkable performance of 98% reduction is obtained in less than 4 h for a Cr(VI) concentration of 30 mg L−1 at pH ≈4 by using 1 g L−1 catalyst. The kinetics of chromate photoreduction is well described by the Langmuir–Hinshelwood model [182]. The heterosystem CuCo2O4/TiO2 for the removal of Cr(VI) by photocatalytic reduction under visible light has been reported by Kebir et al. [183]. The synergetic effect of adsorption and photocatalytic reduction with proper band alignment are attributed to enhanced Cr(VI) removal from tannery wastewater.
Transition metal ferrites have also been combined with TiO2 for photocatalytic reduction of Cr(VI) not only due to their efficient visible-light-induced photocatalytic activity, but also due to their high photostability, good super-paramagnetic behavior, nontoxicity, facile fabrication, enhanced adsorption ability, low cost and abundant availability [184,185]. The Trari group also reported photocatalytic reduction of Cr(VI) by spinel ZnFe2O4. The photoelectrons generated in ZnFe2O4 are injected into TiO2 and subsequently transferred to Cr(VI), which is reduced to a trivalent state [186]. Gao et al. fabricated MFe2O4 (M = Ni2+, Zn2+, Co2+ and Sr2+) modified TiO2 nanorod arrays (NRAs) to compare their photoelectrochemical and photocatalytic activity with that of bare TiO2 NRAs towards reduction of Cr(VI) [97]. All the modified TiO2 NRAs exhibited strong visible light absorption due to the intrinsic band gap absorption of MFe2O4. Since the CB of MFe2O4 is more positive than that of TiO2, the excited electrons can move from MFe2O4 to the CB of TiO2, whereas the generated holes are accumulated in the VB of MFe2O4. This leads to an effective charge transfer, leading to longer lifetime. As a result, NiFe2O4/TiO2 NRAs, ZnFe2O4/TiO2 NRAs and SrFe2O4/TiO2 NRAs exhibited enhanced photocatalytic activity as compared to bare TiO2 NRAs. On the other hand, the CB of CoFe2O4 is more positive than that of TiO2, while its VB is more negative than that of TiO2 [50,187]. This made the CoFe2O4/TiO2 heterojunction nonconductive, resulting in inefficient separation of photoexcited charge carriers and hence poor photocatalytic activity was achieved.
Metal-sulfide-modified TiO2 as visible-light-responsive photocatalysts for photoreduction of Cr(VI)
Metal sulfides such as CdS and SnS2 are considered as potential candidates for harvesting light in the visible region due to their narrow band gap and are being used as visible-light-responsive photocatalysts in wastewater treatment for degradation of pollutants [188-191]. These can also act as promising sensitizers for wide band gap semiconductors such as TiO2 [192]. In this section, we discuss the photocatalytic activity of metal sulfide modified TiO2 towards reduction of Cr(VI).
Cadmium sulfide (CdS) is an important semiconductor with a direct band gap of 2.4 eV that corresponds well with the visible region of the electromagnetic spectrum. Thus, it is considered as an excellent visible-light induced photocatalyst. Moreover, it has a more negative conduction band edge potential with respect to H+/H2 redox potential. However, its application is greatly limited in photocatalysis due to the very fast rate of recombination of photogenerated charge carriers and high photocorrosion affinity in the presence of solar light [193-195]. The coupling of CdS with another semiconductor is a suitable strategy to overcome these restrictions [196]. When CdS is loaded onto TiO2, the surrounding matrix of the later prevents the former from photocorroding [197]. In addition, CdS acts as a photosensitizer to absorb visible radiation and transfers eCB− to the CB of TiO2 by retaining hVB+ at its VB. As a result, the recombination of photoinduced species is appreciably inhibited [70]. Therefore, it is often combined with TiO2 for enhanced photocatalytic reduction of Cr(VI). A one-dimensional CdS–TiO2 core–shell (CdS@TiO2) nano-photocatalyst possessed higher reduction and selectivity of Cr(VI) due to the core–shell structure where hVB+ are trapped by the TiO2 shell [198]. Ultrathin TiO2-coated CdS core–shell spheres have also been prepared by Chen et al. A coating of an ultrathin TiO2 layer on CdS nanoparticles imparts good light harvesting properties, enhanced adsorption capacity, effective charge transport and longer lifetime of excitons, for which the core–shell spheres exhibited higher efficiency for photoreduction of Cr(VI) [199]. Liu et al. reported that CdS sensitization can enhance the photocatalytic performance of TiO2 films with a maximum reduction rate of 93% for 240 min under white LED light irradiation as compared to that of pure TiO2 film (31%). This was attributed to an increase in light absorption and reduction in the recombination of injected electrons from CdS to TiO2 [200].
SnS2 is a p-type semiconductor with a band gap of 2.2 eV, which is suitable for visible light absorption (λ > 420 nm). It is harmless, chemically stable and of low cost [201]. It also exhibits relatively higher stability against oxidation and photocorrosion as compared to CdS. Hence, SnS2 is considered as a promising photocatalyst among the semiconductor metal sulfides [202,203]. Mondal et al. have synthesized shape oriented SnS2 nanostructures by a facile fabrication route on a large scale [204]. The nanoyarn and nanoflower materials were investigated for photoreduction of Cr(VI) under visible light. The enhanced photoactivity of nanoflowers compared to nanoyarn is attributed to a higher surface area and higher photoabsorption. Qu et al. fabricated a corallite-like nanocomposite by surface modification of SnS2 and spirobenzopyran derivative (SPNH) with macroporous ordered siliceous foam (MOSF). SnS2 nanocrystals exhibited enhanced photocatalytic reduction of Cr(VI) under visible light irradiation after being encapsulated into the matrix of MOSF. On the other hand, SPNH decorated on the surface of MOSF generated phenoxy groups by a ring opening reaction in the presence of UV light. The phenoxy groups thus formed could chelate soluble Cr(III) selectively through ligand coordination. As a result, the corallite-like nanocomposite detoxified Cr(VI) from the contaminated solution through visible-light-induced photocatalysis followed by adsorption of Cr(III). Furthermore, the photocatalyst is stable after three cycles of Cr(VI) degradation [205]. A heterojunction structure of SnS2/TiO2 nanocomposites was prepared by Zhang et al. [206]. Both VB and CB potentials of SnS2 are more negative than those of TiO2 due to which photogenerated electrons are transferred efficiently from the CB of SnS2 to that of TiO2 under irradiation of visible light, and the photogenerated holes remain on the VB of SnS2 [207]. This leads to effective separation of photogenerated electrons and holes in SnS2. Therefore, the lifetime of the charge carriers is increased owing to interfacial charge transfer to the adsorbed substrates [208-210]. Moreover, TiO2 can be sensitized due to this electron transfer process. As a result, the photogenerated electrons reduced Cr2O72− to Cr(III) and the holes oxidized water to O2 in the absence of extra reducing agents or hole scavengers [211-213]. Hence, the nanocomposite photocatalyst (SnS2/TiO2) exhibited higher visible-light-driven photocatalytic activity in reduction of Cr(VI) as compared to individual SnS2 and TiO2. Furthermore, the composition of the composite plays an important role in obtaining high photocatalytic efficiency. When the TiO2 content is less, the surfaces of SnS2 nanoparticles are insufficiently covered with TiO2 nanoparticles, resulting in inhibition of interfacial electron transfer from SnS2 to TiO2. This leads to poor photocatalytic activity. On the other hand, excess TiO2 on the SnS2 surface possibly blocked the light irradiation on SnS2 and hindered the contact of SnS2 with aqueous Cr(VI), due to which the rate of photoreduction is decreased. Therefore, the SnS2/TiO2 nanocomposite containing an adequate amount of TiO2 (44.5%) possessed the highest photocatalytic activity for reduction of Cr(VI). It also exhibited higher photocatalytic activity in comparison with the materials prepared by simple physical mixing of SnS2 and TiO2 nanoparticles with the same composition. This suggested that SnS2 and TiO2 nanoparticles were well-mixed and closely contacted with one another in the composite. As a result, the composite provided a better heterojunction interface for effective charge transfer and decreased self-agglomeration [206]. Similar observations were obtained for SnS2/TiO2 nanocomposites prepared by depositing smaller nanocrystals of TiO2 on the surface of larger SnS2 nanocrystals [93].
Photocatalytic reduction of Cr(VI) using noble-metal-modified TiO2
The modification of TiO2 by noble metals such as Ag, Au, Pt and Pd facilitates photocatalytic activity due to the significant visible light absorption ability and prominent efficiency in separation of photogenerated charge carriers of these metals. Ag-loaded TiO2 photocatalysts were prepared by Liu et al. through the photochemical impregnation method for photocatalytic reduction of Cr(VI) and the enhanced activity was attributed to the co-catalytic behavior of Ag and Ti3+ species formed after Ag modification [214]. Noble metal (Ag, Pd, Pt) deposited TiO2 with oxygen vacancies were fabricated by Pan and Xu for visible-light-active photocatalytic reduction of Cr(VI). The deposition of noble metal can effectively facilitate the charge transfer efficiency of TiO2 and oxygen vacancy creation enhances the light absorption [215]. Magnesium and silver co-impregnated TiO2 nanoparticles were prepared by Eskandarloo et al. for photoreduction of Cr(VI) [216]. Lei et al. reported that the surface plasmon absorption of spatially confined electrons in Ag nanoparticles extends the light absorption of Ag-doped TiO2 nanomaterials to the visible region. Furthermore, the presence of Ag ions inhibits the recombination of photoinduced species in TiO2. As a result, Ag–TiO2 exhibited enhanced visible light induced photoactivity towards reduction of Cr(VI) [217]. Co3O4/Ag/TiO2 nanotubes arrays synthesized via photodeposition of Ag and modification of Co3O4 for enhancement in visible-light photoelectrochemical performance have been studied by Zhang et al. [218]. Photoreduced Ag acted as a bridge that transferred the electrons from Co3O4 to TiO2 for simultaneous Cr(VI) reduction and pollutant oxidation. Hollow spherical Ag–Ag2S–TiO2 was prepared through in situ chemical transformation of sacrificial Cu2S templates with AgNO3 solution [219]. The enhanced photoreduction of Cr(VI) is attributed to the synergetic effect of the heterojunction and Schottky barrier that transfer the photogenerated electrons more efficiently. The introduction of Au facilitates the transfer of photogenerated electrons from the CB of TiO2 to the Au surface, resulting in the effective separation of charge carriers and easy availability of electrons for Cr(VI) reduction. It was also reported that about 90% Cr(VI) reduction was achieved by the photocatalyst containing 0.3 wt % Au. Further increases in Au content decreased the photoreduction because an excess amount of Au can create recombination centers for electron–hole pairs and can cause a light harvesting competition between N-TiO2 and Au [220]. Tanaka et al. investigated the reduction of Cr(VI) over the functionalized plasmonic photocatalyst Au/TiO2−Pt under irradiation with visible light. The mechanism of photoreduction is explained in the Figure 10. Owing to the surface plasmon resonance (SPR) phenomenon, Au nanoparticles absorb photons from visible light and release electrons. These electrons are transferred from Au to the Pt co-catalyst through the CB of TiO2, since the Fermi level of Pt is lower than that of Au. The photogenerated electrons on Pt reduce Cr(VI) to Cr(III). In the meantime, electron-deficient Au particles are converted to their original metallic state by oxidizing H2O to O2 [221].
Figure 10: Mechanism of reduction of Cr(VI) using a Au/TiO2−Pt plasmonic photocatalyst under visible-light irradiation. Reprinted with permission from [221], copyright 2013 American Chemical Society.
Figure 10: Mechanism of reduction of Cr(VI) using a Au/TiO2−Pt plasmonic photocatalyst under visible-light irr...
The role of Au and Pt on the photocatalytic activity of anatase TiO2 nanosheets of {001} through {101} surface heterojunction for reduction of Cr(VI) was explained by Wang et al. [222]. The conduction power of TiO2 was greatly increased on excitation with a UV LED. Au nanoparticles deposited on the {101} facet produced hot electrons in the presence of green LED illumination due to the SPR effect. These hot electrons are transported to the Pt surface through the {101} facet, resulting in effective separation of electron–hole pairs. The photoelectrons at the surface of Pt reduced Cr(VI) to Cr(III). Overall, the {001} through {101} surface heterojunction, effective excitation of TiO2 and the synergistic effects of selectively deposited Au and Pt significantly improved the photocatalytic reduction of Cr(VI). A TiO2–CeO2 multilayer-shell-based core–shell photocatalyst was prepared by Cai et al. through a hydrothermal route using polystyrene as a template, and its photocatalytic activity was evaluated [223]. Au loading into TiO2–CeO2 core–shell nanostructures enhanced the photoactivity owing to the sandwich nanostructure of multishells of both the oxides and Au as a co-catalyst. A similar observation has also been reported by Pandikumar et al. in the case of silicate-supported Au–TiO2 nanotubes, where the role of Au is to enhance the charge transport by acting as a co-catalyst [224]. Li et al. studied the Pt@TiO2@CeO2 system for Cr(VI) photoreduction, where Pt acts as co-catalyst for better charge transport [225].
Dye-sensitized TiO2 photocatalysts for Cr(VI) reduction
To enrich the light harvesting properties of wide band gap semiconductors, dye sensitization is a useful technique and gained huge attention after the discovery of Gratzel’s dye-sensitized solar cell. The mechanism involves the excitation of dye molecules in the visible range and then charge transfer to the surface of the semiconductor. Methylene blue, erythrosin B, thioine and xanthane are some of the dyes which are commonly used in the sensitization process [226]. The Selli group have studied the photocatalytic reduction of Cr(VI) by taking dye-sensitized Au-deposited TiO2. The mechanism of the dye-sensitized TiO2 photocatalysis for Cr(VI) reduction is illustrated in Figure 11 [227]. The extra absorption bands of porphyrin dye make it a potential dye-sensitized visible-light-active material for photocatalytic applications. Kar et al. have loaded copper (II) ion in a protoporphyrin IX–TiO2 microsphere mixture and studied the effective photoreduction of Cr(VI) under visible light [228].
Figure 11: Mechanism for the photocatalytic Cr(VI) reduction by a dye-sensitized TiO2 nanocatalyst.
Figure 11: Mechanism for the photocatalytic Cr(VI) reduction by a dye-sensitized TiO2 nanocatalyst.
Cr(VI) photoreduction by a TiO2 film and a platinum anode was investigated by Wu et al. [229]. The TiO2 film consists of two zones: a dye-sensitized zone and a catalysis zone. In the dye-sensitized zone, light absorption and charge separation are accomplished, while in the catalysis zone, the electrons convert Cr(VI) to Cr(III). Copper azomethyn-bridged phenolic phthalocyanine dye functionalized on TiO2 was investigated for visible-light-active Cr(VI) reduction by Albay et al. [230] and an enhanced performance was observed in the presence of nanometer-sized TiO2.
A highly effective iron metal-framework photocatalyst (MIL-68(Fe)) has been successfully prepared by Jing et al. via a facile solvothermal method under acidic conditions [231]. The metal organic framework acts as an effective photocatalyst for Cr(VI) reduction and can remove different aqueous contaminants with malachite green (MG) as a scavenger.
Stability of TiO2-modified photocatalysts
The stability of a photocatalyst is considered as an important aspect for its industrial application. A photocatalyst can be highly stable and can efficiently be industrially applied only when it is conveniently recovered from wastewater and reused effectively without any change in crystal structure, phase or weight. Hence, it is most essential to study the recoverability and recyclability of the photocatalyst. In this section, the stability of different TiO2-modified photocatalysts in terms of their regeneration ability and reusability in wastewater treatment for potential application in remediation of Cr(VI) has been addressed.
Liu et al. have studied recycle tests up to five cycles for a RGO–TiO2 photocatalyst by taking fresh rhodamine B and Cr(VI) solution under stimulated solar light irradiation. Even after five cycles, there was no decrease of the performance of the catalyst, showing its high photostability [134]. RGO–Mn–TiO2 exhibited excellent stability with the high Cr(VI) removal efficiency of 96.61%, even after three cycles [137]. Wang and co-workers reported that graphene foam/TiO2 nanosheet hybrids could be promising in practical water treatment applications for removal of both Cr(VI) ions and organic dyes as these exhibited excellent recycle stability and easy recoverability [232]. The percentage removal of Cr(VI) was found to be 93%, 88%, and 80% for the first, second and third cycles, respectively, for TiO2/CdS films, indicating its high photostability [200]. Challagulla et al. reported that TiO2/Fe3O4 composite photocatalysts retained their efficiency towards reduction of Cr(VI) after the fourth cycle [158]. About 84% of it was recovered at the end of the fourth cycle. The recyclability of TiO2/Fe3O4 up to the fourth cycle towards photoreduction of Cr(VI) and its magnetic separation is shown in Figure 12.
Figure 12: (a) Recyclability of TiO2/Fe3O4 towards photoreduction of Cr(VI) up to 4 cycles, and (b) images of the magnetic separation of TiO2/Fe3O4. Reprinted with permission from [158], copyright 2016 American Chemical Society.
Figure 12: (a) Recyclability of TiO2/Fe3O4 towards photoreduction of Cr(VI) up to 4 cycles, and (b) images of ...
The regeneration of the catalyst was confirmed by XRD for the original crystal structure, XPS for the oxidation state and binding energy of the core level elements, Raman spectroscopy for retention of phases, SEM-EDS for morphology and VSM analysis for saturation magnetization. Therefore, this photocatalyst can be considered as highly stable under reaction conditions for potential applications in wastewater treatment.
Conclusion
The surface area, light absorption range, separation ability and transportation of photogenerated carriers are the parameters for controlling the performance of a photocatalyst in the remediation of Cr(VI). The modification of TiO2 results in the enhancement of the surface area, an increase in the light absorption range and the escalation of electron–hole pair separation, which in turn tremendously promote photoactivity towards reduction of Cr(VI). The high surface area of RGO causes fast adsorption of Cr(VI) onto RGO-modified TiO2 and facilitates transport of photoinduced electrons from TiO2 through the surface of RGO to suppress recombination of photogenerated charge carriers effectively. This results in an enhanced photocatalytic activity towards reduction of Cr(VI). The modification of TiO2 with RGO also extends the absorption range towards the red end of the visible spectrum. The concept of CDs in combination with TiO2 leads to better separation of photocarriers through the consumption of holes by in-situ-formed H2O2. Modifications with wide band gap semiconductor oxides like ZnO provide good contact with TiO2 and photocatalytic reduction of Cr(VI) was increased to a significant extent due to effective separation of charge carriers. However, the reaction is restricted to only the UV range. Narrow band gap semiconductors like metal oxides (e.g., Cu2O), mixed metal oxides (e.g., NiFe2O4) and metal sulfides (e.g., CdS, SnS2) form p–n heterojunctions upon coupling with TiO2 that created an inner electric field at the interface. The inner electric field formed provides a potential barrier which suppresses the recombination of charge carriers and facilitates the transport of photoelectrons for reduction of Cr(VI). As a result, the degree of photoreduction of Cr(VI) was remarkably increased. Furthermore, the heterojunction lowered the band gap energy between Ti 3d and O 2p states of TiO2 due to which light absorption of the coupled photocatalyst was extended to the visible region of the solar spectrum.
Dyes are used for sensitization of solar light to the surfaces of TiO2-based semiconductors to enrich light harvesting. In this review, porphyrin, xanthane and azo dye based sensitization with TiO2 catalysts are briefly discussed. The most effective method which was recently implemented is surface plasmon resonance metal induction in TiO2 through hot electron transition. Au, Ag and Pt metals having plasmonic properties coupled on TiO2-based plasmonic photocatalysts are discussed. Enhanced photoactivity has been reported when bimetallic (plasmonic and other metals) catalysts are utilized.
The photocatalytic reduction of Cr(VI) also depends on controlling experimental parameters like the pH of the solution, concentration of Cr(VI), catalyst dose and irradiation time of the photocatalyst. It was evident from Table 1 that the optimum conditions for maximum reduction of Cr(VI) varied from catalyst to catalyst, and hence, photocatalytic activity cannot be compared. However, a range of optimum conditions for maximum reduction can be listed for further research in this field. These optimal conditions are as follows: pH ≤ 5.5, initial Cr(VI) concentration 5.0–50.0 mg L−1, catalyst dose 0.2–1.0 g L−1 and irradiation time 15–360 min. A complete reduction of Cr(VI) was carried out over WO3/TiO2 NTs,TiO2/Cu2O, CdS@TiO2, RGO–(CdS nanowire)–TiO2, SnS2/TiO2 and Ag–Ag2S/TiO2 composite photocatalysts by harvesting visible light. In addition, the stability of the photocatalyst is an important factor as far as industrialization of the process is concerned. A few studies revealed the adequate stability of a modified TiO2 photocatalyst for efficient regeneration and reusability. NiFe2O4-modified TiO2 can also be considered as a promising photocatalyst not only due to its high photocatalytic activity towards reduction of Cr(VI) under visible light illumination, but also due to its good magnetic behavior that facilitates its separation from treated solution by the application of an external magnetic field. Figure 13 represents the combination of narrow band gap semiconductors with TiO2 for effective photocatalytic reduction of Cr(VI) under solar energy conversion.
Figure 13: Summary of narrow band gap semiconductors that can be combined with TiO2 for effective photocatalytic reduction of Cr(VI) through solar energy conversion.
Figure 13: Summary of narrow band gap semiconductors that can be combined with TiO2 for effective photocatalyt...
The combination of excess RGO, metal oxides, mixed metal oxides and metal sulfides with TiO2 resulted in the development of new recombination centers, which facilitates recombination of electron–hole pairs leading to poor photocatalytic activity.
Although photocatalytic reduction of Cr(VI) over modified TiO2 aims to be an environmentally benign and energy sustainable process, it faces some challenges regarding its practical applicability. These are described as follows.
- Despite the extension of the light absorption range of TiO2 from the UV to the visible region by its modification with carbon-based smart materials, metal sulfides, noble metals or the formation of p–n junctions using narrow bandgap metal oxides, the utilization of the complete solar spectrum is yet to be achieved for harnessing solar light for the photoreduction of Cr(VI).
- The use of noble metals such as Ag, Au, Pt are costly, and hence, their use in designing the photocatalyst will be expensive. It is a challenge to modify TiO2 with relatively low cost metals with the retention of the light absorption ability and properties of separation of charge carriers.
- The remediation of Cr(VI) through photocatalysis is restricted because of loss of weight during recycling of the photocatalyst. Although a few studies reported stability of modified TiO2 up to five cycles, the number of reuse cycles must be increased without loss in weight in order for widespread commercialization of the process.
- During photocatalytic reduction, Cr(VI) species are converted to Cr(III) ions, which are deposited on the surface of the photocatalyst; the resulting Cr(OH)3 shields the active surface sites and hinders the rate of reduction of Cr(VI). As a result, the efficiency of the photocatalyst is largely deteriorated during the recycling process. Therefore, the major challenge in photocatalytic reduction of Cr(VI) is to remove/inhibit the formation of Cr(OH)3 on the photocatalyst surface.
- Attention must be given to investigate remediation of Cr(VI) from wastewater, whereby the pH normally lies above that of the synthetic solution that is commonly used for photocatalytic reduction.
The future prospective of this review depends on the selection of appropriately modified TiO2-based photocatalysts for enhanced photoactivity in the complete solar spectrum. The modification of TiO2 with surface plasmon materials induces hot electron generation and injection to the CB of TiO2 semiconductors for better charge separation as well as light harvesting, leading to higher photocatalytic efficiency. The focus on cost effectiveness should be emphasized for use of plasmonic photocatalysts such as Al, Bi, and Cu instead of Pt, Au etc. Another alternative is to couple a RGO hydrogel and NiFe2O4 with TiO2 to set up a photocatalytic system with a low charge recombination rate and fast photoreduction of Cr(VI) by harvesting solar energy. This system will have the major advantage of easy magnetic separation of the catalyst from the treated solution. Efforts must also be given to increase the stability of the photocatalyst for long run without decrease in efficiency. Overall, a comprehensive attempt by the research community in the relevant fields should be made to overcome the differences in results between lab-scale research and large-scale industrial applications. Hopefully, the present review will provide a stepping stone to accelerate research in developing highly efficient photocatalysts with significant stability for remediation of Cr(VI) from wastewater through photocatalysis.
References
-
Sun, Z.; Yao, G.; Zhang, X.; Zheng, S.; Frost, R. L. Appl. Clay Sci. 2016, 129, 7–14. doi:10.1016/j.clay.2016.04.003
Return to citation in text: [1] -
Rafatullah, M.; Sulaiman, O.; Hashim, R.; Ahmad, A. J. Hazard. Mater. 2010, 177, 70–80. doi:10.1016/j.jhazmat.2009.12.047
Return to citation in text: [1] -
Ahmaruzzaman, M. Adv. Colloid Interface Sci. 2008, 143, 48–67. doi:10.1016/j.cis.2008.07.002
Return to citation in text: [1] -
Dubey, R.; Bajpai, J.; Bajpai, A. K. J. Water Process Eng. 2015, 5, 83–94. doi:10.1016/j.jwpe.2015.01.004
Return to citation in text: [1] [2] -
Acharya, R.; Martha, S.; Parida, K. M. Remediation of Cr(VI) using clay minerals, biomasses and industrial wastes as adsorbents. In Advanced Materials for Waste water Treatment; Islam, S., Ed.; John Wiley & Sons, Inc.: New York, NY, U.S.A., 2017; pp 129–170. doi:10.1002/9781119407805.ch5
Return to citation in text: [1] -
Dionex. Determination of Cr(VI) in water, wastewater and solid waste extracts, Technical Note 26 LPN 34398-01 1M 7/96; Dionex Corporation: Sunnyvale, CA, U.S.A., 1996.
https://tools.thermofisher.com/content/sfs/brochures/TN-26-LC-Chromium-Water-Wastewater-Waste-TN71432-EN.pdf
Return to citation in text: [1] [2] -
Zhao, D.; Gao, X.; Wu, C.; Xie, R.; Feng, S.; Chen, C. Appl. Surf. Sci. 2016, 384, 1–9. doi:10.1016/j.apsusc.2016.05.022
Return to citation in text: [1] -
Wan Ngah, W. S.; Hanafiah, M. A. K. M. Bioresour. Technol. 2008, 99, 3935–3948. doi:10.1016/j.biortech.2007.06.011
Return to citation in text: [1] -
Demirbas, A. J. Hazard. Mater. 2008, 157, 220–229. doi:10.1016/j.jhazmat.2008.01.024
Return to citation in text: [1] -
Gowd, S. S.; Govil, P. K. Environ. Monit. Assess. 2008, 136, 197–207. doi:10.1007/s10661-007-9675-5
Return to citation in text: [1] -
Kotaś, J.; Stasicka, Z. Environ. Pollut. 2000, 107, 263–283. doi:10.1016/S0269-7491(99)00168-2
Return to citation in text: [1] -
Kumar, A. R.; Riyazuddin, P. Environ. Monit. Assess. 2011, 176, 647–662. doi:10.1007/s10661-010-1610-5
Return to citation in text: [1] -
Du, Y.; Wang, L.; Wang, J.; Zheng, G.; Wu, J.; Dai, H. J. Environ. Sci. 2015, 29, 71–81. doi:10.1016/j.jes.2014.06.047
Return to citation in text: [1] -
Huang, J.; Zhang, X.; Bai, L.; Yuan, S. J. Environ. Sci. 2012, 24, 1433–1438. doi:10.1016/S1001-0742(11)60948-0
Return to citation in text: [1] -
Sun, X.; Yang, L.; Li, Q.; Zhao, J.; Li, X.; Wang, X. Chem. Eng. J. 2014, 241, 175–183. doi:10.1016/j.cej.2013.12.051
Return to citation in text: [1] -
Ma, H.-L.; Zhang, Y.; Hu, Q.-H.; Yan, D.; Yu, Z.-Z.; Zhai, M. J. Mater. Chem. 2012, 22, 5914–5916. doi:10.1039/c2jm00145d
Return to citation in text: [1] -
Zheng, W.; Hu, J.; Han, Z.; Wang, Z.; Zheng, Z.; Langer, J.; Economy, J. Chem. Commun. 2015, 51, 9853–9856. doi:10.1039/C5CC02695D
Return to citation in text: [1] -
Kathiravan, M. N.; Karthick, R.; Muthukumar, K. Chem. Eng. J. 2011, 169, 107–115. doi:10.1016/j.cej.2011.02.060
Return to citation in text: [1] -
Fang, J.; Gu, Z.; Gang, D.; Liu, C.; Ilton, E. S.; Deng, B. Environ. Sci. Technol. 2007, 41, 4748–4753. doi:10.1021/es061969b
Return to citation in text: [1] -
Liu, W.; Ni, J.; Yin, X. Water Res. 2014, 53, 12–25. doi:10.1016/j.watres.2013.12.043
Return to citation in text: [1] -
Lu, A.; Zhong, S.; Chen, J.; Shi, J.; Tang, J.; Lu, X. Environ. Sci. Technol. 2006, 40, 3064–3069. doi:10.1021/es052057x
Return to citation in text: [1] -
Ma, H.; Shen, J.; Shi, M.; Lu, X.; Li, Z.; Long, Y.; Li, N.; Ye, M. Appl. Catal., B 2012, 121–122, 198–205. doi:10.1016/j.apcatb.2012.03.023
Return to citation in text: [1] -
Chen, G.; Sun, M.; Wei, Q.; Ma, Z.; Du, B. Appl. Catal., B 2012, 125, 282–287. doi:10.1016/j.apcatb.2012.06.001
Return to citation in text: [1] -
Pandikumar, A.; Ramaraj, R. J. Hazard. Mater. 2012, 203–204, 244–250. doi:10.1016/j.jhazmat.2011.12.019
Return to citation in text: [1] -
Qamar, M.; Gondal, M. A.; Yamani, Z. H. J. Hazard. Mater. 2011, 187, 258–263. doi:10.1016/j.jhazmat.2011.01.007
Return to citation in text: [1] -
Ong, W.-J. Front. Mater. 2017, 4, 11. doi:10.3389/fmats.2017.00011
Return to citation in text: [1] -
Ong, W.-J.; Tan, L.-L.; Ng, Y. H.; Yong, S.-T.; Chai, S.-P. Chem. Rev. 2016, 116, 7159–7329. doi:10.1021/acs.chemrev.6b00075
Return to citation in text: [1] -
Xu, Y.; Li, A.; Yao, T.; Ma, C.; Zhang, X.; Shah, J. H.; Han, H. ChemSusChem 2017, 10, 4277–4305. doi:10.1002/cssc.201701598
Return to citation in text: [1] -
Chen, Y.; Xin, X.; Zhang, N.; Xu, Y.-J. Part. Part. Syst. Charact. 2017, 34, 1600357. doi:10.1002/ppsc.201600357
Return to citation in text: [1] -
Zeng, D.; Xiao, L.; Ong, W.-J.; Wu, P.; Zheng, H.; Chen, Y.; Peng, D.-L. ChemSusChem 2017, 10, 4624–4631. doi:10.1002/cssc.201701345
Return to citation in text: [1] -
Zeng, D.; Ong, W.-J.; Zheng, H.; Wu, M.; Chen, Y.; Peng, D.-L.; Han, M.-Y. J. Mater. Chem. A 2017, 5, 16171–16178. doi:10.1039/c7ta04816e
Return to citation in text: [1] -
Putri, L. K.; Ng, B.-J.; Ong, W.-J.; Lee, H. W.; Chang, W. S.; Chai, S.-P. ACS Appl. Mater. Interfaces 2017, 9, 4558–4569. doi:10.1021/acsami.6b12060
Return to citation in text: [1] -
Ong, W.-J.; Tan, L.-L.; Chai, S.-P.; Yong, S.-T.; Mohamed, A. R. Nano Res. 2014, 7, 1528–1547. doi:10.1007/s12274-014-0514-z
Return to citation in text: [1] -
Ong, W.-J.; Gui, M. M.; Chai, S.-P.; Mohamed, A. R. RSC Adv. 2013, 3, 4505–4509. doi:10.1039/C3RA00030C
Return to citation in text: [1] -
Tan, L.-L.; Ong, W.-J.; Chai, S.-P.; Mohamed, A. R. Chem. Commun. 2014, 50, 6923–6926. doi:10.1039/c4cc01304b
Return to citation in text: [1] -
Tan, L.-L.; Ong, W.-J.; Chai, S.-P.; Mohamed, A. R. Chem. Eng. J. 2016, 283, 1254–1263. doi:10.1016/j.cej.2015.07.093
Return to citation in text: [1] [2] -
Tan, L.-L.; Ong, W.-J.; Chai, S.-P.; Mohamed, A. R. Chem. Eng. J. 2017, 308, 248–255. doi:10.1016/j.cej.2016.09.050
Return to citation in text: [1] [2] -
Chen, X.; Li, N.; Kong, Z.; Ong, W.-J.; Zhao, X. Mater. Horiz. 2018, 5, 9. doi:10.1039/c7mh00557a
Return to citation in text: [1] [2] -
Liu, S.; Zhang, N.; Xu, Y.-J. Part. Part. Syst. Charact. 2014, 31, 540–556. doi:10.1002/ppsc.201300235
Return to citation in text: [1] [2] -
Zhao, J.; Ke, X.; Liu, H.; Huang, Y.; Chen, C.; Bo, A.; Sheng, X.; Zhu, H. Part. Part. Syst. Charact. 2016, 33, 628–634. doi:10.1002/ppsc.201600049
Return to citation in text: [1] [2] -
Prier, C. K.; Rankic, D. A.; MacMillan, D. W. C. Chem. Rev. 2013, 113, 5322–5363. doi:10.1021/cr300503r
Return to citation in text: [1] [2] -
Lang, X.; Chen, X.; Zhao, J. Chem. Soc. Rev. 2014, 43, 473–486. doi:10.1039/C3CS60188A
Return to citation in text: [1] [2] -
Ong, W.-J.; Voon, S.-Y.; Tan, L.-L.; Goh, B. T.; Yong, S.-T.; Chai, S.-P. Ind. Eng. Chem. Res. 2014, 53, 17333–17344. doi:10.1021/ie5027088
Return to citation in text: [1] -
Pattnaik, S. P.; Behera, A.; Martha, S.; Acharya, R.; Parida, K. J. Nanopart. Res. 2018, 20, 10. doi:10.1007/s11051-017-4110-5
Return to citation in text: [1] -
Kandi, D.; Martha, S.; Thirumurugan, A.; Parida, K. M. ACS Omega 2017, 2, 9040–9056. doi:10.1021/acsomega.7b01250
Return to citation in text: [1] -
Wang, H.; Lang, X.; Hao, R.; Guo, L.; Li, J.; Wang, L.; Han, X. Nano Energy 2016, 19, 8–16. doi:10.1016/j.nanoen.2015.11.022
Return to citation in text: [1] -
Song, H.; Son, S.-Y.; Kim, S. K.; Jung, G. Y. Nano Res. 2015, 8, 3553–3561. doi:10.1007/s12274-015-0855-2
Return to citation in text: [1] -
Zhou, K.-G.; McManus, D.; Prestat, E.; Zhong, X.; Shin, Y.; Zhang, H.-L.; Haigh, S. J.; Casiraghi, C. J. Mater. Chem. A 2016, 4, 11666–11671. doi:10.1039/C5TA09152G
Return to citation in text: [1] -
Behera, A.; Kandi, D.; Majhi, S. M.; Martha, S.; Parida, K. Beilstein J. Nanotechnol. 2018, 9, 436–446. doi:10.3762/bjnano.9.42
Return to citation in text: [1] -
Kudo, A.; Miseki, Y. Chem. Soc. Rev. 2009, 38, 253–278. doi:10.1039/B800489G
Return to citation in text: [1] [2] -
Qu, Y.; Duan, X. Chem. Soc. Rev. 2013, 42, 2568–2580. doi:10.1039/C2CS35355E
Return to citation in text: [1] -
Fujishima, A.; Honda, K. Nature 1972, 238, 37–38. doi:10.1038/238037a0
Return to citation in text: [1] -
Habisreutinger, S. N.; Schmidt-Mende, L.; Stolarczyk, J. K. Angew. Chem., Int. Ed. 2013, 52, 7372–7408. doi:10.1002/anie.201207199
Return to citation in text: [1] -
Zhu, S.; Liang, S.; Tong, Y.; An, X.; Long, J.; Fu, X.; Wang, X. Phys. Chem. Chem. Phys. 2015, 17, 9761–9770. doi:10.1039/C5CP00647C
Return to citation in text: [1] -
Liu, Q.; Zhou, Y.; Kou, J.; Chen, X.; Tian, Z.; Gao, J.; Yan, S.; Zou, Z. J. Am. Chem. Soc. 2010, 132, 14385–14387. doi:10.1021/ja1068596
Return to citation in text: [1] -
Hu, Z.; Quan, H.; Chen, Z.; Shao, Y.; Li, D. Photochem. Photobiol. Sci. 2018, 17, 51–59. doi:10.1039/C7PP00256D
Return to citation in text: [1] -
Frank, S. N.; Bard, A. J. J. Am. Chem. Soc. 1977, 99, 303–304. doi:10.1021/ja00443a081
Return to citation in text: [1] -
Frank, S. N.; Bard, A. J. J. Phys. Chem. 1977, 81, 1484–1488. doi:10.1021/j100530a011
Return to citation in text: [1] -
Wang, Y.; Yang, W.; Zhang, L.; Hu, Y.; Lou, X. W. D. Nanoscale 2013, 5, 10864–10867. doi:10.1039/c3nr03909a
Return to citation in text: [1] -
Padhi, D. K.; Parida, K. J. Mater. Chem. A 2014, 2, 10300–10312. doi:10.1039/C4TA00931B
Return to citation in text: [1] -
Padhi, D. K.; Pradhan, G. K.; Parida, K. M.; Singh, S. K. Chem. Eng. J. 2014, 255, 78–88. doi:10.1016/j.cej.2014.06.039
Return to citation in text: [1] -
Naik, B.; Kim, S. M.; Jung, C. H.; Moon, S. Y.; Kim, S. H.; Park, J. Y. Adv. Mater. Interfaces 2014, 1, 1300018. doi:10.1002/admi.201300018
Return to citation in text: [1] [2] -
Naik, B.; Parida, K. M.; Gopinath, C. S. J. Phys. Chem. C 2010, 114, 19473–19482. doi:10.1021/jp1083345
Return to citation in text: [1] [2] -
Ku, Y.; Jung, I.-L. Water Res. 2001, 35, 135–142. doi:10.1016/S0043-1354(00)00098-1
Return to citation in text: [1] -
Yang, J.-K.; Lee, S.-M. Chemosphere 2006, 63, 1677–1684. doi:10.1016/j.chemosphere.2005.10.005
Return to citation in text: [1] -
Parida, K. M.; Sahu, N. J. Mol. Catal. A: Chem. 2008, 287, 151–158. doi:10.1016/j.molcata.2008.02.028
Return to citation in text: [1] -
Das, D. P.; Parida, K.; De, B. R. J. Mol. Catal. A: Chem. 2006, 245, 217–224. doi:10.1016/j.molcata.2005.10.001
Return to citation in text: [1] -
Mohapatra, P.; Samantaray, S. K.; Parida, K. J. Photochem. Photobiol., A: Chem. 2005, 170, 189–194. doi:10.1016/j.jphotochem.2004.08.012
Return to citation in text: [1] -
Pelaez, M.; Nolan, N. T.; Pillai, S. C.; Seery, M. K.; Falaras, P.; Kontos, A. G.; Dunlop, P. S. M.; Hamilton, J. W. J.; Byrne, J. A.; Oshea, K.; Entezari, M. H.; Dionysiou, D. D. Appl. Catal., B 2012, 125, 331–349. doi:10.1016/j.apcatb.2012.05.036
Return to citation in text: [1] -
Daghrir, R.; Drogui, P.; Robert, D. Ind. Eng. Chem. Res. 2013, 52, 3581–3599. doi:10.1021/ie303468t
Return to citation in text: [1] [2] -
Asahi, R.; Morikawa, T.; Irie, H.; Ohwaki, T. Chem. Rev. 2014, 114, 9824–9852. doi:10.1021/cr5000738
Return to citation in text: [1] -
Luo, C.; Ren, X.; Dai, Z.; Zhang, Y.; Qi, X.; Pan, C. ACS Appl. Mater. Interfaces 2017, 9, 23265–23286. doi:10.1021/acsami.7b00496
Return to citation in text: [1] -
Wang, R.; Hashimoto, K.; Fujishima, A.; Chikuni, M.; Kojima, E.; Kitamura, A.; Shimohigoshi, M.; Watanabe, T. Nature 1997, 431–432, 388. doi:10.1038/41233
Return to citation in text: [1] -
Bard, A. J.; Parsons, R.; Jordan, J. Standard Potentials in Aqueous Solution; CRC Press: Cambridge, MA, U.S.A., 1985; Vol. 6.
Return to citation in text: [1] -
Yuan, R.; Chen, T.; Fei, E.; Lin, J.; Ding, Z.; Long, J.; Zhang, Z.; Fu, X.; Liu, P.; Wu, L.; Wang, X. ACS Catal. 2011, 1, 200–206. doi:10.1021/cs100122v
Return to citation in text: [1] -
Park, J. Y.; Kim, S. M.; Lee, H.; Naik, B. Catal. Lett. 2014, 144, 1996–2004. doi:10.1007/s10562-014-1333-2
Return to citation in text: [1] [2] -
Wang, Q.; Yang, X.; Liu, D.; Chi, L.; Hou, J. Electrochim. Acta 2012, 83, 140–145. doi:10.1016/j.electacta.2012.07.092
Return to citation in text: [1] -
DeSario, P. A.; Pietron, J. J.; DeVantier, D. E.; Brintlinger, T. H.; Stroud, R. M.; Rolison, D. R. Nanoscale 2013, 5, 8073–8083. doi:10.1039/c3nr01429k
Return to citation in text: [1] -
Chen, X.; Mao, S. S. Chem. Rev. 2007, 107, 2891–2959. doi:10.1021/cr0500535
Return to citation in text: [1] -
Pany, S.; Naik, B.; Martha, S.; Parida, K. ACS Appl. Mater. Interfaces 2014, 6, 839–846. doi:10.1021/am403865r
Return to citation in text: [1] -
Naik, B.; Moon, S. Y.; Kim, S. H.; Park, J. Y. Appl. Surf. Sci. 2015, 354, 347–352. doi:10.1016/j.apsusc.2015.05.102
Return to citation in text: [1] -
Choi, W.; Termin, A.; Hoffmann, M. R. Angew. Chem. 1994, 106, 1148–1149. doi:10.1002/ange.19941061014
Return to citation in text: [1] -
Wang, H.; You, T.; Shi, W.; Li, J.; Guo, L. J. Phys. Chem. C 2012, 116, 6490–6494. doi:10.1021/jp212303q
Return to citation in text: [1] -
Yao, Y.; Qin, J.; Chen, H.; Wei, F.; Liu, X.; Wang, J.; Wang, S. J. Hazard. Mater. 2015, 291, 28–37. doi:10.1016/j.jhazmat.2015.02.042
Return to citation in text: [1] -
Parida, K. M.; Naik, B. J. Colloid Interface Sci. 2009, 333, 269–276. doi:10.1016/j.jcis.2009.02.017
Return to citation in text: [1] -
Naik, B.; Parida, K. M.; Behera, G. C. ChemCatChem 2011, 3, 311–318. doi:10.1002/cctc.201000233
Return to citation in text: [1] [2] -
Naik, B.; Parida, K. M. Ind. Eng. Chem. Res. 2010, 49, 8339–8346. doi:10.1021/ie100889m
Return to citation in text: [1] -
Naik, B.; Martha, S.; Parida, K. M. Int. J. Hydrogen Energy 2011, 36, 2794–2802. doi:10.1016/j.ijhydene.2010.11.104
Return to citation in text: [1] -
Grätzel, M. J. Photochem. Photobiol., C: Photochem. Rev. 2003, 4, 145–153. doi:10.1016/S1389-5567(03)00026-1
Return to citation in text: [1] -
Yu, H.; Chen, S.; Quan, X.; Zhao, H.; Zhang, Y. Environ. Sci. Technol. 2008, 42, 3791–3796. doi:10.1021/es702948e
Return to citation in text: [1] -
Fresno, F.; Hernández-Alonso, M. D.; Tudela, D.; Coronado, J. M.; Soria, J. Appl. Catal., B 2008, 84, 598–606. doi:10.1016/j.apcatb.2008.05.015
Return to citation in text: [1] -
Naimi-Joubani, M.; Shirzad-Siboni, M.; Yang, J.-K.; Gholami, M.; Farzadkia, M. J. Ind. Eng. Chem. (Amsterdam, Neth.) 2015, 22, 317–323. doi:10.1016/j.jiec.2014.07.025
Return to citation in text: [1] [2] [3] -
Li, J.; Wang, T.; Du, X. Sep. Purif. Technol. 2012, 101, 11–17. doi:10.1016/j.seppur.2012.09.014
Return to citation in text: [1] [2] -
Chen, X.; Liu, L.; Peter, Y. Y.; Mao, S. S. Science 2011, 331, 746–750. doi:10.1126/science.1200448
Return to citation in text: [1] -
Naldoni, A.; Allieta, M.; Santangelo, S.; Marelli, M.; Fabbri, F.; Cappelli, S.; Bianchi, C. L.; Psaro, R.; Dal Santo, V. J. Am. Chem. Soc. 2012, 134, 7600–7603. doi:10.1021/ja3012676
Return to citation in text: [1] -
Abdullah, H.; Kuo, D.-H.; Chen, Y.-H. J. Mater. Sci. 2016, 51, 8209–8223. doi:10.1007/s10853-016-0096-0
Return to citation in text: [1] [2] [3] [4] -
Gao, X.; Liu, X.; Zhu, Z.; Wang, X.; Xie, Z. Sci. Rep. 2016, 6, 30543. doi:10.1038/srep30543
Return to citation in text: [1] [2] [3] [4] [5] [6] [7] [8] [9] [10] -
Baker, D. R.; Kamat, P. V. Adv. Funct. Mater. 2009, 19, 805–811. doi:10.1002/adfm.200801173
Return to citation in text: [1] -
Subramanian, V.; Wolf, E. E.; Kamat, P. V. J. Phys. Chem. B 2003, 107, 7479–7485. doi:10.1021/jp0275037
Return to citation in text: [1] -
Jakob, M.; Levanon, H.; Kamat, P. V. Nano Lett. 2003, 3, 353–358. doi:10.1021/nl0340071
Return to citation in text: [1] -
Wood, A.; Giersig, M.; Mulvaney, P. J. Phys. Chem. B 2001, 105, 8810–8815. doi:10.1021/jp011576t
Return to citation in text: [1] -
Li, M.; Lu, B.; Ke, Q.-F.; Guo, Y.-J.; Guo, Y.-P. J. Hazard. Mater. 2017, 333, 88–98. doi:10.1016/j.jhazmat.2017.03.019
Return to citation in text: [1] -
Woan, K.; Pyrgiotakis, G.; Sigmund, W. Adv. Mater. 2009, 21, 2233–2239. doi:10.1002/adma.200802738
Return to citation in text: [1] -
Huang, Q.; Tian, S.; Zeng, D.; Wang, X.; Song, W.; Li, Y.; Xiao, W.; Xie, C. ACS Catal. 2013, 3, 1477–1485. doi:10.1021/cs400080w
Return to citation in text: [1] -
Li, Y.; Cui, W.; Liu, L.; Zong, R.; Yao, W.; Liang, Y.; Zhu, Y. Appl. Catal., B 2016, 199, 412–423. doi:10.1016/j.apcatb.2016.06.053
Return to citation in text: [1] -
Chen, P.; Li, N.; Chen, X.; Ong, W.-J.; Zhao, X. 2D Mater. 2018, 5, 014002. doi:10.1088/2053-1583/aa8d37
Return to citation in text: [1] -
Kumar, S.; Kumar, A.; Bahuguna, A.; Sharma, V.; Krishnan, V. Beilstein J. Nanotechnol. 2017, 8, 1571–1600. doi:10.3762/bjnano.8.159
Return to citation in text: [1] -
Han, W.; Li, Z.; Li, Y.; Fan, X.; Zhang, F.; Zhang, G.; Peng, W. Front. Chem. (Lausanne, Switz.) 2017, 5, 84. doi:10.3389/fchem.2017.00084
Return to citation in text: [1] -
Li, Y.; Wang, H.; Xie, L.; Liang, Y.; Hong, G.; Dai, H. J. Am. Chem. Soc. 2011, 133, 7296–7299. doi:10.1021/ja201269b
Return to citation in text: [1] -
Kemp, K. C.; Seema, H.; Saleh, M.; Le, N. H.; Mahesh, K.; Chandra, V.; Kim, K. S. Nanoscale 2013, 5, 3149–3171. doi:10.1039/c3nr33708a
Return to citation in text: [1] -
Williams, G.; Seger, B.; Kamat, P. V. ACS Nano 2008, 2, 1487–1491. doi:10.1021/nn800251f
Return to citation in text: [1] -
Williams, G.; Kamat, P. V. Langmuir 2009, 25, 13869–13873. doi:10.1021/la900905h
Return to citation in text: [1] -
Loh, K. P.; Bao, Q.; Eda, G.; Chhowalla, M. Nat. Chem. 2010, 2, 1015–1024. doi:10.1038/nchem.907
Return to citation in text: [1] -
Bang, J. H.; Suslick, K. S. Adv. Mater. 2010, 22, 1039–1059. doi:10.1002/adma.200904093
Return to citation in text: [1] -
Su, C.; Acik, M.; Takai, K.; Lu, J.; Hao, S.-j.; Zheng, Y.; Wu, P.; Bao, Q.; Enoki, T.; Chabal, Y. J.; Loh, K. P. Nat. Commun. 2012, 3, 1298. doi:10.1038/ncomms2315
Return to citation in text: [1] -
Liang, Y. T.; Vijayan, B. K.; Gray, K. A.; Hersam, M. C. Nano Lett. 2011, 11, 2865–2870. doi:10.1021/nl2012906
Return to citation in text: [1] -
Kim, S. R.; Parvez, M. K.; Chhowalla, M. Chem. Phys. Lett. 2009, 483, 124–127. doi:10.1016/j.cplett.2009.10.066
Return to citation in text: [1] -
Zhang, X.-F.; Xi, Q. Carbon 2011, 49, 3842–3850. doi:10.1016/j.carbon.2011.05.019
Return to citation in text: [1] -
Wiedmann, S.; van Elferen, H. J.; Kurganova, E. V.; Katsnelson, M. I.; Giesbers, A. J. M.; Veligura, A.; van Wees, B. J.; Gorbachev, R. V.; Novoselov, K. S.; Maan, J. C.; Zeitler, U. Phys. Rev. B 2011, 84, 115314. doi:10.1103/PhysRevB.84.115314
Return to citation in text: [1] -
Czerw, R.; Foley, B.; Tekleab, D.; Rubio, A.; Ajayan, P. M.; Carroll, D. L. Phys. Rev. B 2002, 66, 033408. doi:10.1103/PhysRevB.66.033408
Return to citation in text: [1] -
Guo, C. X.; Yang, H. B.; Sheng, Z. M.; Lu, Z. S.; Song, Q. L.; Li, C. M. Angew. Chem., Int. Ed. 2010, 49, 3014–3017. doi:10.1002/anie.200906291
Return to citation in text: [1] -
Li, Y.; Sasaki, T.; Shimizu, Y.; Koshizaki, N. J. Am. Chem. Soc. 2008, 130, 14755–14762. doi:10.1021/ja805077q
Return to citation in text: [1] -
Xu, Y.; Schoonen, M. A. A. Am. Mineral. 2000, 85, 543–556. doi:10.2138/am-2000-0416
Return to citation in text: [1] -
Zhu, G.; Pan, L.; Xu, T.; Zhao, Q.; Sun, Z. J. Alloys Compd. 2011, 509, 7814–7818. doi:10.1016/j.jallcom.2011.05.043
Return to citation in text: [1] -
Liu, X.; Pan, L.; Lv, T.; Zhu, G.; Lu, T.; Sun, Z.; Sun, C. RSC Adv. 2011, 1, 1245–1249. doi:10.1039/c1ra00298h
Return to citation in text: [1] [2] [3] -
Zhang, H.; Lv, X.; Li, Y.; Wang, Y.; Li, J. ACS Nano 2010, 4, 380–386. doi:10.1021/nn901221k
Return to citation in text: [1] [2] -
Shen, J.; Yan, B.; Shi, M.; Ma, H.; Li, N.; Ye, M. J. Mater. Chem. 2011, 21, 3415–3421. doi:10.1039/c0jm03542d
Return to citation in text: [1] -
Xu, T.; Zhang, L.; Cheng, H.; Zhu, Y. Appl. Catal., B 2011, 101, 382–387. doi:10.1016/j.apcatb.2010.10.007
Return to citation in text: [1] [2] -
Yang, N.; Zhai, J.; Wang, D.; Chen, Y.; Jiang, L. ACS Nano 2010, 4, 887–894. doi:10.1021/nn901660v
Return to citation in text: [1] -
Zhu, G.; Xu, T.; Lv, T.; Pan, L.; Zhao, Q.; Sun, Z. J. Electroanal. Chem. 2011, 650, 248–251. doi:10.1016/j.jelechem.2010.10.011
Return to citation in text: [1] -
Zhao, Y.; Zhao, D.; Chen, C.; Wang, X. J. Colloid Interface Sci. 2013, 405, 211–217. doi:10.1016/j.jcis.2013.05.004
Return to citation in text: [1] [2] -
Li, Y.; Cui, W.; Liu, L.; Zong, R.; Yao, W.; Liang, Y.; Zhu, Y. Appl. Catal., B 2016, 199, 412–423. doi:10.1016/j.apcatb.2016.06.053
Return to citation in text: [1] [2] -
Zhou, T.; Li, C.; Jin, H.; Lian, Y.; Han, W. ACS Appl. Mater. Interfaces 2017, 9, 6030–6043. doi:10.1021/acsami.6b14079
Return to citation in text: [1] -
Liu, H.; Liu, S.; Zhang, Z.; Dong, X.; Liu, T. Sci. Rep. 2016, 6, 33839. doi:10.1038/srep33839
Return to citation in text: [1] [2] [3] [4] [5] -
Shaikh, A.; Mishra, S. P.; Mohapatra, P.; Parida, S. J. Nanopart. Res. 2017, 19, 206. doi:10.1007/s11051-017-3894-7
Return to citation in text: [1] [2] -
Karthik, P.; Neppolian, B. J. Environ. Chem. Eng., in press. doi:10.1016/j.jece.2017.05.028
Return to citation in text: [1] -
Chen, Z.; Li, Y.; Guo, M.; Xu, F.; Wang, P.; Du, Y.; Na, P. J. Hazard. Mater. 2016, 310, 188–198. doi:10.1016/j.jhazmat.2016.02.034
Return to citation in text: [1] [2] -
Liu, F.; Yu, J.; Tu, G.; Qu, L.; Xiao, J.; Liu, Y.; Wang, L.; Lei, J.; Zhang, J. Appl. Catal., B 2017, 201, 1–11. doi:10.1016/j.apcatb.2016.08.001
Return to citation in text: [1] -
Shaham-Waldmann, N.; Paz, Y. Chem. Eng. J. 2013, 231, 49–58. doi:10.1016/j.cej.2013.07.021
Return to citation in text: [1] [2] -
Huang, L.; Chan, Q.; Wu, X.; Wang, H.; Liu, Y. J. Ind. Eng. Chem. 2012, 18, 574–580. doi:10.1016/j.jiec.2011.11.060
Return to citation in text: [1] -
Li, L.; Wu, G.; Yang, G.; Peng, J.; Zhao, J.; Zhu, J.-J. Nanoscale 2013, 5, 4015–4039. doi:10.1039/c3nr33849e
Return to citation in text: [1] -
Lim, S. Y.; Shen, W.; Gao, Z. Chem. Soc. Rev. 2014, 44, 362–381. doi:10.1039/C4CS00269E
Return to citation in text: [1] -
Li, Y.; Liu, Z.; Wu, Y.; Chen, J.; Zhao, J.; Jin, F.; Na, P. Appl. Catal., B 2018, 224, 508–517. doi:10.1016/j.apcatb.2017.10.023
Return to citation in text: [1] [2] -
Zhang, Y.; Xu, M.; Li, H.; Ge, H.; Bian, Z. Appl. Catal., B 2018, 226, 213–219. doi:10.1016/j.apcatb.2017.12.053
Return to citation in text: [1] -
Georgekutty, R.; Seery, M. K.; Pillai, S. C. J. Phys. Chem. C 2008, 112, 13563–13570. doi:10.1021/jp802729a
Return to citation in text: [1] -
Lin, D.; Wu, H.; Zhang, R.; Pan, W. Chem. Mater. 2009, 21, 3479–3484. doi:10.1021/cm900225p
Return to citation in text: [1] -
Shifu, C.; Wei, Z.; Sujuan, Z.; Wei, L. Chem. Eng. J. 2009, 148, 263–269. doi:10.1016/j.cej.2008.08.039
Return to citation in text: [1] -
Tak, Y.; Yong, K. J. Phys. Chem. B 2005, 109, 19263–19269. doi:10.1021/jp0538767
Return to citation in text: [1] -
Liu, X.; Lv, T.; Pan, L.; Sun, Z.; Sun, C. Q. Desalin. Water Treat. 2012, 42, 216–221. doi:10.1080/19443994.2012.683161
Return to citation in text: [1] -
Serpone, N.; Maruthamuthu, P.; Pichat, P.; Pelizzetti, E.; Hidaka, H. J. Photochem. Photobiol., A: Chem. 1995, 85, 247–255. doi:10.1016/1010-6030(94)03906-B
Return to citation in text: [1] -
Wang, X.; Pehkonen, S. O.; Ray, A. K. Ind. Eng. Chem. Res. 2004, 43, 1665–1672. doi:10.1021/ie030580j
Return to citation in text: [1] -
Wang, L.; Wang, N.; Zhu, L.; Yu, H.; Tang, H. J. Hazard. Mater. 2008, 152, 93–99. doi:10.1016/j.jhazmat.2007.06.063
Return to citation in text: [1] -
Wang, N.; Zhu, L.; Deng, K.; She, Y.; Yu, Y.; Tang, H. Appl. Catal., B 2010, 95, 400–407. doi:10.1016/j.apcatb.2010.01.019
Return to citation in text: [1] -
Yang, J. K.; Lee, S. M.; Siboni, M. S. Environ. Technol. 2012, 33, 2027–2032. doi:10.1080/09593330.2012.655325
Return to citation in text: [1] -
Ku, Y.; Huang, Y.-H.; Chou, Y.-C. J. Mol. Catal. A: Chem. 2011, 342–343, 18–22. doi:10.1016/j.molcata.2011.04.003
Return to citation in text: [1] [2] -
Wang, H.; Wu, Z.; Liu, Y.; Sheng, Z. J. Mol. Catal. A: Chem. 2008, 287, 176–181. doi:10.1016/j.molcata.2008.03.010
Return to citation in text: [1] -
Zou, J.-J.; Zhu, B.; Wang, L.; Zhang, X.; Mi, Z. J. Mol. Catal. A: Chem. 2008, 286, 63–69. doi:10.1016/j.molcata.2008.01.045
Return to citation in text: [1] -
Challagulla, S.; Nagarjuna, R.; Ganesan, R.; Roy, S. ACS Sustainable Chem. Eng. 2016, 4, 974–982. doi:10.1021/acssuschemeng.5b01055
Return to citation in text: [1] [2] [3] [4] -
Yang, L.; Xiao, Y.; Liu, S.; Li, Y.; Cai, Q.; Luo, S.; Zeng, G. Appl. Catal., B 2010, 94, 142–149. doi:10.1016/j.apcatb.2009.11.002
Return to citation in text: [1] [2] [3] [4] -
Liu, L.; Yang, W.; Sun, W.; Li, Q.; Shang, J. K. ACS Appl. Mater. Interfaces 2015, 7, 1465–1476. doi:10.1021/am505861c
Return to citation in text: [1] [2] -
Ku, Y.; Lin, C.-N.; Hou, W.-M. J. Mol. Catal. A: Chem. 2011, 349, 20–27. doi:10.1016/j.molcata.2011.08.006
Return to citation in text: [1] [2] [3] [4] -
Kobayashi, M.; Miyoshi, K. Appl. Catal., B 2007, 72, 253–261. doi:10.1016/j.apcatb.2006.11.007
Return to citation in text: [1] [2] -
Susman, M. D.; Feldman, Y.; Vaskevich, A.; Rubinstein, I. ACS Nano 2014, 8, 162–174. doi:10.1021/nn405891g
Return to citation in text: [1] [2] -
Ma, D.-K.; Guan, M.-L.; Liu, S.-S.; Zhang, Y.-Q.; Zhang, C.-W.; He, Y.-X.; Huang, S.-M. Dalton Trans. 2012, 41, 5581–5586. doi:10.1039/c2dt30099k
Return to citation in text: [1] -
Navío, J. A.; Colón, G.; Trillas, M.; Peral, J.; Domènech, X.; Testa, J. J.; Padrón, J.; Rodríguez, D.; Litter, M. I. Appl. Catal., B 1998, 16, 187–196. doi:10.1016/S0926-3373(97)00073-8
Return to citation in text: [1] -
Qin, B.; Zhao, Y.; Li, H.; Qiu, L.; Fan, Z. Chin. J. Catal. 2015, 36, 1321–1325. doi:10.1016/S1872-2067(15)60877-4
Return to citation in text: [1] -
Zhong, J. S.; Wang, Q. Y.; Zhou, J.; Chen, D. Q.; Ji, Z. G. Appl. Surf. Sci. 2016, 367, 342–346. doi:10.1016/j.apsusc.2016.01.189
Return to citation in text: [1] -
Athanasekou, C.; Romanos, G. E.; Papageorgiou, S. K.; Manolis, G. K.; Katsaros, F.; Falaras, P. Chem. Eng. J. 2017, 318, 171–180. doi:10.1016/j.cej.2016.06.033
Return to citation in text: [1] -
Velegraki, G.; Miao, J.; Drivas, C.; Liu, B.; Kennou, S.; Armatas, G. S. Appl. Catal., B 2018, 221, 635–644. doi:10.1016/j.apcatb.2017.09.064
Return to citation in text: [1] -
Kudo, A.; Domen, K.; Maruya, K.-i.; Onishi, T. Chem. Phys. Lett. 1987, 133, 517–519. doi:10.1016/0009-2614(87)80070-2
Return to citation in text: [1] -
Hwang, D. W.; Kim, H. G.; Kim, J.; Cha, K. Y.; Kim, Y. G.; Lee, J. S. J. Catal. 2000, 193, 40–48. doi:10.1006/jcat.2000.2875
Return to citation in text: [1] -
Kato, H.; Asakura, K.; Kudo, A. J. Am. Chem. Soc. 2003, 125, 3082–3089. doi:10.1021/ja027751g
Return to citation in text: [1] -
Mohammadi, M. R.; Fray, D. J. Solid State Sci. 2010, 12, 1629–1640. doi:10.1016/j.solidstatesciences.2010.07.015
Return to citation in text: [1] -
Akurati, K. K.; Vital, A.; Dellemann, J.-P.; Michalow, K.; Graule, T.; Ferri, D.; Baiker, A. Appl. Catal., B 2008, 79, 53–62. doi:10.1016/j.apcatb.2007.09.036
Return to citation in text: [1] -
Dozzi, M. V.; Marzorati, S.; Longhi, M.; Coduri, M.; Artiglia, L.; Selli, E. Appl. Catal., B 2016, 186, 157–165. doi:10.1016/j.apcatb.2016.01.004
Return to citation in text: [1] -
Shamaila, S.; Sajjad, A. K. L.; Chen, F.; Zhang, J. Appl. Catal., B 2010, 94, 272–280. doi:10.1016/j.apcatb.2009.12.001
Return to citation in text: [1] -
Bian, Z.; Zhu, J.; Wang, S.; Cao, Y.; Qian, X.; Li, H. J. Phys. Chem. C 2008, 112, 6258–6262. doi:10.1021/jp800324t
Return to citation in text: [1] -
Yang, J.; Dai, J.; Li, J. Environ. Sci. Pollut. Res. 2013, 20, 2435–2447. doi:10.1007/s11356-012-1131-6
Return to citation in text: [1] [2] -
Harish, K. N.; Bhojya Naik, H. S.; Prashanth Kumar, P. N.; Viswanath, R. ACS Sustainable Chem. Eng. 2013, 1, 1143–1153. doi:10.1021/sc400060z
Return to citation in text: [1] -
Zhu, H.; Zhang, S.; Huang, Y.-X.; Wu, L.; Sun, S. Nano Lett. 2013, 13, 2947–2951. doi:10.1021/nl401325u
Return to citation in text: [1] -
Gherbi, R.; Nasrallah, N.; Amrane, A.; Maachi, R.; Trari, M. J. Hazard. Mater. 2011, 186, 1124–1130. doi:10.1016/j.jhazmat.2010.11.105
Return to citation in text: [1] -
Lahmar, H.; Benamira, M.; Akika, F. Z.; Trari, M. J. Phys. Chem. Solids 2017, 110, 254–259. doi:10.1016/j.jpcs.2017.06.021
Return to citation in text: [1] [2] -
Kebir, M.; Trari, M.; Maachi, R.; Nasrallah, N.; Bellal, B.; Amrane, A. J. Environ. Chem. Eng. 2015, 3, 548–559. doi:10.1016/j.jece.2014.12.024
Return to citation in text: [1] -
Cui, B.; Lin, H.; Li, J.-B.; Li, X.; Yang, J.; Tao, J. Adv. Funct. Mater. 2008, 18, 1440–1447. doi:10.1002/adfm.200700982
Return to citation in text: [1] -
Yanguang, L.; Panitat, H.; Yiying, W. Adv. Mater. 2010, 22, 1926–1929. doi:10.1002/adma.200903896
Return to citation in text: [1] -
Rekhila, G.; Trari, M.; Bessekhouad, Y. Appl. Water Sci. 2017, 7, 1273–1281. doi:10.1007/s13201-015-0340-9
Return to citation in text: [1] [2] -
Singh, S.; Khare, N. RSC Adv. 2015, 5, 96562–96572. doi:10.1039/C5RA14889H
Return to citation in text: [1] -
Li, X.; Zhu, J.; Li, H. Appl. Catal., B 2012, 123–124, 174–181. doi:10.1016/j.apcatb.2012.04.009
Return to citation in text: [1] -
Park, J.; Park, S.; Selvaraj, R.; Kim, Y. RSC Adv. 2015, 5, 52737–52742. doi:10.1039/C5RA07620J
Return to citation in text: [1] -
Yuan, Y.-J.; Chen, D.-Q.; Shi, X.-F.; Tu, J.-R.; Hu, B.; Yang, L.-X.; Yu, Z.-T.; Zou, Z.-G. Chem. Eng. J. 2017, 313, 1438–1446. doi:10.1016/j.cej.2016.11.049
Return to citation in text: [1] -
Kwak, B. S.; Lee, H.; Kang, M. Chem. Eng. J. 2014, 255, 613–622. doi:10.1016/j.cej.2014.05.103
Return to citation in text: [1] -
Basu, M.; Sinha, A. K.; Pradhan, M.; Sarkar, S.; Negishi, Y.; Pal, T. Environ. Sci. Technol. 2010, 44, 6313–6318. doi:10.1021/es101323w
Return to citation in text: [1] -
Xu, X.; Lu, R.; Zhao, X.; Xu, S.; Lei, X.; Zhang, F.; Evans, D. G. Appl. Catal., B 2011, 102, 147–156. doi:10.1016/j.apcatb.2010.11.036
Return to citation in text: [1] -
Wang, Q.; Li, J.; Bai, Y.; Lian, J.; Huang, H.; Li, Z.; Lei, Z.; Shangguan, W. Green Chem. 2014, 16, 2728–2735. doi:10.1039/C3GC42466A
Return to citation in text: [1] -
Bao, N.; Shen, L.; Takata, T.; Domen, K. Chem. Mater. 2008, 20, 110–117. doi:10.1021/cm7029344
Return to citation in text: [1] -
Zong, X.; Yan, H.; Wu, G.; Ma, G.; Wen, F.; Wang, L.; Li, C. J. Am. Chem. Soc. 2008, 130, 7176–7177. doi:10.1021/ja8007825
Return to citation in text: [1] -
Bessekhouad, Y.; Chaoui, N.; Trzpit, M.; Ghazzal, N.; Robert, D.; Weber, J. V. J. Photochem. Photobiol., A 2006, 183, 218–224. doi:10.1016/j.jphotochem.2006.03.025
Return to citation in text: [1] -
Liu, S.; Zhang, N.; Tang, Z.-R.; Xu, Y.-J. ACS Appl. Mater. Interfaces 2012, 4, 6378–6385. doi:10.1021/am302074p
Return to citation in text: [1] [2] -
Chen, Z.; Xu, Y.-J. ACS Appl. Mater. Interfaces 2013, 5, 13353–13363. doi:10.1021/am4043068
Return to citation in text: [1] [2] -
Liu, X.; Pan, L.; Lv, T.; Sun, Z. J. Alloys Compd. 2014, 583, 390–395. doi:10.1016/j.jallcom.2013.08.193
Return to citation in text: [1] [2] [3] -
Zhang, Y. C.; Du, Z. N.; Li, K. W.; Zhang, M.; Dionysiou, D. D. ACS Appl. Mater. Interfaces 2011, 3, 1528–1537. doi:10.1021/am200102y
Return to citation in text: [1] -
Yella, A.; Mugnaioli, E.; Therese, H. A.; Panthöfer, M.; Kolb, U.; Tremel, W. Chem. Mater. 2009, 21, 2474–2481. doi:10.1021/cm900277j
Return to citation in text: [1] -
Zhang, Y. C.; Du, Z. N.; Li, S. Y.; Zhang, M. Appl. Catal., B 2010, 95, 153–159. doi:10.1016/j.apcatb.2009.12.022
Return to citation in text: [1] -
Mondal, C.; Ganguly, M.; Pal, J.; Roy, A.; Jana, J.; Pal, T. Langmuir 2014, 30, 4157–4164. doi:10.1021/la500509c
Return to citation in text: [1] -
Qu, J.; Chen, D.; Li, N.; Xu, Q.; Li, H.; He, J.; Lu, J. Appl. Catal., B 2017, 207, 404–411. doi:10.1016/j.apcatb.2017.02.050
Return to citation in text: [1] -
Zhang, Y. C.; Li, J.; Xu, H. Y. Appl. Catal., B 2012, 123–124, 18–26. doi:10.1016/j.apcatb.2012.04.018
Return to citation in text: [1] [2] [3] -
Yang, C.; Wang, W.; Shan, Z.; Huang, F. J. Solid State Chem. 2009, 182, 807–812. doi:10.1016/j.jssc.2008.12.018
Return to citation in text: [1] -
Mu, J.; Shao, C.; Guo, Z.; Zhang, Z.; Zhang, M.; Zhang, P.; Chen, B.; Liu, Y. ACS Appl. Mater. Interfaces 2011, 3, 590–596. doi:10.1021/am101171a
Return to citation in text: [1] -
Liu, B.; Khare, A.; Aydil, E. S. ACS Appl. Mater. Interfaces 2011, 3, 4444–4450. doi:10.1021/am201123u
Return to citation in text: [1] -
Huang, Y.; Wei, Y.; Wu, J.; Guo, C.; Wang, M.; Yin, S.; Sato, T. Appl. Catal., B 2012, 123–124, 9–17. doi:10.1016/j.apcatb.2012.04.010
Return to citation in text: [1] -
Yang, Q.-L.; Kang, S.-Z.; Chen, H.; Bu, W.; Mu, J. Desalination 2011, 266, 149–153. doi:10.1016/j.desal.2010.08.018
Return to citation in text: [1] -
Tuprakay, S.; Liengcharernsit, W. J. Hazard. Mater. 2005, 124, 53–58. doi:10.1016/j.jhazmat.2005.03.027
Return to citation in text: [1] -
Zhang, K.; Kemp, K. C.; Chandra, V. Mater. Lett. 2012, 81, 127–130. doi:10.1016/j.matlet.2012.05.002
Return to citation in text: [1] -
Liu, S. X.; Qu, Z. P.; Han, X. W.; Sun, C. L. Catal. Today 2004, 93–95, 877–884. doi:10.1016/j.cattod.2004.06.097
Return to citation in text: [1] -
Pan, X.; Xu, Y.-J. J. Phys. Chem. C 2013, 117, 17996–18005. doi:10.1021/jp4064802
Return to citation in text: [1] -
Eskandarloo, H.; Badiei, A.; Behnajady, M. A.; Ziarani, G. M. RSC Adv. 2014, 4, 28587–28596. doi:10.1039/c4ra03418j
Return to citation in text: [1] -
Lei, X. F.; Xue, X. X.; Yang, H. Appl. Surf. Sci. 2014, 321, 396–403. doi:10.1016/j.apsusc.2014.10.045
Return to citation in text: [1] [2] -
Zhang, Y.; Nie, J.; Wang, Q.; Zhang, X.; Wang, Q.; Cong, Y. Appl. Surf. Sci. 2018, 427, 1009. doi:10.1016/j.apsusc.2017.09.008
Return to citation in text: [1] -
Zhang, D.; Xu, G.; Chen, F. Appl. Surf. Sci. 2015, 351, 962–968. doi:10.1016/j.apsusc.2015.06.044
Return to citation in text: [1] [2] -
Liu, X.; Pan, L.; Lv, T.; Sun, Z.; Sun, C. RSC Adv. 2012, 2, 3823–3827. doi:10.1039/c2ra01107g
Return to citation in text: [1] [2] -
Tanaka, A.; Nakanishi, K.; Hamada, R.; Hashimoto, K.; Kominami, H. ACS Catal. 2013, 3, 1886–1891. doi:10.1021/cs400433r
Return to citation in text: [1] [2] [3] -
Wang, W.; Lai, M.; Fang, J.; Lu, C. Appl. Surf. Sci. 2018, 439, 430–438. doi:10.1016/j.apsusc.2017.12.249
Return to citation in text: [1] [2] -
Cai, J.; Wu, S.; Li, S.; Zhang, F. Appl. Catal., B 2017, 201, 12–21. doi:10.1016/j.apcatb.2016.08.003
Return to citation in text: [1] [2] -
Pandikumar, A.; Ramasamy, R. Mater. Chem. Phys. 2013, 141, 629–635. doi:10.1016/j.matchemphys.2013.05.026
Return to citation in text: [1] -
Lia, S.; Cai, J.; Wu, X.; Liu, B.; Chen, Q.; Li, Y.; Zheng, F. J. Hazard. Mater. 2018, 346, 52–61. doi:10.1016/j.jhazmat.2017.12.001
Return to citation in text: [1] [2] -
O'Regan, B.; Grätzel, M. Nature 1991, 353, 737–740. doi:10.1038/353737a0
Return to citation in text: [1] -
Dozzi, M. V.; Saccomanni, A.; Selli, E. J. Hazard. Mater. 2012, 211–212, 188–195. doi:10.1016/j.jhazmat.2011.09.038
Return to citation in text: [1] -
Kar, P.; Maji, T. K.; Sarkar, P. K.; Lemmens, P.; Pal, S. K. J. Mater. Chem. A 2018, 6, 3674–3683. doi:10.1039/C7TA11138J
Return to citation in text: [1] [2] -
Wu, Q.; Zhao, J.; Qin, G.; Wang, C.; Tong, X.; Xue, S. Appl. Catal., B 2013, 142–143, 142–148. doi:10.1016/j.apcatb.2013.04.056
Return to citation in text: [1] [2] -
Albay, C.; Koç, M.; Altın, İ.; Bayrak, R.; Değirmencioğlu, İ.; Sökmen, M. J. Photochem. Photobiol., A: Chem. 2016, 324, 117–125. doi:10.1016/j.jphotochem.2016.03.024
Return to citation in text: [1] -
Jing, F.; Liang, R.; Xiong, J.; Chen, R.; Zhang, S.; Li, Y.; Wu, L. Appl. Catal., B 2017, 206, 9–15. doi:10.1016/j.apcatb.2016.12.070
Return to citation in text: [1] -
Wang, W.; Wang, Z.; Liu, J.; Zhang, Z.; Sun, L. Sci. Rep. 2017, 7, 43755. doi:10.1038/srep43755
Return to citation in text: [1]
| 186. | Rekhila, G.; Trari, M.; Bessekhouad, Y. Appl. Water Sci. 2017, 7, 1273–1281. doi:10.1007/s13201-015-0340-9 |
| 97. | Gao, X.; Liu, X.; Zhu, Z.; Wang, X.; Xie, Z. Sci. Rep. 2016, 6, 30543. doi:10.1038/srep30543 |
| 161. | Ku, Y.; Lin, C.-N.; Hou, W.-M. J. Mol. Catal. A: Chem. 2011, 349, 20–27. doi:10.1016/j.molcata.2011.08.006 |
| 182. | Lahmar, H.; Benamira, M.; Akika, F. Z.; Trari, M. J. Phys. Chem. Solids 2017, 110, 254–259. doi:10.1016/j.jpcs.2017.06.021 |
| 218. | Zhang, Y.; Nie, J.; Wang, Q.; Zhang, X.; Wang, Q.; Cong, Y. Appl. Surf. Sci. 2018, 427, 1009. doi:10.1016/j.apsusc.2017.09.008 |
| 96. | Abdullah, H.; Kuo, D.-H.; Chen, Y.-H. J. Mater. Sci. 2016, 51, 8209–8223. doi:10.1007/s10853-016-0096-0 |
| 217. | Lei, X. F.; Xue, X. X.; Yang, H. Appl. Surf. Sci. 2014, 321, 396–403. doi:10.1016/j.apsusc.2014.10.045 |
| 214. | Liu, S. X.; Qu, Z. P.; Han, X. W.; Sun, C. L. Catal. Today 2004, 93–95, 877–884. doi:10.1016/j.cattod.2004.06.097 |
| 93. | Li, J.; Wang, T.; Du, X. Sep. Purif. Technol. 2012, 101, 11–17. doi:10.1016/j.seppur.2012.09.014 |
| 200. | Liu, X.; Pan, L.; Lv, T.; Sun, Z. J. Alloys Compd. 2014, 583, 390–395. doi:10.1016/j.jallcom.2013.08.193 |
| 216. | Eskandarloo, H.; Badiei, A.; Behnajady, M. A.; Ziarani, G. M. RSC Adv. 2014, 4, 28587–28596. doi:10.1039/c4ra03418j |
| 215. | Pan, X.; Xu, Y.-J. J. Phys. Chem. C 2013, 117, 17996–18005. doi:10.1021/jp4064802 |
| 198. | Liu, S.; Zhang, N.; Tang, Z.-R.; Xu, Y.-J. ACS Appl. Mater. Interfaces 2012, 4, 6378–6385. doi:10.1021/am302074p |
| 208. | Mu, J.; Shao, C.; Guo, Z.; Zhang, Z.; Zhang, M.; Zhang, P.; Chen, B.; Liu, Y. ACS Appl. Mater. Interfaces 2011, 3, 590–596. doi:10.1021/am101171a |
| 209. | Liu, B.; Khare, A.; Aydil, E. S. ACS Appl. Mater. Interfaces 2011, 3, 4444–4450. doi:10.1021/am201123u |
| 210. | Huang, Y.; Wei, Y.; Wu, J.; Guo, C.; Wang, M.; Yin, S.; Sato, T. Appl. Catal., B 2012, 123–124, 9–17. doi:10.1016/j.apcatb.2012.04.010 |
| 199. | Chen, Z.; Xu, Y.-J. ACS Appl. Mater. Interfaces 2013, 5, 13353–13363. doi:10.1021/am4043068 |
| 207. | Yang, C.; Wang, W.; Shan, Z.; Huang, F. J. Solid State Chem. 2009, 182, 807–812. doi:10.1016/j.jssc.2008.12.018 |
| 97. | Gao, X.; Liu, X.; Zhu, Z.; Wang, X.; Xie, Z. Sci. Rep. 2016, 6, 30543. doi:10.1038/srep30543 |
| 206. | Zhang, Y. C.; Li, J.; Xu, H. Y. Appl. Catal., B 2012, 123–124, 18–26. doi:10.1016/j.apcatb.2012.04.018 |
| 97. | Gao, X.; Liu, X.; Zhu, Z.; Wang, X.; Xie, Z. Sci. Rep. 2016, 6, 30543. doi:10.1038/srep30543 |
| 211. | Yang, Q.-L.; Kang, S.-Z.; Chen, H.; Bu, W.; Mu, J. Desalination 2011, 266, 149–153. doi:10.1016/j.desal.2010.08.018 |
| 212. | Tuprakay, S.; Liengcharernsit, W. J. Hazard. Mater. 2005, 124, 53–58. doi:10.1016/j.jhazmat.2005.03.027 |
| 213. | Zhang, K.; Kemp, K. C.; Chandra, V. Mater. Lett. 2012, 81, 127–130. doi:10.1016/j.matlet.2012.05.002 |
| 219. | Zhang, D.; Xu, G.; Chen, F. Appl. Surf. Sci. 2015, 351, 962–968. doi:10.1016/j.apsusc.2015.06.044 |
| 221. | Tanaka, A.; Nakanishi, K.; Hamada, R.; Hashimoto, K.; Kominami, H. ACS Catal. 2013, 3, 1886–1891. doi:10.1021/cs400433r |
| 222. | Wang, W.; Lai, M.; Fang, J.; Lu, C. Appl. Surf. Sci. 2018, 439, 430–438. doi:10.1016/j.apsusc.2017.12.249 |
| 219. | Zhang, D.; Xu, G.; Chen, F. Appl. Surf. Sci. 2015, 351, 962–968. doi:10.1016/j.apsusc.2015.06.044 |
| 220. | Liu, X.; Pan, L.; Lv, T.; Sun, Z.; Sun, C. RSC Adv. 2012, 2, 3823–3827. doi:10.1039/c2ra01107g |
| 206. | Zhang, Y. C.; Li, J.; Xu, H. Y. Appl. Catal., B 2012, 123–124, 18–26. doi:10.1016/j.apcatb.2012.04.018 |
| 217. | Lei, X. F.; Xue, X. X.; Yang, H. Appl. Surf. Sci. 2014, 321, 396–403. doi:10.1016/j.apsusc.2014.10.045 |
| 227. | Dozzi, M. V.; Saccomanni, A.; Selli, E. J. Hazard. Mater. 2012, 211–212, 188–195. doi:10.1016/j.jhazmat.2011.09.038 |
| 224. | Pandikumar, A.; Ramasamy, R. Mater. Chem. Phys. 2013, 141, 629–635. doi:10.1016/j.matchemphys.2013.05.026 |
| 223. | Cai, J.; Wu, S.; Li, S.; Zhang, F. Appl. Catal., B 2017, 201, 12–21. doi:10.1016/j.apcatb.2016.08.003 |
| 225. | Lia, S.; Cai, J.; Wu, X.; Liu, B.; Chen, Q.; Li, Y.; Zheng, F. J. Hazard. Mater. 2018, 346, 52–61. doi:10.1016/j.jhazmat.2017.12.001 |
| 228. | Kar, P.; Maji, T. K.; Sarkar, P. K.; Lemmens, P.; Pal, S. K. J. Mater. Chem. A 2018, 6, 3674–3683. doi:10.1039/C7TA11138J |
| 221. | Tanaka, A.; Nakanishi, K.; Hamada, R.; Hashimoto, K.; Kominami, H. ACS Catal. 2013, 3, 1886–1891. doi:10.1021/cs400433r |
| 229. | Wu, Q.; Zhao, J.; Qin, G.; Wang, C.; Tong, X.; Xue, S. Appl. Catal., B 2013, 142–143, 142–148. doi:10.1016/j.apcatb.2013.04.056 |
| 220. | Liu, X.; Pan, L.; Lv, T.; Sun, Z.; Sun, C. RSC Adv. 2012, 2, 3823–3827. doi:10.1039/c2ra01107g |
| 223. | Cai, J.; Wu, S.; Li, S.; Zhang, F. Appl. Catal., B 2017, 201, 12–21. doi:10.1016/j.apcatb.2016.08.003 |
| 222. | Wang, W.; Lai, M.; Fang, J.; Lu, C. Appl. Surf. Sci. 2018, 439, 430–438. doi:10.1016/j.apsusc.2017.12.249 |
| 225. | Lia, S.; Cai, J.; Wu, X.; Liu, B.; Chen, Q.; Li, Y.; Zheng, F. J. Hazard. Mater. 2018, 346, 52–61. doi:10.1016/j.jhazmat.2017.12.001 |
| 221. | Tanaka, A.; Nakanishi, K.; Hamada, R.; Hashimoto, K.; Kominami, H. ACS Catal. 2013, 3, 1886–1891. doi:10.1021/cs400433r |
| 229. | Wu, Q.; Zhao, J.; Qin, G.; Wang, C.; Tong, X.; Xue, S. Appl. Catal., B 2013, 142–143, 142–148. doi:10.1016/j.apcatb.2013.04.056 |
| 228. | Kar, P.; Maji, T. K.; Sarkar, P. K.; Lemmens, P.; Pal, S. K. J. Mater. Chem. A 2018, 6, 3674–3683. doi:10.1039/C7TA11138J |
| 99. | Subramanian, V.; Wolf, E. E.; Kamat, P. V. J. Phys. Chem. B 2003, 107, 7479–7485. doi:10.1021/jp0275037 |
| 100. | Jakob, M.; Levanon, H.; Kamat, P. V. Nano Lett. 2003, 3, 353–358. doi:10.1021/nl0340071 |
| 101. | Wood, A.; Giersig, M.; Mulvaney, P. J. Phys. Chem. B 2001, 105, 8810–8815. doi:10.1021/jp011576t |
| 97. | Gao, X.; Liu, X.; Zhu, Z.; Wang, X.; Xie, Z. Sci. Rep. 2016, 6, 30543. doi:10.1038/srep30543 |
| 97. | Gao, X.; Liu, X.; Zhu, Z.; Wang, X.; Xie, Z. Sci. Rep. 2016, 6, 30543. doi:10.1038/srep30543 |
| 98. | Baker, D. R.; Kamat, P. V. Adv. Funct. Mater. 2009, 19, 805–811. doi:10.1002/adfm.200801173 |
| 131. | Zhao, Y.; Zhao, D.; Chen, C.; Wang, X. J. Colloid Interface Sci. 2013, 405, 211–217. doi:10.1016/j.jcis.2013.05.004 |
| 200. | Liu, X.; Pan, L.; Lv, T.; Sun, Z. J. Alloys Compd. 2014, 583, 390–395. doi:10.1016/j.jallcom.2013.08.193 |
| 232. | Wang, W.; Wang, Z.; Liu, J.; Zhang, Z.; Sun, L. Sci. Rep. 2017, 7, 43755. doi:10.1038/srep43755 |
| 102. | Li, M.; Lu, B.; Ke, Q.-F.; Guo, Y.-J.; Guo, Y.-P. J. Hazard. Mater. 2017, 333, 88–98. doi:10.1016/j.jhazmat.2017.03.019 |
| 103. | Woan, K.; Pyrgiotakis, G.; Sigmund, W. Adv. Mater. 2009, 21, 2233–2239. doi:10.1002/adma.200802738 |
| 104. | Huang, Q.; Tian, S.; Zeng, D.; Wang, X.; Song, W.; Li, Y.; Xiao, W.; Xie, C. ACS Catal. 2013, 3, 1477–1485. doi:10.1021/cs400080w |
| 105. | Li, Y.; Cui, W.; Liu, L.; Zong, R.; Yao, W.; Liang, Y.; Zhu, Y. Appl. Catal., B 2016, 199, 412–423. doi:10.1016/j.apcatb.2016.06.053 |
| 158. | Challagulla, S.; Nagarjuna, R.; Ganesan, R.; Roy, S. ACS Sustainable Chem. Eng. 2016, 4, 974–982. doi:10.1021/acssuschemeng.5b01055 |
| 125. | Liu, X.; Pan, L.; Lv, T.; Zhu, G.; Lu, T.; Sun, Z.; Sun, C. RSC Adv. 2011, 1, 1245–1249. doi:10.1039/c1ra00298h |
| 158. | Challagulla, S.; Nagarjuna, R.; Ganesan, R.; Roy, S. ACS Sustainable Chem. Eng. 2016, 4, 974–982. doi:10.1021/acssuschemeng.5b01055 |
| 97. | Gao, X.; Liu, X.; Zhu, Z.; Wang, X.; Xie, Z. Sci. Rep. 2016, 6, 30543. doi:10.1038/srep30543 |
| 231. | Jing, F.; Liang, R.; Xiong, J.; Chen, R.; Zhang, S.; Li, Y.; Wu, L. Appl. Catal., B 2017, 206, 9–15. doi:10.1016/j.apcatb.2016.12.070 |
| 97. | Gao, X.; Liu, X.; Zhu, Z.; Wang, X.; Xie, Z. Sci. Rep. 2016, 6, 30543. doi:10.1038/srep30543 |
| 230. | Albay, C.; Koç, M.; Altın, İ.; Bayrak, R.; Değirmencioğlu, İ.; Sökmen, M. J. Photochem. Photobiol., A: Chem. 2016, 324, 117–125. doi:10.1016/j.jphotochem.2016.03.024 |
| 97. | Gao, X.; Liu, X.; Zhu, Z.; Wang, X.; Xie, Z. Sci. Rep. 2016, 6, 30543. doi:10.1038/srep30543 |
| 137. | Chen, Z.; Li, Y.; Guo, M.; Xu, F.; Wang, P.; Du, Y.; Na, P. J. Hazard. Mater. 2016, 310, 188–198. doi:10.1016/j.jhazmat.2016.02.034 |
| 97. | Gao, X.; Liu, X.; Zhu, Z.; Wang, X.; Xie, Z. Sci. Rep. 2016, 6, 30543. doi:10.1038/srep30543 |
| 134. | Liu, H.; Liu, S.; Zhang, Z.; Dong, X.; Liu, T. Sci. Rep. 2016, 6, 33839. doi:10.1038/srep33839 |
| 135. | Shaikh, A.; Mishra, S. P.; Mohapatra, P.; Parida, S. J. Nanopart. Res. 2017, 19, 206. doi:10.1007/s11051-017-3894-7 |
| 139. | Shaham-Waldmann, N.; Paz, Y. Chem. Eng. J. 2013, 231, 49–58. doi:10.1016/j.cej.2013.07.021 |
| 132. | Li, Y.; Cui, W.; Liu, L.; Zong, R.; Yao, W.; Liang, Y.; Zhu, Y. Appl. Catal., B 2016, 199, 412–423. doi:10.1016/j.apcatb.2016.06.053 |
| 134. | Liu, H.; Liu, S.; Zhang, Z.; Dong, X.; Liu, T. Sci. Rep. 2016, 6, 33839. doi:10.1038/srep33839 |
| 159. | Yang, L.; Xiao, Y.; Liu, S.; Li, Y.; Cai, Q.; Luo, S.; Zeng, G. Appl. Catal., B 2010, 94, 142–149. doi:10.1016/j.apcatb.2009.11.002 |
| 178. | Yang, J.; Dai, J.; Li, J. Environ. Sci. Pollut. Res. 2013, 20, 2435–2447. doi:10.1007/s11356-012-1131-6 |
| 155. | Ku, Y.; Huang, Y.-H.; Chou, Y.-C. J. Mol. Catal. A: Chem. 2011, 342–343, 18–22. doi:10.1016/j.molcata.2011.04.003 |
| 158. | Challagulla, S.; Nagarjuna, R.; Ganesan, R.; Roy, S. ACS Sustainable Chem. Eng. 2016, 4, 974–982. doi:10.1021/acssuschemeng.5b01055 |
| 143. | Li, Y.; Liu, Z.; Wu, Y.; Chen, J.; Zhao, J.; Jin, F.; Na, P. Appl. Catal., B 2018, 224, 508–517. doi:10.1016/j.apcatb.2017.10.023 |
| 92. | Naimi-Joubani, M.; Shirzad-Siboni, M.; Yang, J.-K.; Gholami, M.; Farzadkia, M. J. Ind. Eng. Chem. (Amsterdam, Neth.) 2015, 22, 317–323. doi:10.1016/j.jiec.2014.07.025 |
| 173. | Mohammadi, M. R.; Fray, D. J. Solid State Sci. 2010, 12, 1629–1640. doi:10.1016/j.solidstatesciences.2010.07.015 |
| 170. | Kudo, A.; Domen, K.; Maruya, K.-i.; Onishi, T. Chem. Phys. Lett. 1987, 133, 517–519. doi:10.1016/0009-2614(87)80070-2 |
| 171. | Hwang, D. W.; Kim, H. G.; Kim, J.; Cha, K. Y.; Kim, Y. G.; Lee, J. S. J. Catal. 2000, 193, 40–48. doi:10.1006/jcat.2000.2875 |
| 172. | Kato, H.; Asakura, K.; Kudo, A. J. Am. Chem. Soc. 2003, 125, 3082–3089. doi:10.1021/ja027751g |
| 167. | Zhong, J. S.; Wang, Q. Y.; Zhou, J.; Chen, D. Q.; Ji, Z. G. Appl. Surf. Sci. 2016, 367, 342–346. doi:10.1016/j.apsusc.2016.01.189 |
| 166. | Qin, B.; Zhao, Y.; Li, H.; Qiu, L.; Fan, Z. Chin. J. Catal. 2015, 36, 1321–1325. doi:10.1016/S1872-2067(15)60877-4 |
| 169. | Velegraki, G.; Miao, J.; Drivas, C.; Liu, B.; Kennou, S.; Armatas, G. S. Appl. Catal., B 2018, 221, 635–644. doi:10.1016/j.apcatb.2017.09.064 |
| 168. | Athanasekou, C.; Romanos, G. E.; Papageorgiou, S. K.; Manolis, G. K.; Katsaros, F.; Falaras, P. Chem. Eng. J. 2017, 318, 171–180. doi:10.1016/j.cej.2016.06.033 |
| 163. | Susman, M. D.; Feldman, Y.; Vaskevich, A.; Rubinstein, I. ACS Nano 2014, 8, 162–174. doi:10.1021/nn405891g |
| 160. | Liu, L.; Yang, W.; Sun, W.; Li, Q.; Shang, J. K. ACS Appl. Mater. Interfaces 2015, 7, 1465–1476. doi:10.1021/am505861c |
| 165. | Navío, J. A.; Colón, G.; Trillas, M.; Peral, J.; Domènech, X.; Testa, J. J.; Padrón, J.; Rodríguez, D.; Litter, M. I. Appl. Catal., B 1998, 16, 187–196. doi:10.1016/S0926-3373(97)00073-8 |
| 96. | Abdullah, H.; Kuo, D.-H.; Chen, Y.-H. J. Mater. Sci. 2016, 51, 8209–8223. doi:10.1007/s10853-016-0096-0 |
| 181. | Gherbi, R.; Nasrallah, N.; Amrane, A.; Maachi, R.; Trari, M. J. Hazard. Mater. 2011, 186, 1124–1130. doi:10.1016/j.jhazmat.2010.11.105 |
| 178. | Yang, J.; Dai, J.; Li, J. Environ. Sci. Pollut. Res. 2013, 20, 2435–2447. doi:10.1007/s11356-012-1131-6 |
| 176. | Shamaila, S.; Sajjad, A. K. L.; Chen, F.; Zhang, J. Appl. Catal., B 2010, 94, 272–280. doi:10.1016/j.apcatb.2009.12.001 |
| 177. | Bian, Z.; Zhu, J.; Wang, S.; Cao, Y.; Qian, X.; Li, H. J. Phys. Chem. C 2008, 112, 6258–6262. doi:10.1021/jp800324t |
| 180. | Zhu, H.; Zhang, S.; Huang, Y.-X.; Wu, L.; Sun, S. Nano Lett. 2013, 13, 2947–2951. doi:10.1021/nl401325u |
| 179. | Harish, K. N.; Bhojya Naik, H. S.; Prashanth Kumar, P. N.; Viswanath, R. ACS Sustainable Chem. Eng. 2013, 1, 1143–1153. doi:10.1021/sc400060z |
| 159. | Yang, L.; Xiao, Y.; Liu, S.; Li, Y.; Cai, Q.; Luo, S.; Zeng, G. Appl. Catal., B 2010, 94, 142–149. doi:10.1016/j.apcatb.2009.11.002 |
| 161. | Ku, Y.; Lin, C.-N.; Hou, W.-M. J. Mol. Catal. A: Chem. 2011, 349, 20–27. doi:10.1016/j.molcata.2011.08.006 |
| 175. | Dozzi, M. V.; Marzorati, S.; Longhi, M.; Coduri, M.; Artiglia, L.; Selli, E. Appl. Catal., B 2016, 186, 157–165. doi:10.1016/j.apcatb.2016.01.004 |
| 162. | Kobayashi, M.; Miyoshi, K. Appl. Catal., B 2007, 72, 253–261. doi:10.1016/j.apcatb.2006.11.007 |
| 174. | Akurati, K. K.; Vital, A.; Dellemann, J.-P.; Michalow, K.; Graule, T.; Ferri, D.; Baiker, A. Appl. Catal., B 2008, 79, 53–62. doi:10.1016/j.apcatb.2007.09.036 |
| 161. | Ku, Y.; Lin, C.-N.; Hou, W.-M. J. Mol. Catal. A: Chem. 2011, 349, 20–27. doi:10.1016/j.molcata.2011.08.006 |
| 125. | Liu, X.; Pan, L.; Lv, T.; Zhu, G.; Lu, T.; Sun, Z.; Sun, C. RSC Adv. 2011, 1, 1245–1249. doi:10.1039/c1ra00298h |
| 126. | Zhang, H.; Lv, X.; Li, Y.; Wang, Y.; Li, J. ACS Nano 2010, 4, 380–386. doi:10.1021/nn901221k |
| 127. | Shen, J.; Yan, B.; Shi, M.; Ma, H.; Li, N.; Ye, M. J. Mater. Chem. 2011, 21, 3415–3421. doi:10.1039/c0jm03542d |
| 120. | Czerw, R.; Foley, B.; Tekleab, D.; Rubio, A.; Ajayan, P. M.; Carroll, D. L. Phys. Rev. B 2002, 66, 033408. doi:10.1103/PhysRevB.66.033408 |
| 121. | Guo, C. X.; Yang, H. B.; Sheng, Z. M.; Lu, Z. S.; Song, Q. L.; Li, C. M. Angew. Chem., Int. Ed. 2010, 49, 3014–3017. doi:10.1002/anie.200906291 |
| 122. | Li, Y.; Sasaki, T.; Shimizu, Y.; Koshizaki, N. J. Am. Chem. Soc. 2008, 130, 14755–14762. doi:10.1021/ja805077q |
| 123. | Xu, Y.; Schoonen, M. A. A. Am. Mineral. 2000, 85, 543–556. doi:10.2138/am-2000-0416 |
| 124. | Zhu, G.; Pan, L.; Xu, T.; Zhao, Q.; Sun, Z. J. Alloys Compd. 2011, 509, 7814–7818. doi:10.1016/j.jallcom.2011.05.043 |
| 111. | Williams, G.; Seger, B.; Kamat, P. V. ACS Nano 2008, 2, 1487–1491. doi:10.1021/nn800251f |
| 112. | Williams, G.; Kamat, P. V. Langmuir 2009, 25, 13869–13873. doi:10.1021/la900905h |
| 113. | Loh, K. P.; Bao, Q.; Eda, G.; Chhowalla, M. Nat. Chem. 2010, 2, 1015–1024. doi:10.1038/nchem.907 |
| 114. | Bang, J. H.; Suslick, K. S. Adv. Mater. 2010, 22, 1039–1059. doi:10.1002/adma.200904093 |
| 115. | Su, C.; Acik, M.; Takai, K.; Lu, J.; Hao, S.-j.; Zheng, Y.; Wu, P.; Bao, Q.; Enoki, T.; Chabal, Y. J.; Loh, K. P. Nat. Commun. 2012, 3, 1298. doi:10.1038/ncomms2315 |
| 116. | Liang, Y. T.; Vijayan, B. K.; Gray, K. A.; Hersam, M. C. Nano Lett. 2011, 11, 2865–2870. doi:10.1021/nl2012906 |
| 192. | Basu, M.; Sinha, A. K.; Pradhan, M.; Sarkar, S.; Negishi, Y.; Pal, T. Environ. Sci. Technol. 2010, 44, 6313–6318. doi:10.1021/es101323w |
| 117. | Kim, S. R.; Parvez, M. K.; Chhowalla, M. Chem. Phys. Lett. 2009, 483, 124–127. doi:10.1016/j.cplett.2009.10.066 |
| 118. | Zhang, X.-F.; Xi, Q. Carbon 2011, 49, 3842–3850. doi:10.1016/j.carbon.2011.05.019 |
| 119. | Wiedmann, S.; van Elferen, H. J.; Kurganova, E. V.; Katsnelson, M. I.; Giesbers, A. J. M.; Veligura, A.; van Wees, B. J.; Gorbachev, R. V.; Novoselov, K. S.; Maan, J. C.; Zeitler, U. Phys. Rev. B 2011, 84, 115314. doi:10.1103/PhysRevB.84.115314 |
| 188. | Li, X.; Zhu, J.; Li, H. Appl. Catal., B 2012, 123–124, 174–181. doi:10.1016/j.apcatb.2012.04.009 |
| 189. | Park, J.; Park, S.; Selvaraj, R.; Kim, Y. RSC Adv. 2015, 5, 52737–52742. doi:10.1039/C5RA07620J |
| 190. | Yuan, Y.-J.; Chen, D.-Q.; Shi, X.-F.; Tu, J.-R.; Hu, B.; Yang, L.-X.; Yu, Z.-T.; Zou, Z.-G. Chem. Eng. J. 2017, 313, 1438–1446. doi:10.1016/j.cej.2016.11.049 |
| 191. | Kwak, B. S.; Lee, H.; Kang, M. Chem. Eng. J. 2014, 255, 613–622. doi:10.1016/j.cej.2014.05.103 |
| 196. | Zong, X.; Yan, H.; Wu, G.; Ma, G.; Wen, F.; Wang, L.; Li, C. J. Am. Chem. Soc. 2008, 130, 7176–7177. doi:10.1021/ja8007825 |
| 106. | Chen, P.; Li, N.; Chen, X.; Ong, W.-J.; Zhao, X. 2D Mater. 2018, 5, 014002. doi:10.1088/2053-1583/aa8d37 |
| 107. | Kumar, S.; Kumar, A.; Bahuguna, A.; Sharma, V.; Krishnan, V. Beilstein J. Nanotechnol. 2017, 8, 1571–1600. doi:10.3762/bjnano.8.159 |
| 108. | Han, W.; Li, Z.; Li, Y.; Fan, X.; Zhang, F.; Zhang, G.; Peng, W. Front. Chem. (Lausanne, Switz.) 2017, 5, 84. doi:10.3389/fchem.2017.00084 |
| 109. | Li, Y.; Wang, H.; Xie, L.; Liang, Y.; Hong, G.; Dai, H. J. Am. Chem. Soc. 2011, 133, 7296–7299. doi:10.1021/ja201269b |
| 110. | Kemp, K. C.; Seema, H.; Saleh, M.; Le, N. H.; Mahesh, K.; Chandra, V.; Kim, K. S. Nanoscale 2013, 5, 3149–3171. doi:10.1039/c3nr33708a |
| 193. | Xu, X.; Lu, R.; Zhao, X.; Xu, S.; Lei, X.; Zhang, F.; Evans, D. G. Appl. Catal., B 2011, 102, 147–156. doi:10.1016/j.apcatb.2010.11.036 |
| 194. | Wang, Q.; Li, J.; Bai, Y.; Lian, J.; Huang, H.; Li, Z.; Lei, Z.; Shangguan, W. Green Chem. 2014, 16, 2728–2735. doi:10.1039/C3GC42466A |
| 195. | Bao, N.; Shen, L.; Takata, T.; Domen, K. Chem. Mater. 2008, 20, 110–117. doi:10.1021/cm7029344 |
| 186. | Rekhila, G.; Trari, M.; Bessekhouad, Y. Appl. Water Sci. 2017, 7, 1273–1281. doi:10.1007/s13201-015-0340-9 |
| 184. | Cui, B.; Lin, H.; Li, J.-B.; Li, X.; Yang, J.; Tao, J. Adv. Funct. Mater. 2008, 18, 1440–1447. doi:10.1002/adfm.200700982 |
| 185. | Yanguang, L.; Panitat, H.; Yiying, W. Adv. Mater. 2010, 22, 1926–1929. doi:10.1002/adma.200903896 |
| 50. | Kudo, A.; Miseki, Y. Chem. Soc. Rev. 2009, 38, 253–278. doi:10.1039/B800489G |
| 187. | Singh, S.; Khare, N. RSC Adv. 2015, 5, 96562–96572. doi:10.1039/C5RA14889H |
| 97. | Gao, X.; Liu, X.; Zhu, Z.; Wang, X.; Xie, Z. Sci. Rep. 2016, 6, 30543. doi:10.1038/srep30543 |
| 125. | Liu, X.; Pan, L.; Lv, T.; Zhu, G.; Lu, T.; Sun, Z.; Sun, C. RSC Adv. 2011, 1, 1245–1249. doi:10.1039/c1ra00298h |
| 128. | Xu, T.; Zhang, L.; Cheng, H.; Zhu, Y. Appl. Catal., B 2011, 101, 382–387. doi:10.1016/j.apcatb.2010.10.007 |
| 183. | Kebir, M.; Trari, M.; Maachi, R.; Nasrallah, N.; Bellal, B.; Amrane, A. J. Environ. Chem. Eng. 2015, 3, 548–559. doi:10.1016/j.jece.2014.12.024 |
| 126. | Zhang, H.; Lv, X.; Li, Y.; Wang, Y.; Li, J. ACS Nano 2010, 4, 380–386. doi:10.1021/nn901221k |
| 182. | Lahmar, H.; Benamira, M.; Akika, F. Z.; Trari, M. J. Phys. Chem. Solids 2017, 110, 254–259. doi:10.1016/j.jpcs.2017.06.021 |
| 205. | Qu, J.; Chen, D.; Li, N.; Xu, Q.; Li, H.; He, J.; Lu, J. Appl. Catal., B 2017, 207, 404–411. doi:10.1016/j.apcatb.2017.02.050 |
| 204. | Mondal, C.; Ganguly, M.; Pal, J.; Roy, A.; Jana, J.; Pal, T. Langmuir 2014, 30, 4157–4164. doi:10.1021/la500509c |
| 206. | Zhang, Y. C.; Li, J.; Xu, H. Y. Appl. Catal., B 2012, 123–124, 18–26. doi:10.1016/j.apcatb.2012.04.018 |
| 200. | Liu, X.; Pan, L.; Lv, T.; Sun, Z. J. Alloys Compd. 2014, 583, 390–395. doi:10.1016/j.jallcom.2013.08.193 |
| 199. | Chen, Z.; Xu, Y.-J. ACS Appl. Mater. Interfaces 2013, 5, 13353–13363. doi:10.1021/am4043068 |
| 202. | Yella, A.; Mugnaioli, E.; Therese, H. A.; Panthöfer, M.; Kolb, U.; Tremel, W. Chem. Mater. 2009, 21, 2474–2481. doi:10.1021/cm900277j |
| 203. | Zhang, Y. C.; Du, Z. N.; Li, S. Y.; Zhang, M. Appl. Catal., B 2010, 95, 153–159. doi:10.1016/j.apcatb.2009.12.022 |
| 201. | Zhang, Y. C.; Du, Z. N.; Li, K. W.; Zhang, M.; Dionysiou, D. D. ACS Appl. Mater. Interfaces 2011, 3, 1528–1537. doi:10.1021/am200102y |
| 197. | Bessekhouad, Y.; Chaoui, N.; Trzpit, M.; Ghazzal, N.; Robert, D.; Weber, J. V. J. Photochem. Photobiol., A 2006, 183, 218–224. doi:10.1016/j.jphotochem.2006.03.025 |
| 198. | Liu, S.; Zhang, N.; Tang, Z.-R.; Xu, Y.-J. ACS Appl. Mater. Interfaces 2012, 4, 6378–6385. doi:10.1021/am302074p |
| 70. | Daghrir, R.; Drogui, P.; Robert, D. Ind. Eng. Chem. Res. 2013, 52, 3581–3599. doi:10.1021/ie303468t |
| 134. | Liu, H.; Liu, S.; Zhang, Z.; Dong, X.; Liu, T. Sci. Rep. 2016, 6, 33839. doi:10.1038/srep33839 |
| 134. | Liu, H.; Liu, S.; Zhang, Z.; Dong, X.; Liu, T. Sci. Rep. 2016, 6, 33839. doi:10.1038/srep33839 |
| 135. | Shaikh, A.; Mishra, S. P.; Mohapatra, P.; Parida, S. J. Nanopart. Res. 2017, 19, 206. doi:10.1007/s11051-017-3894-7 |
| 134. | Liu, H.; Liu, S.; Zhang, Z.; Dong, X.; Liu, T. Sci. Rep. 2016, 6, 33839. doi:10.1038/srep33839 |
| 131. | Zhao, Y.; Zhao, D.; Chen, C.; Wang, X. J. Colloid Interface Sci. 2013, 405, 211–217. doi:10.1016/j.jcis.2013.05.004 |
| 128. | Xu, T.; Zhang, L.; Cheng, H.; Zhu, Y. Appl. Catal., B 2011, 101, 382–387. doi:10.1016/j.apcatb.2010.10.007 |
| 133. | Zhou, T.; Li, C.; Jin, H.; Lian, Y.; Han, W. ACS Appl. Mater. Interfaces 2017, 9, 6030–6043. doi:10.1021/acsami.6b14079 |
| 132. | Li, Y.; Cui, W.; Liu, L.; Zong, R.; Yao, W.; Liang, Y.; Zhu, Y. Appl. Catal., B 2016, 199, 412–423. doi:10.1016/j.apcatb.2016.06.053 |
| 129. | Yang, N.; Zhai, J.; Wang, D.; Chen, Y.; Jiang, L. ACS Nano 2010, 4, 887–894. doi:10.1021/nn901660v |
| 130. | Zhu, G.; Xu, T.; Lv, T.; Pan, L.; Zhao, Q.; Sun, Z. J. Electroanal. Chem. 2011, 650, 248–251. doi:10.1016/j.jelechem.2010.10.011 |
| 136. | Karthik, P.; Neppolian, B. J. Environ. Chem. Eng., in press. doi:10.1016/j.jece.2017.05.028 |
| 145. | Georgekutty, R.; Seery, M. K.; Pillai, S. C. J. Phys. Chem. C 2008, 112, 13563–13570. doi:10.1021/jp802729a |
| 146. | Lin, D.; Wu, H.; Zhang, R.; Pan, W. Chem. Mater. 2009, 21, 3479–3484. doi:10.1021/cm900225p |
| 147. | Shifu, C.; Wei, Z.; Sujuan, Z.; Wei, L. Chem. Eng. J. 2009, 148, 263–269. doi:10.1016/j.cej.2008.08.039 |
| 148. | Tak, Y.; Yong, K. J. Phys. Chem. B 2005, 109, 19263–19269. doi:10.1021/jp0538767 |
| 144. | Zhang, Y.; Xu, M.; Li, H.; Ge, H.; Bian, Z. Appl. Catal., B 2018, 226, 213–219. doi:10.1016/j.apcatb.2017.12.053 |
| 150. | Serpone, N.; Maruthamuthu, P.; Pichat, P.; Pelizzetti, E.; Hidaka, H. J. Photochem. Photobiol., A: Chem. 1995, 85, 247–255. doi:10.1016/1010-6030(94)03906-B |
| 149. | Liu, X.; Lv, T.; Pan, L.; Sun, Z.; Sun, C. Q. Desalin. Water Treat. 2012, 42, 216–221. doi:10.1080/19443994.2012.683161 |
| 1. | Sun, Z.; Yao, G.; Zhang, X.; Zheng, S.; Frost, R. L. Appl. Clay Sci. 2016, 129, 7–14. doi:10.1016/j.clay.2016.04.003 |
| 2. | Rafatullah, M.; Sulaiman, O.; Hashim, R.; Ahmad, A. J. Hazard. Mater. 2010, 177, 70–80. doi:10.1016/j.jhazmat.2009.12.047 |
| 3. | Ahmaruzzaman, M. Adv. Colloid Interface Sci. 2008, 143, 48–67. doi:10.1016/j.cis.2008.07.002 |
| 140. | Huang, L.; Chan, Q.; Wu, X.; Wang, H.; Liu, Y. J. Ind. Eng. Chem. 2012, 18, 574–580. doi:10.1016/j.jiec.2011.11.060 |
| 139. | Shaham-Waldmann, N.; Paz, Y. Chem. Eng. J. 2013, 231, 49–58. doi:10.1016/j.cej.2013.07.021 |
| 143. | Li, Y.; Liu, Z.; Wu, Y.; Chen, J.; Zhao, J.; Jin, F.; Na, P. Appl. Catal., B 2018, 224, 508–517. doi:10.1016/j.apcatb.2017.10.023 |
| 141. | Li, L.; Wu, G.; Yang, G.; Peng, J.; Zhao, J.; Zhu, J.-J. Nanoscale 2013, 5, 4015–4039. doi:10.1039/c3nr33849e |
| 142. | Lim, S. Y.; Shen, W.; Gao, Z. Chem. Soc. Rev. 2014, 44, 362–381. doi:10.1039/C4CS00269E |
| 7. | Zhao, D.; Gao, X.; Wu, C.; Xie, R.; Feng, S.; Chen, C. Appl. Surf. Sci. 2016, 384, 1–9. doi:10.1016/j.apsusc.2016.05.022 |
| 8. | Wan Ngah, W. S.; Hanafiah, M. A. K. M. Bioresour. Technol. 2008, 99, 3935–3948. doi:10.1016/j.biortech.2007.06.011 |
| 9. | Demirbas, A. J. Hazard. Mater. 2008, 157, 220–229. doi:10.1016/j.jhazmat.2008.01.024 |
| 6. |
Dionex. Determination of Cr(VI) in water, wastewater and solid waste extracts, Technical Note 26 LPN 34398-01 1M 7/96; Dionex Corporation: Sunnyvale, CA, U.S.A., 1996.
https://tools.thermofisher.com/content/sfs/brochures/TN-26-LC-Chromium-Water-Wastewater-Waste-TN71432-EN.pdf |
| 6. |
Dionex. Determination of Cr(VI) in water, wastewater and solid waste extracts, Technical Note 26 LPN 34398-01 1M 7/96; Dionex Corporation: Sunnyvale, CA, U.S.A., 1996.
https://tools.thermofisher.com/content/sfs/brochures/TN-26-LC-Chromium-Water-Wastewater-Waste-TN71432-EN.pdf |
| 138. | Liu, F.; Yu, J.; Tu, G.; Qu, L.; Xiao, J.; Liu, Y.; Wang, L.; Lei, J.; Zhang, J. Appl. Catal., B 2017, 201, 1–11. doi:10.1016/j.apcatb.2016.08.001 |
| 4. | Dubey, R.; Bajpai, J.; Bajpai, A. K. J. Water Process Eng. 2015, 5, 83–94. doi:10.1016/j.jwpe.2015.01.004 |
| 5. | Acharya, R.; Martha, S.; Parida, K. M. Remediation of Cr(VI) using clay minerals, biomasses and industrial wastes as adsorbents. In Advanced Materials for Waste water Treatment; Islam, S., Ed.; John Wiley & Sons, Inc.: New York, NY, U.S.A., 2017; pp 129–170. doi:10.1002/9781119407805.ch5 |
| 137. | Chen, Z.; Li, Y.; Guo, M.; Xu, F.; Wang, P.; Du, Y.; Na, P. J. Hazard. Mater. 2016, 310, 188–198. doi:10.1016/j.jhazmat.2016.02.034 |
| 13. | Du, Y.; Wang, L.; Wang, J.; Zheng, G.; Wu, J.; Dai, H. J. Environ. Sci. 2015, 29, 71–81. doi:10.1016/j.jes.2014.06.047 |
| 14. | Huang, J.; Zhang, X.; Bai, L.; Yuan, S. J. Environ. Sci. 2012, 24, 1433–1438. doi:10.1016/S1001-0742(11)60948-0 |
| 15. | Sun, X.; Yang, L.; Li, Q.; Zhao, J.; Li, X.; Wang, X. Chem. Eng. J. 2014, 241, 175–183. doi:10.1016/j.cej.2013.12.051 |
| 11. | Kotaś, J.; Stasicka, Z. Environ. Pollut. 2000, 107, 263–283. doi:10.1016/S0269-7491(99)00168-2 |
| 12. | Kumar, A. R.; Riyazuddin, P. Environ. Monit. Assess. 2011, 176, 647–662. doi:10.1007/s10661-010-1610-5 |
| 10. | Gowd, S. S.; Govil, P. K. Environ. Monit. Assess. 2008, 136, 197–207. doi:10.1007/s10661-007-9675-5 |
| 4. | Dubey, R.; Bajpai, J.; Bajpai, A. K. J. Water Process Eng. 2015, 5, 83–94. doi:10.1016/j.jwpe.2015.01.004 |
| 159. | Yang, L.; Xiao, Y.; Liu, S.; Li, Y.; Cai, Q.; Luo, S.; Zeng, G. Appl. Catal., B 2010, 94, 142–149. doi:10.1016/j.apcatb.2009.11.002 |
| 161. | Ku, Y.; Lin, C.-N.; Hou, W.-M. J. Mol. Catal. A: Chem. 2011, 349, 20–27. doi:10.1016/j.molcata.2011.08.006 |
| 86. | Naik, B.; Parida, K. M.; Behera, G. C. ChemCatChem 2011, 3, 311–318. doi:10.1002/cctc.201000233 |
| 159. | Yang, L.; Xiao, Y.; Liu, S.; Li, Y.; Cai, Q.; Luo, S.; Zeng, G. Appl. Catal., B 2010, 94, 142–149. doi:10.1016/j.apcatb.2009.11.002 |
| 160. | Liu, L.; Yang, W.; Sun, W.; Li, Q.; Shang, J. K. ACS Appl. Mater. Interfaces 2015, 7, 1465–1476. doi:10.1021/am505861c |
| 162. | Kobayashi, M.; Miyoshi, K. Appl. Catal., B 2007, 72, 253–261. doi:10.1016/j.apcatb.2006.11.007 |
| 163. | Susman, M. D.; Feldman, Y.; Vaskevich, A.; Rubinstein, I. ACS Nano 2014, 8, 162–174. doi:10.1021/nn405891g |
| 164. | Ma, D.-K.; Guan, M.-L.; Liu, S.-S.; Zhang, Y.-Q.; Zhang, C.-W.; He, Y.-X.; Huang, S.-M. Dalton Trans. 2012, 41, 5581–5586. doi:10.1039/c2dt30099k |
| 156. | Wang, H.; Wu, Z.; Liu, Y.; Sheng, Z. J. Mol. Catal. A: Chem. 2008, 287, 176–181. doi:10.1016/j.molcata.2008.03.010 |
| 155. | Ku, Y.; Huang, Y.-H.; Chou, Y.-C. J. Mol. Catal. A: Chem. 2011, 342–343, 18–22. doi:10.1016/j.molcata.2011.04.003 |
| 158. | Challagulla, S.; Nagarjuna, R.; Ganesan, R.; Roy, S. ACS Sustainable Chem. Eng. 2016, 4, 974–982. doi:10.1021/acssuschemeng.5b01055 |
| 157. | Zou, J.-J.; Zhu, B.; Wang, L.; Zhang, X.; Mi, Z. J. Mol. Catal. A: Chem. 2008, 286, 63–69. doi:10.1016/j.molcata.2008.01.045 |
| 151. | Wang, X.; Pehkonen, S. O.; Ray, A. K. Ind. Eng. Chem. Res. 2004, 43, 1665–1672. doi:10.1021/ie030580j |
| 152. | Wang, L.; Wang, N.; Zhu, L.; Yu, H.; Tang, H. J. Hazard. Mater. 2008, 152, 93–99. doi:10.1016/j.jhazmat.2007.06.063 |
| 153. | Wang, N.; Zhu, L.; Deng, K.; She, Y.; Yu, Y.; Tang, H. Appl. Catal., B 2010, 95, 400–407. doi:10.1016/j.apcatb.2010.01.019 |
| 154. | Yang, J. K.; Lee, S. M.; Siboni, M. S. Environ. Technol. 2012, 33, 2027–2032. doi:10.1080/09593330.2012.655325 |
| 92. | Naimi-Joubani, M.; Shirzad-Siboni, M.; Yang, J.-K.; Gholami, M.; Farzadkia, M. J. Ind. Eng. Chem. (Amsterdam, Neth.) 2015, 22, 317–323. doi:10.1016/j.jiec.2014.07.025 |
| 56. | Hu, Z.; Quan, H.; Chen, Z.; Shao, Y.; Li, D. Photochem. Photobiol. Sci. 2018, 17, 51–59. doi:10.1039/C7PP00256D |
| 57. | Frank, S. N.; Bard, A. J. J. Am. Chem. Soc. 1977, 99, 303–304. doi:10.1021/ja00443a081 |
| 58. | Frank, S. N.; Bard, A. J. J. Phys. Chem. 1977, 81, 1484–1488. doi:10.1021/j100530a011 |
| 59. | Wang, Y.; Yang, W.; Zhang, L.; Hu, Y.; Lou, X. W. D. Nanoscale 2013, 5, 10864–10867. doi:10.1039/c3nr03909a |
| 60. | Padhi, D. K.; Parida, K. J. Mater. Chem. A 2014, 2, 10300–10312. doi:10.1039/C4TA00931B |
| 61. | Padhi, D. K.; Pradhan, G. K.; Parida, K. M.; Singh, S. K. Chem. Eng. J. 2014, 255, 78–88. doi:10.1016/j.cej.2014.06.039 |
| 80. | Pany, S.; Naik, B.; Martha, S.; Parida, K. ACS Appl. Mater. Interfaces 2014, 6, 839–846. doi:10.1021/am403865r |
| 81. | Naik, B.; Moon, S. Y.; Kim, S. H.; Park, J. Y. Appl. Surf. Sci. 2015, 354, 347–352. doi:10.1016/j.apsusc.2015.05.102 |
| 82. | Choi, W.; Termin, A.; Hoffmann, M. R. Angew. Chem. 1994, 106, 1148–1149. doi:10.1002/ange.19941061014 |
| 83. | Wang, H.; You, T.; Shi, W.; Li, J.; Guo, L. J. Phys. Chem. C 2012, 116, 6490–6494. doi:10.1021/jp212303q |
| 75. | Yuan, R.; Chen, T.; Fei, E.; Lin, J.; Ding, Z.; Long, J.; Zhang, Z.; Fu, X.; Liu, P.; Wu, L.; Wang, X. ACS Catal. 2011, 1, 200–206. doi:10.1021/cs100122v |
| 76. | Park, J. Y.; Kim, S. M.; Lee, H.; Naik, B. Catal. Lett. 2014, 144, 1996–2004. doi:10.1007/s10562-014-1333-2 |
| 77. | Wang, Q.; Yang, X.; Liu, D.; Chi, L.; Hou, J. Electrochim. Acta 2012, 83, 140–145. doi:10.1016/j.electacta.2012.07.092 |
| 78. | DeSario, P. A.; Pietron, J. J.; DeVantier, D. E.; Brintlinger, T. H.; Stroud, R. M.; Rolison, D. R. Nanoscale 2013, 5, 8073–8083. doi:10.1039/c3nr01429k |
| 73. | Wang, R.; Hashimoto, K.; Fujishima, A.; Chikuni, M.; Kojima, E.; Kitamura, A.; Shimohigoshi, M.; Watanabe, T. Nature 1997, 431–432, 388. doi:10.1038/41233 |
| 74. | Bard, A. J.; Parsons, R.; Jordan, J. Standard Potentials in Aqueous Solution; CRC Press: Cambridge, MA, U.S.A., 1985; Vol. 6. |
| 62. | Naik, B.; Kim, S. M.; Jung, C. H.; Moon, S. Y.; Kim, S. H.; Park, J. Y. Adv. Mater. Interfaces 2014, 1, 1300018. doi:10.1002/admi.201300018 |
| 63. | Naik, B.; Parida, K. M.; Gopinath, C. S. J. Phys. Chem. C 2010, 114, 19473–19482. doi:10.1021/jp1083345 |
| 64. | Ku, Y.; Jung, I.-L. Water Res. 2001, 35, 135–142. doi:10.1016/S0043-1354(00)00098-1 |
| 65. | Yang, J.-K.; Lee, S.-M. Chemosphere 2006, 63, 1677–1684. doi:10.1016/j.chemosphere.2005.10.005 |
| 66. | Parida, K. M.; Sahu, N. J. Mol. Catal. A: Chem. 2008, 287, 151–158. doi:10.1016/j.molcata.2008.02.028 |
| 67. | Das, D. P.; Parida, K.; De, B. R. J. Mol. Catal. A: Chem. 2006, 245, 217–224. doi:10.1016/j.molcata.2005.10.001 |
| 68. | Mohapatra, P.; Samantaray, S. K.; Parida, K. J. Photochem. Photobiol., A: Chem. 2005, 170, 189–194. doi:10.1016/j.jphotochem.2004.08.012 |
| 69. | Pelaez, M.; Nolan, N. T.; Pillai, S. C.; Seery, M. K.; Falaras, P.; Kontos, A. G.; Dunlop, P. S. M.; Hamilton, J. W. J.; Byrne, J. A.; Oshea, K.; Entezari, M. H.; Dionysiou, D. D. Appl. Catal., B 2012, 125, 331–349. doi:10.1016/j.apcatb.2012.05.036 |
| 70. | Daghrir, R.; Drogui, P.; Robert, D. Ind. Eng. Chem. Res. 2013, 52, 3581–3599. doi:10.1021/ie303468t |
| 71. | Asahi, R.; Morikawa, T.; Irie, H.; Ohwaki, T. Chem. Rev. 2014, 114, 9824–9852. doi:10.1021/cr5000738 |
| 72. | Luo, C.; Ren, X.; Dai, Z.; Zhang, Y.; Qi, X.; Pan, C. ACS Appl. Mater. Interfaces 2017, 9, 23265–23286. doi:10.1021/acsami.7b00496 |
| 84. | Yao, Y.; Qin, J.; Chen, H.; Wei, F.; Liu, X.; Wang, J.; Wang, S. J. Hazard. Mater. 2015, 291, 28–37. doi:10.1016/j.jhazmat.2015.02.042 |
| 85. | Parida, K. M.; Naik, B. J. Colloid Interface Sci. 2009, 333, 269–276. doi:10.1016/j.jcis.2009.02.017 |
| 86. | Naik, B.; Parida, K. M.; Behera, G. C. ChemCatChem 2011, 3, 311–318. doi:10.1002/cctc.201000233 |
| 87. | Naik, B.; Parida, K. M. Ind. Eng. Chem. Res. 2010, 49, 8339–8346. doi:10.1021/ie100889m |
| 88. | Naik, B.; Martha, S.; Parida, K. M. Int. J. Hydrogen Energy 2011, 36, 2794–2802. doi:10.1016/j.ijhydene.2010.11.104 |
| 89. | Grätzel, M. J. Photochem. Photobiol., C: Photochem. Rev. 2003, 4, 145–153. doi:10.1016/S1389-5567(03)00026-1 |
| 96. | Abdullah, H.; Kuo, D.-H.; Chen, Y.-H. J. Mater. Sci. 2016, 51, 8209–8223. doi:10.1007/s10853-016-0096-0 |
| 96. | Abdullah, H.; Kuo, D.-H.; Chen, Y.-H. J. Mater. Sci. 2016, 51, 8209–8223. doi:10.1007/s10853-016-0096-0 |
| 63. | Naik, B.; Parida, K. M.; Gopinath, C. S. J. Phys. Chem. C 2010, 114, 19473–19482. doi:10.1021/jp1083345 |
| 94. | Chen, X.; Liu, L.; Peter, Y. Y.; Mao, S. S. Science 2011, 331, 746–750. doi:10.1126/science.1200448 |
| 95. | Naldoni, A.; Allieta, M.; Santangelo, S.; Marelli, M.; Fabbri, F.; Cappelli, S.; Bianchi, C. L.; Psaro, R.; Dal Santo, V. J. Am. Chem. Soc. 2012, 134, 7600–7603. doi:10.1021/ja3012676 |
| 91. | Fresno, F.; Hernández-Alonso, M. D.; Tudela, D.; Coronado, J. M.; Soria, J. Appl. Catal., B 2008, 84, 598–606. doi:10.1016/j.apcatb.2008.05.015 |
| 92. | Naimi-Joubani, M.; Shirzad-Siboni, M.; Yang, J.-K.; Gholami, M.; Farzadkia, M. J. Ind. Eng. Chem. (Amsterdam, Neth.) 2015, 22, 317–323. doi:10.1016/j.jiec.2014.07.025 |
| 93. | Li, J.; Wang, T.; Du, X. Sep. Purif. Technol. 2012, 101, 11–17. doi:10.1016/j.seppur.2012.09.014 |
| 90. | Yu, H.; Chen, S.; Quan, X.; Zhao, H.; Zhang, Y. Environ. Sci. Technol. 2008, 42, 3791–3796. doi:10.1021/es702948e |
| 62. | Naik, B.; Kim, S. M.; Jung, C. H.; Moon, S. Y.; Kim, S. H.; Park, J. Y. Adv. Mater. Interfaces 2014, 1, 1300018. doi:10.1002/admi.201300018 |
| 76. | Park, J. Y.; Kim, S. M.; Lee, H.; Naik, B. Catal. Lett. 2014, 144, 1996–2004. doi:10.1007/s10562-014-1333-2 |
| 33. | Ong, W.-J.; Tan, L.-L.; Chai, S.-P.; Yong, S.-T.; Mohamed, A. R. Nano Res. 2014, 7, 1528–1547. doi:10.1007/s12274-014-0514-z |
| 34. | Ong, W.-J.; Gui, M. M.; Chai, S.-P.; Mohamed, A. R. RSC Adv. 2013, 3, 4505–4509. doi:10.1039/C3RA00030C |
| 35. | Tan, L.-L.; Ong, W.-J.; Chai, S.-P.; Mohamed, A. R. Chem. Commun. 2014, 50, 6923–6926. doi:10.1039/c4cc01304b |
| 36. | Tan, L.-L.; Ong, W.-J.; Chai, S.-P.; Mohamed, A. R. Chem. Eng. J. 2016, 283, 1254–1263. doi:10.1016/j.cej.2015.07.093 |
| 37. | Tan, L.-L.; Ong, W.-J.; Chai, S.-P.; Mohamed, A. R. Chem. Eng. J. 2017, 308, 248–255. doi:10.1016/j.cej.2016.09.050 |
| 38. | Chen, X.; Li, N.; Kong, Z.; Ong, W.-J.; Zhao, X. Mater. Horiz. 2018, 5, 9. doi:10.1039/c7mh00557a |
| 26. | Ong, W.-J. Front. Mater. 2017, 4, 11. doi:10.3389/fmats.2017.00011 |
| 27. | Ong, W.-J.; Tan, L.-L.; Ng, Y. H.; Yong, S.-T.; Chai, S.-P. Chem. Rev. 2016, 116, 7159–7329. doi:10.1021/acs.chemrev.6b00075 |
| 28. | Xu, Y.; Li, A.; Yao, T.; Ma, C.; Zhang, X.; Shah, J. H.; Han, H. ChemSusChem 2017, 10, 4277–4305. doi:10.1002/cssc.201701598 |
| 29. | Chen, Y.; Xin, X.; Zhang, N.; Xu, Y.-J. Part. Part. Syst. Charact. 2017, 34, 1600357. doi:10.1002/ppsc.201600357 |
| 30. | Zeng, D.; Xiao, L.; Ong, W.-J.; Wu, P.; Zheng, H.; Chen, Y.; Peng, D.-L. ChemSusChem 2017, 10, 4624–4631. doi:10.1002/cssc.201701345 |
| 31. | Zeng, D.; Ong, W.-J.; Zheng, H.; Wu, M.; Chen, Y.; Peng, D.-L.; Han, M.-Y. J. Mater. Chem. A 2017, 5, 16171–16178. doi:10.1039/c7ta04816e |
| 32. | Putri, L. K.; Ng, B.-J.; Ong, W.-J.; Lee, H. W.; Chang, W. S.; Chai, S.-P. ACS Appl. Mater. Interfaces 2017, 9, 4558–4569. doi:10.1021/acsami.6b12060 |
| 20. | Liu, W.; Ni, J.; Yin, X. Water Res. 2014, 53, 12–25. doi:10.1016/j.watres.2013.12.043 |
| 21. | Lu, A.; Zhong, S.; Chen, J.; Shi, J.; Tang, J.; Lu, X. Environ. Sci. Technol. 2006, 40, 3064–3069. doi:10.1021/es052057x |
| 22. | Ma, H.; Shen, J.; Shi, M.; Lu, X.; Li, Z.; Long, Y.; Li, N.; Ye, M. Appl. Catal., B 2012, 121–122, 198–205. doi:10.1016/j.apcatb.2012.03.023 |
| 23. | Chen, G.; Sun, M.; Wei, Q.; Ma, Z.; Du, B. Appl. Catal., B 2012, 125, 282–287. doi:10.1016/j.apcatb.2012.06.001 |
| 24. | Pandikumar, A.; Ramaraj, R. J. Hazard. Mater. 2012, 203–204, 244–250. doi:10.1016/j.jhazmat.2011.12.019 |
| 25. | Qamar, M.; Gondal, M. A.; Yamani, Z. H. J. Hazard. Mater. 2011, 187, 258–263. doi:10.1016/j.jhazmat.2011.01.007 |
| 16. | Ma, H.-L.; Zhang, Y.; Hu, Q.-H.; Yan, D.; Yu, Z.-Z.; Zhai, M. J. Mater. Chem. 2012, 22, 5914–5916. doi:10.1039/c2jm00145d |
| 17. | Zheng, W.; Hu, J.; Han, Z.; Wang, Z.; Zheng, Z.; Langer, J.; Economy, J. Chem. Commun. 2015, 51, 9853–9856. doi:10.1039/C5CC02695D |
| 18. | Kathiravan, M. N.; Karthick, R.; Muthukumar, K. Chem. Eng. J. 2011, 169, 107–115. doi:10.1016/j.cej.2011.02.060 |
| 19. | Fang, J.; Gu, Z.; Gang, D.; Liu, C.; Ilton, E. S.; Deng, B. Environ. Sci. Technol. 2007, 41, 4748–4753. doi:10.1021/es061969b |
| 39. | Liu, S.; Zhang, N.; Xu, Y.-J. Part. Part. Syst. Charact. 2014, 31, 540–556. doi:10.1002/ppsc.201300235 |
| 40. | Zhao, J.; Ke, X.; Liu, H.; Huang, Y.; Chen, C.; Bo, A.; Sheng, X.; Zhu, H. Part. Part. Syst. Charact. 2016, 33, 628–634. doi:10.1002/ppsc.201600049 |
| 41. | Prier, C. K.; Rankic, D. A.; MacMillan, D. W. C. Chem. Rev. 2013, 113, 5322–5363. doi:10.1021/cr300503r |
| 42. | Lang, X.; Chen, X.; Zhao, J. Chem. Soc. Rev. 2014, 43, 473–486. doi:10.1039/C3CS60188A |
| 43. | Ong, W.-J.; Voon, S.-Y.; Tan, L.-L.; Goh, B. T.; Yong, S.-T.; Chai, S.-P. Ind. Eng. Chem. Res. 2014, 53, 17333–17344. doi:10.1021/ie5027088 |
| 44. | Pattnaik, S. P.; Behera, A.; Martha, S.; Acharya, R.; Parida, K. J. Nanopart. Res. 2018, 20, 10. doi:10.1007/s11051-017-4110-5 |
| 45. | Kandi, D.; Martha, S.; Thirumurugan, A.; Parida, K. M. ACS Omega 2017, 2, 9040–9056. doi:10.1021/acsomega.7b01250 |
| 46. | Wang, H.; Lang, X.; Hao, R.; Guo, L.; Li, J.; Wang, L.; Han, X. Nano Energy 2016, 19, 8–16. doi:10.1016/j.nanoen.2015.11.022 |
| 47. | Song, H.; Son, S.-Y.; Kim, S. K.; Jung, G. Y. Nano Res. 2015, 8, 3553–3561. doi:10.1007/s12274-015-0855-2 |
| 48. | Zhou, K.-G.; McManus, D.; Prestat, E.; Zhong, X.; Shin, Y.; Zhang, H.-L.; Haigh, S. J.; Casiraghi, C. J. Mater. Chem. A 2016, 4, 11666–11671. doi:10.1039/C5TA09152G |
| 49. | Behera, A.; Kandi, D.; Majhi, S. M.; Martha, S.; Parida, K. Beilstein J. Nanotechnol. 2018, 9, 436–446. doi:10.3762/bjnano.9.42 |
| 38. | Chen, X.; Li, N.; Kong, Z.; Ong, W.-J.; Zhao, X. Mater. Horiz. 2018, 5, 9. doi:10.1039/c7mh00557a |
| 39. | Liu, S.; Zhang, N.; Xu, Y.-J. Part. Part. Syst. Charact. 2014, 31, 540–556. doi:10.1002/ppsc.201300235 |
| 40. | Zhao, J.; Ke, X.; Liu, H.; Huang, Y.; Chen, C.; Bo, A.; Sheng, X.; Zhu, H. Part. Part. Syst. Charact. 2016, 33, 628–634. doi:10.1002/ppsc.201600049 |
| 41. | Prier, C. K.; Rankic, D. A.; MacMillan, D. W. C. Chem. Rev. 2013, 113, 5322–5363. doi:10.1021/cr300503r |
| 42. | Lang, X.; Chen, X.; Zhao, J. Chem. Soc. Rev. 2014, 43, 473–486. doi:10.1039/C3CS60188A |
| 54. | Zhu, S.; Liang, S.; Tong, Y.; An, X.; Long, J.; Fu, X.; Wang, X. Phys. Chem. Chem. Phys. 2015, 17, 9761–9770. doi:10.1039/C5CP00647C |
| 55. | Liu, Q.; Zhou, Y.; Kou, J.; Chen, X.; Tian, Z.; Gao, J.; Yan, S.; Zou, Z. J. Am. Chem. Soc. 2010, 132, 14385–14387. doi:10.1021/ja1068596 |
| 36. | Tan, L.-L.; Ong, W.-J.; Chai, S.-P.; Mohamed, A. R. Chem. Eng. J. 2016, 283, 1254–1263. doi:10.1016/j.cej.2015.07.093 |
| 37. | Tan, L.-L.; Ong, W.-J.; Chai, S.-P.; Mohamed, A. R. Chem. Eng. J. 2017, 308, 248–255. doi:10.1016/j.cej.2016.09.050 |
| 53. | Habisreutinger, S. N.; Schmidt-Mende, L.; Stolarczyk, J. K. Angew. Chem., Int. Ed. 2013, 52, 7372–7408. doi:10.1002/anie.201207199 |
© 2018 Acharya et al.; licensee Beilstein-Institut.
This is an Open Access article under the terms of the Creative Commons Attribution License (http://creativecommons.org/licenses/by/4.0), which permits unrestricted use, distribution, and reproduction in any medium, provided the original work is properly cited.
The license is subject to the Beilstein Journal of Nanotechnology terms and conditions: (https://www.beilstein-journals.org/bjnano)