Search results

Search for "graphene" in Full Text gives 559 result(s) in Beilstein Journal of Nanotechnology. Showing first 200.

Impacts of annealing on structural and photophysical properties of zinc phthalocyanine adsorbed on graphene

  • Gautier Creutzer,
  • Quentin Fernez,
  • Nataliya Kalashnyk,
  • Zohreh Safarzadeh,
  • Lydia Sosa Vargas,
  • Céline Fiorini-Debuisschert,
  • Nicolas Fabre and
  • Fabrice Charra

Beilstein J. Nanotechnol. 2026, 17, 576–585, doi:10.3762/bjnano.17.39

Graphical Abstract
  • -tunneling-microscopy and optical microspectroscopy of a 2D phase change experienced by a self-assembled zinc phthalocyanine (ZnPc) monolayer adsorbed on graphene. To probe the intrinsic properties of individual ZnPc molecules, they are spatially confined within the pores of a self-assembled 2D matrix. This
  • formation towards 3D self-assembly. Keywords: graphene; optical spectroscopy; organic semiconductors; phthalocyanine; scanning tunneling microscopy; self-assembly; Introduction Combining the properties of graphene and molecular semiconductors in a given material organized at the molecular scale appears as
  • a promising route to design original and innovative electronic devices [1] such as diodes [2][3], transistors [4][5][6], photodetectors [7][8], solar cells [9][10][11], or light-emitting devices [12]. In such heterostructures most electronic processes take place at the interface between graphene and
PDF
Album
Full Research Paper
Published 05 May 2026

Electrochemical determination of ciprofloxacin using a MIL-101/reduced graphene oxide-modified electrode

  • Nguyen Quang Man,
  • Nguyen Ngoc Nghia,
  • Nguyen Vinh Phu,
  • Vo Thi Khanh Ly,
  • Le Lam Son,
  • Pham Khac Lieu,
  • Le Thi Hong Phong,
  • Nguyen Dinh Luyen and
  • Dinh Quang Khieu

Beilstein J. Nanotechnol. 2026, 17, 541–554, doi:10.3762/bjnano.17.35

Graphical Abstract
  • ciprofloxacin (CPR) was developed using a glassy carbon electrode modified with MIL-101/reduced graphene oxide (MIL-101/rGO). MIL-101/rGO was synthesized via a facile ultrasonic-assisted method and characterized by various physicochemical techniques. The synergistic combination of MIL-101 with rGO significantly
  • , yielding acceptable recoveries. These results indicate that the MIL-101/rGO-modified electrode provides a promising and efficient platform for the electrochemical sensing of CPR in pharmaceutical and environmental analysis. Keywords: ciprofloxacin; electrochemical analysis; MIL-101; reduced graphene oxide
  • direct use in electrochemical sensing. To address this limitation, hybridizing MOFs with conductive carbon materials has been extensively studied. Reduced graphene oxide (rGO) is especially appealing due to its high electrical conductivity [12], large specific surface area, mechanical stability [13], and
PDF
Album
Supp Info
Full Research Paper
Published 21 Apr 2026

Upcycling agroindustrial waste into graphene oxide supports for gold nanoparticles: toward sustainable nanomaterials

  • Juan Marcos Castro-Tapia,
  • Selene Acosta,
  • Hiram Joazet Ojeda-Galván,
  • Elsie Evelyn Araujo-Palomo,
  • Edgar Giovanni Villabona-Leal and
  • Mildred Quintana

Beilstein J. Nanotechnol. 2026, 17, 489–504, doi:10.3762/bjnano.17.32

Graphical Abstract
  • develop a sustainable route for producing graphene oxide-based materials from agroindustrial waste and to evaluate their structural and chemical properties in comparison with conventional graphene oxide (GO) and reduced graphene oxide (rGO). Agroindustrial waste-derived graphene oxide (Agro-GO) was
  • of transforming agroindustrial waste into high-value graphene-based nanomaterials and highlight the potential of sustainable synthesis routes for advancing environmentally responsible carbon-based technologies. Keywords: agroindustrial waste; gold nanoparticles; graphene oxide; green synthesis
  • ; hybrid nanocomposites; plasmonic nanomaterials; surface functionalization; Introduction Graphene oxide (GO), due to its unique physicochemical properties, is widely explored regarding a range of applications, including sensors, water purification, and energy storage and conversion [1][2][3][4][5]. GO is
PDF
Album
Supp Info
Full Research Paper
Published 01 Apr 2026

Defects and defect-mediated engineering of two-dimensional materials: challenges and open questions

  • Arkady V. Krasheninnikov,
  • Matthias Batzill,
  • Anouar-Akacha Delenda,
  • Marija Drndić,
  • Chris Ewels,
  • Katharina J. Franke,
  • Mahdi Ghorbani-Asl,
  • Alexander Holleitner,
  • Ado Jorio,
  • Ute Kaiser,
  • Daria Kieczka,
  • Hannu-Pekka Komsa,
  • Jani Kotakoski,
  • Manuel Längle,
  • David Lamprecht,
  • Yun Liu,
  • Steven G. Louie,
  • Janina Maultzsch,
  • Thomas Michely,
  • Katherine Milton,
  • Anna Niggas,
  • Hanako Okuno,
  • Joshua A. Robinson,
  • Marika Schleberger,
  • Bruno Schuler,
  • Alexander Shluger,
  • Kazu Suenaga,
  • Kristian S. Thygesen,
  • Richard A. Wilhelm,
  • E. Harriet Åhlgren and
  • Carla Bittencourt

Beilstein J. Nanotechnol. 2026, 17, 454–488, doi:10.3762/bjnano.17.31

Graphical Abstract
  • graphene or h-BN) defect formation energies prevent low defect concentrations in monolayer sheets? How can synthesis methods for monolayer materials be modified to control defect species and concentration? We note that, in TMDs, not only chalcogen vacancies, but also transition metal vacancies and
  • spectroscopy has led to metrological procedures to access defect concentration in graphene. Well-established formulae are available to determine defect quantity based on the D/G ratio and the linewidth of the G band (see Figure 2) [86][87][88][89]. In a wider context, while Raman-active local vibrational modes
  • depending on the relative dimension between the TERS probe (rtip is the tip apex radius) and the distance among defects (LD) [97]. Raman spectroscopy has been used to estimate defect concentrations in graphene. How does it work for other 2D materials? Several authors have been addressing the use of Raman
PDF
Album
Perspective
Published 31 Mar 2026

Nanoinformatics: spanning scales, systems and solutions

  • Iseult Lynch,
  • Diego S. T. Martinez,
  • Kunal Roy and
  • Georgia Melagraki

Beilstein J. Nanotechnol. 2026, 17, 423–427, doi:10.3762/bjnano.17.28

Graphical Abstract
  • to treat neurodegenerative disease [10]. Moving into the realm of mixture toxicity and environmental impacts of nanomaterials, Petry et al. investigated the interaction of graphene oxide (GO) with tannic acid (TA) and its consequences for GO toxicity to the earthworm Caenorhabditis elegans. Reactive
PDF
Album
Editorial
Published 05 Mar 2026

Biomimetic nanoparticles in cancer photodynamic therapy: a review of targeted delivery systems and therapeutic outcomes

  • Valentina I. Gorbacheva,
  • Alexey S. Grabovoy,
  • Polina S. Marukhina,
  • Anastasiia O. Syrocheva and
  • Ekaterina P. Kolesova

Beilstein J. Nanotechnol. 2026, 17, 396–422, doi:10.3762/bjnano.17.27

Graphical Abstract
PDF
Album
Review
Published 05 Mar 2026

Polycatecholamine nanocoatings on stainless steel: the effect on attachment of human fibroblasts and platelets

  • Paulina Trzaskowska,
  • Ewa Rybak,
  • Maciej Trzaskowski,
  • Kamil Kopeć,
  • Jakub Krzemiński,
  • Rafał Podgórski,
  • Hatice Genc,
  • Mehtap Civelek and
  • Iwona Cicha

Beilstein J. Nanotechnol. 2026, 17, 365–380, doi:10.3762/bjnano.17.25

Graphical Abstract
  • stability. Consequently, a variety of surface modifications have been developed to improve cell–material interactions, including anodized nanopit arrays, hydroxyapatite–collagen layers on polydopamine-modified steel, nanoporous coatings influencing integrin/ERK signaling, and bilayers comprising graphene
PDF
Album
Supp Info
Full Research Paper
Published 20 Feb 2026

Interconnection morphology effects on the radio frequency response of carbon nanotube sponges

  • Manuela Scarselli,
  • Javad Rezvani,
  • Zeno Zuccari,
  • Mattia Scagliotti and
  • Simone Tocci

Beilstein J. Nanotechnol. 2026, 17, 343–351, doi:10.3762/bjnano.17.23

Graphical Abstract
  • conditions [1][2]. Novel alternative materials including conducting polymers [3], nanocarbon-based materials like carbon fibres [4], carbon nanotubes (CNTs), their composites [5][6][7], and more recently graphene [8][9] have been the focus of extensive research. Above materials fulfil the requirements of
PDF
Album
Supp Info
Full Research Paper
Published 17 Feb 2026

Advancing nanolithography: a comprehensive review of materials for local anodic oxidation with AFM

  • Matteo Lorenzoni

Beilstein J. Nanotechnol. 2026, 17, 275–291, doi:10.3762/bjnano.17.19

Graphical Abstract
  • heterostructures. Semiconductors such as silicon and silicon carbide remain foundational due to their controllable oxidation kinetics, while metals like titanium and aluminum offer opportunities for plasmonic and optical applications. 2D materials, including graphene, graphene oxide, and transition metal
  • aims to highlight the capability of LAO to pattern two-dimensional (2D) materials such as graphene [20][21][22], hexagonal boron nitride [23] (hBN), transition metal dichalcogenides (TMDs) [21][24][25][26][27], metals [18][28][29], as well as traditional semiconductors such as silicon (Si) [6][10][30
  • graphene or boron nitride, authors of [23] have shown how reaction by-products are efficiently removed, escaping as gas (i.e., CO2 in the case of graphene). The resulting patterns exhibit excellent quality with minimal defects (Figure 3e,f). However, a potential drawback is the use of Au-coated tips under
PDF
Album
Review
Published 09 Feb 2026

Multilayered hyperbolic Au/TiO2 nanostructures for enhancing the nonlinear response around the epsilon-near-zero point

  • Fernando Arturo Araiza-Sixtos,
  • Mauricio Gomez-Robles,
  • Rafael Salas-Montiel and
  • Raúl Rangel-Rojo

Beilstein J. Nanotechnol. 2026, 17, 251–261, doi:10.3762/bjnano.17.17

Graphical Abstract
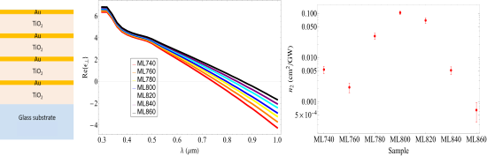
  • available materials in nature that present hyperbolic dispersion, such as bismuth and 2D graphene sheets [2], indium tin oxide (ITO) [3], and aluminum-doped zinc oxide (AZO) [4]. HMMs are highly anisotropic and exhibit some interesting properties, including strong enhancement of spontaneous emission
PDF
Album
Full Research Paper
Published 05 Feb 2026

Gold nanoparticle-decorated reduced graphene oxide as a highly effective catalyst for the selective α,β-dehydrogenation of N-alkyl-4-piperidones

  • Brenda Flore Kenyim,
  • Mihir Tzalis,
  • Marilyn Kaul,
  • Robert Oestreich,
  • Aysenur Limon,
  • Chancellin Pecheu Nkepdep and
  • Christoph Janiak

Beilstein J. Nanotechnol. 2026, 17, 218–238, doi:10.3762/bjnano.17.15

Graphical Abstract
  • reduced graphene oxide (AuNPs/rGO) were demonstrated to be a highly reactive catalyst for the selective α,β-oxidative dehydrogenation (ODH) of N-alkyl-4-piperidones, using N-methyl-, N-ethyl- and N-benzyl-4-piperidone. The substrate N-methyl-4-piperidone represents a pharmaceutically relevant system as
  • its reaction product N-methyl-2,3-dihydropyridin-4(1H)-one is highly valuable (>1000 €·g−1) in contrast to the inexpensive starting material (0.15 €·g−1). Various synthesis methods were employed to prepare AuNPs supported on different carbon materials, including reduced graphene oxide (rGO), activated
  • the dehydrogenation of β-N-substituted saturated ketones and other fine chemical applications. Keywords: oxidative dehydrogenation; reduced graphene oxide; supported gold nanoparticles; β-N-substituted ketones; Introduction The properties related to the high surface area of matter at the nanometric
PDF
Album
Supp Info
Full Research Paper
Published 30 Jan 2026

Time of flight secondary ion mass spectrometry imaging of contaminant species in chemical vapour deposited graphene on copper

  • Barry Brennan,
  • Vlad-Petru Veigang-Radulescu,
  • Philipp Braeuninger-Weimer,
  • Stephan Hofmann and
  • Andrew J. Pollard

Beilstein J. Nanotechnol. 2026, 17, 200–213, doi:10.3762/bjnano.17.13

Graphical Abstract
  • Cambridge, Cambridge CB3 0FA, United Kingdom 10.3762/bjnano.17.13 Abstract Time of flight secondary ion mass spectrometry (ToF-SIMS) was used to probe the chemistry of graphene grown on copper foil substrates by chemical vapour deposition (CVD) under various growth conditions. The surface sensitivity, mass
  • resolving power, and imaging capability of ToF-SIMS allow us to explore variations in the chemical species present on the graphene surface, as well as in three dimensions under the graphene. In this way, we can observe the impact that variations in the chemical composition of the copper foil have on the
  • growth of the graphene; in particular, the accumulation of contaminations present in the copper foil, which has implications for the potential electrical properties of the graphene. We also observe variations in the permeation of oxygen underneath the graphene layers, resulting in oxidation of the copper
PDF
Album
Supp Info
Full Research Paper
Published 21 Jan 2026

From shield to spear: Charge-reversible nanocarriers in overcoming cancer therapy barriers

  • Madhuri Yeduvaka,
  • Pooja Mittal,
  • Ameer Boyalakuntla,
  • Usman Bee Shaik,
  • Himanshu Sharma,
  • Thakur Gurjeet Singh,
  • Siva Nageswara Rao Gajula and
  • Lakshmi Vineela Nalla

Beilstein J. Nanotechnol. 2026, 17, 159–175, doi:10.3762/bjnano.17.10

Graphical Abstract
  • materials such as graphene, azobenzene, and gold nanorods [54]. Upon exposure to UV–vis or near-infrared (NIR) light, these materials undergo structural changes or generate ROS, triggering controlled release of their therapeutic cargo. This precise spatiotemporal control over drug release and therapeutic
  • exposure, azobenzene undergoes reversible trans–cis isomerisation, inducing structural changes that regulate cargo release [55]. Additionally, Choi et al. demonstrated that nanocarriers incorporating graphene oxide (GO) loaded with photosensitizers generate ROS upon NIR irradiation, enabling effective
PDF
Album
Review
Published 14 Jan 2026

Reduced graphene oxide paper electrode for lithium-ion cells – towards optimized thermal reduction

  • Agata Pawłowska,
  • Magdalena Baran,
  • Stefan Marynowicz,
  • Aleksandra Izabela Banasiak,
  • Adrian Racki,
  • Adrian Chlanda,
  • Tymoteusz Ciuk,
  • Marta Wolczko and
  • Andrzej Budziak

Beilstein J. Nanotechnol. 2026, 17, 24–37, doi:10.3762/bjnano.17.3

Graphical Abstract
  • Agata Pawlowska Magdalena Baran Stefan Marynowicz Aleksandra Izabela Banasiak Adrian Racki Adrian Chlanda Tymoteusz Ciuk Marta Wolczko Andrzej Budziak Flake Graphene Research Group, Łukasiewicz Research Network – Institute of Microelectronics and Photonics, al. Lotników 32/46, 02-668, Warsaw
  • Technologies Research Group, Łukasiewicz Research Network – Institute of Microelectronics and Photonics, al. Lotników 32/46, 02-668, Warsaw, Poland 10.3762/bjnano.17.3 Abstract This work introduces the results of characterizing free-standing reduced graphene oxide paper, given its potential use as an
  • electrode material in lithium-ion cells. Mildly reduced graphene oxide paper underwent further thermal reduction steps. The structural and chemical properties of the obtained materials were determined using Raman and Fourier-transform infrared spectroscopies and elemental combustion analysis. The morphology
PDF
Album
Full Research Paper
Published 05 Jan 2026

Optical bio/chemical sensors for vitamin B12 analysis in food and pharmaceuticals: state of the art, challenges, and future outlooks

  • Seyed Mohammad Taghi Gharibzahedi and
  • Zeynep Altintas

Beilstein J. Nanotechnol. 2025, 16, 2207–2244, doi:10.3762/bjnano.16.153

Graphical Abstract
  • remarkably excellent selectivity, reproducibility, and storage stability for the SPR sensor recorded, but a strong association between the SPR sensor and LC-MS/MS findings was found [95]. Recently, Bareza et al. have reported that graphene nanostructures, which can confine mid-infrared plasmons at the
  • leveraging mid-IR plasmon resonance in graphene nanostructures to detect VB12, where functionalized graphene nanoribbons provided the recognition sites, the nanostructured graphene surface acted as the plasmonic indicator, and the sensing signal was a mid-IR resonance shift. This approach achieved an LOD of
  • 53.5 ng/mL using graphene nanoribbons modified with specific recognition elements [96]. Moreover, Bareza et al. demonstrated the scalability and industrial applicability of this bioassay through the use of large-area nanostructured graphene films, proving the promising future of graphene-based mid-IR
PDF
Album
Review
Published 05 Dec 2025

Missing links in nanomaterials research impacting productivity and perceptions

  • Santosh K. Tiwari and
  • Nannan Wang

Beilstein J. Nanotechnol. 2025, 16, 2168–2176, doi:10.3762/bjnano.16.149

Graphical Abstract
  • acceleration after the discovery of fullerene by Kroto and co-workers in 1985 and witnessed an even more rapid surge following the discovery of graphene and the award of the Physics Nobel Prize in 2010 [6][7]. Graphene is often referred to as a “wonder material” due to its seemingly infinite potential in
  • nanotubes, graphene, metal oxides, quantum dots, and MXenes are among the most extensively studied and explored nanomaterials. These materials have been researched in nearly every discipline, leading to the establishment of numerous startups and companies focused on their production, processing, and
  • , though nanomaterials research has made impressive scientific advances, its translation into mass-market products remains partial. Therefore, it raises a vital and valid question: Why are heavily researched nanomaterials such as carbon nanotubes, graphene, metal oxides, quantum dots, and MXenes still so
PDF
Perspective
Published 03 Dec 2025

Microplastic pollution in Himalayan lakes: assessment, risks, and sustainable remediation strategies

  • Sameeksha Rawat,
  • S. M. Tauseef and
  • Madhuben Sharma

Beilstein J. Nanotechnol. 2025, 16, 2144–2167, doi:10.3762/bjnano.16.148

Graphical Abstract
  • , attack the polymer chains of MPs. They either break the chains into smaller pieces or mineralize them into CO2 and water. A lot of research is being done on the photocatalytic properties of nanomaterials like TiO2, graphene oxide (GO), and ZnO. An excellent material for breaking down MPs in water systems
  • is TiO2, which is known for being stable, effective, and able to produce ROS when exposed to UV light [43]. The effectiveness of TiO2 has been improved recently by doping it with nonmetals like sulfur and nitrogen or combining it with carbon-based compounds like graphene. According to Xiao et al
PDF
Album
Supp Info
Review
Published 25 Nov 2025

Electron transport through nanoscale multilayer graphene and hexagonal boron nitride junctions

  • Aleksandar Staykov and
  • Takaya Fujisaki

Beilstein J. Nanotechnol. 2025, 16, 2132–2143, doi:10.3762/bjnano.16.147

Graphical Abstract
  • ) method combined with density functional theory (DFT) to compare electron transport through several layers of nanoscale graphene and hexagonal boron nitride (h-BN). Calculations were performed for one to six layers, corresponding to thicknesses of 0.5–3.0 nm, respectively. Electron transport was computed
  • perpendicular to the layers in the stacking direction. We compared the decay of the current with the number of layers and evaluated the ability of h-BN to filter currents as a material coating. To investigate the effect of disorder, we included two major defects in the graphene lattice, namely, nitrogen doping
  • and Stone–Wales defects. Nitrogen doping transforms graphene from a zero-bandgap semiconductor to a metal, while Stone–Wales defects open the bandgap. For h-BN, we considered Stone–Wales defects. A detailed comparison of electron transport through five materials, that is, multilayer nanoscale graphene
PDF
Album
Supp Info
Full Research Paper
Published 24 Nov 2025

Toward clinical translation of carbon nanomaterials in anticancer drug delivery: the need for standardisation

  • Michał Bartkowski,
  • Francesco Calzaferri and
  • Silvia Giordani

Beilstein J. Nanotechnol. 2025, 16, 2092–2104, doi:10.3762/bjnano.16.144

Graphical Abstract
  • Michal Bartkowski Francesco Calzaferri Silvia Giordani School of Chemical Sciences, Dublin City University, Glasnevin, Dublin, Ireland Life Science Institute, Dublin City University, Glasnevin, Dublin, Ireland 10.3762/bjnano.16.144 Abstract Carbon nanomaterials (CNMs), including graphene, carbon
  • standardisation, and interdisciplinary collaboration. An overview of key production challenges is provided in Table 1. The lack of standardised methods for the synthesis and characterisation of CNMs is a major challenge in the field of nanotechnology. CNMs, such as carbon nanotubes and graphene, have unique
  • responses [37]. In contrast, a recent first-in-human investigation of thin, highly purified graphene oxide nanosheets reported that acute inhalation was well tolerated, showing no adverse effects on lung function, cardiovascular health, or systemic inflammatory markers [28]. Even within the same material
PDF
Album
Supp Info
Perspective
Published 18 Nov 2025

Laser ablation in liquids for shape-tailored synthesis of nanomaterials: status and challenges

  • Natalie Tarasenka

Beilstein J. Nanotechnol. 2025, 16, 1963–1997, doi:10.3762/bjnano.16.137

Graphical Abstract
PDF
Album
Perspective
Published 10 Nov 2025

Current status of using adsorbent nanomaterials for removing microplastics from water supply systems: a mini review

  • Nguyen Thi Nhan and
  • Tran Le Luu

Beilstein J. Nanotechnol. 2025, 16, 1837–1850, doi:10.3762/bjnano.16.127

Graphical Abstract
  • reaction pathways of these materials. Classification and potential of adsorbent nanomaterials Carbon-based adsorbents. Carbon-based adsorbents, such as graphene oxide (GO), activated carbon, biochar, and carbon nanotubes (CNTs), have been extensively investigated regarding the treatment of pollutants in
  • bonding through oxygen-containing groups (oxidized biochar), pore filling, and electrostatic interactions [53]. GO materials, such as a nickel/reduced graphene oxide (Ni/rGO) nanocomposite, also exhibited high adsorption efficiency, achieving 80.3% removal of PS from water containing 100 mg·L−1 PS. The
  • ]. Recently, Yan et al. developed a reduced graphene oxide (S-rGO) membrane with small lateral size and a rejection rate of up to 99.9% while maintaining high water permeability (236.2 L·m−2·h−1·bar−1) [56]. As another type of material belonging to carbon-based adsorbents, CNTs have also gained attention
PDF
Album
Review
Published 21 Oct 2025

Further insights into the thermodynamics of linear carbon chains for temperatures ranging from 13 to 300 K

  • Alexandre Rocha Paschoal,
  • Thiago Alves de Moura,
  • Juan S. Rodríguez-Hernández,
  • Carlos William de Araujo Paschoal,
  • Yoong Ahm Kim,
  • Morinobu Endo and
  • Paulo T. Araujo

Beilstein J. Nanotechnol. 2025, 16, 1818–1825, doi:10.3762/bjnano.16.125

Graphical Abstract
  • the largest mechanical resistances among materials (including other carbon allotropic versions like graphene or nanotubes) [29][43][44][45][46][47][48][49], in addition to presenting unique conductive properties that place them ahead as ideal candidates for future developments in nanoelectronics [43
PDF
Album
Supp Info
Full Research Paper
Published 20 Oct 2025

Electrical, photocatalytic, and sensory properties of graphene oxide and polyimide implanted with low- and medium-energy silver ions

  • Josef Novák,
  • Eva Štěpanovská,
  • Petr Malinský,
  • Vlastimil Mazánek,
  • Jan Luxa,
  • Ulrich Kentsch and
  • Zdeněk Sofer

Beilstein J. Nanotechnol. 2025, 16, 1794–1811, doi:10.3762/bjnano.16.123

Graphical Abstract
  • , sensory, and photocatalytic properties of graphene oxide (GO) and polyimide (PI). Implantations were carried out with fluences ranging from 3.75 × 1012 cm−2 to 1 × 1016 cm−2. Silver ions offer excellent electrical, catalytic, and plasmonic characteristics, making them ideal for multifunctional enhancement
  • multifunctional behavior of polymer systems. Keywords: ERDA; graphene oxide; ion implantation; photocatalysis; polyimide; RBS; Introduction Silver ion implantation is an effective strategy for controlling modification of the physicochemical properties of polymers and graphene-based materials. This method allows
  • controlled modification of the electrical properties of dielectric and semiconducting materials [7]. When Ag ions are implanted into polymer substrates, such as polyimide (PI) or graphene oxide (GO), fundamental changes occur at the molecular and electronic levels, leading to a significant decrease in the
PDF
Album
Full Research Paper
Published 13 Oct 2025

Ambient pressure XPS at MAX IV

  • Mattia Scardamaglia,
  • Ulrike Küst,
  • Alexander Klyushin,
  • Rosemary Jones,
  • Jan Knudsen,
  • Robert Temperton,
  • Andrey Shavorskiy and
  • Esko Kokkonen

Beilstein J. Nanotechnol. 2025, 16, 1677–1694, doi:10.3762/bjnano.16.118

Graphical Abstract
  • here. Instead, we focus on a study by Vesselli and co-workers that directly addresses catalytic activity in a biomimetic SAC system [20][21]. In their work, a cobalt single-atom biomimetic model catalyst is based on a self-assembled monolayer of Co-porphyrins grown on an almost free-standing graphene
  • , often lowering activation energies and altering reaction pathways [23][24][25]. A particularly interesting case is “undercover catalysis”, where the void space between a 2D material and a catalytic surface is exploited. Materials such as graphene [26][27][28], hexagonal boron nitride (hBN) [29], and
  • transition metal dichalcogenides [30] are widely studied for this purpose. Boix, Knudsen and collaborators combined APXPS with gas pulsing with varied composition to repeatedly form and remove undercover reaction products. Specifically, they studied CO and H2 oxidation below oxygen-intercalated graphene
PDF
Album
Review
Published 24 Sep 2025

Nanotechnology-based approaches for the removal of microplastics from wastewater: a comprehensive review

  • Nayanathara O Sanjeev,
  • Manjunath Singanodi Vallabha and
  • Rebekah Rubidha Lisha Rabi

Beilstein J. Nanotechnol. 2025, 16, 1607–1632, doi:10.3762/bjnano.16.114

Graphical Abstract
  • , adaptability for functionalization and superior sorption capacity. Carbon materials with graphene-like structures, made up of sp2-hybridized carbon atoms, have gained considerable interest for their use in water treatment technologies. Their abundance of functional groups, expansive surface area, and inherent
  • environmental conditions and across a wide pH range, making them reliable materials for pollutant removal [83]. Sun et al. [84] studied the removal of MPs from water using a sustainable adsorbent composed of graphene oxide and chitin. The elastic nature of the sponge retains its high porosity, enabling
  • nanomaterials in membrane fabrication are zeolites, various metals and metal oxides, as well as carbon-based materials such as CNTs and graphene derivatives [86]. The nanomaterials that can be used membrane components for the removal of MPs are discussed in detail below. Metal-organic frameworks: Metal-organic
PDF
Album
Review
Published 15 Sep 2025
Other Beilstein-Institut Open Science Activities